Скачать ГОСТ Р 25645.160-94 Модель электромагнитной обстановки в околоземном пространствеДата актуализации: 01.01.2021
|
| Обозначение: | ГОСТ Р 25645.160-94 |
| Обозначение англ: | GOST R 25645.160-94 |
| Статус: | действует |
| Название рус.: | Модель электромагнитной обстановки в околоземном пространстве |
| Название англ.: | Model of electromagnetic situation in near-earth space |
| Дата добавления в базу: | 01.09.2013 |
| Дата актуализации: | 01.01.2021 |
| Дата введения: | 01.07.1995 |
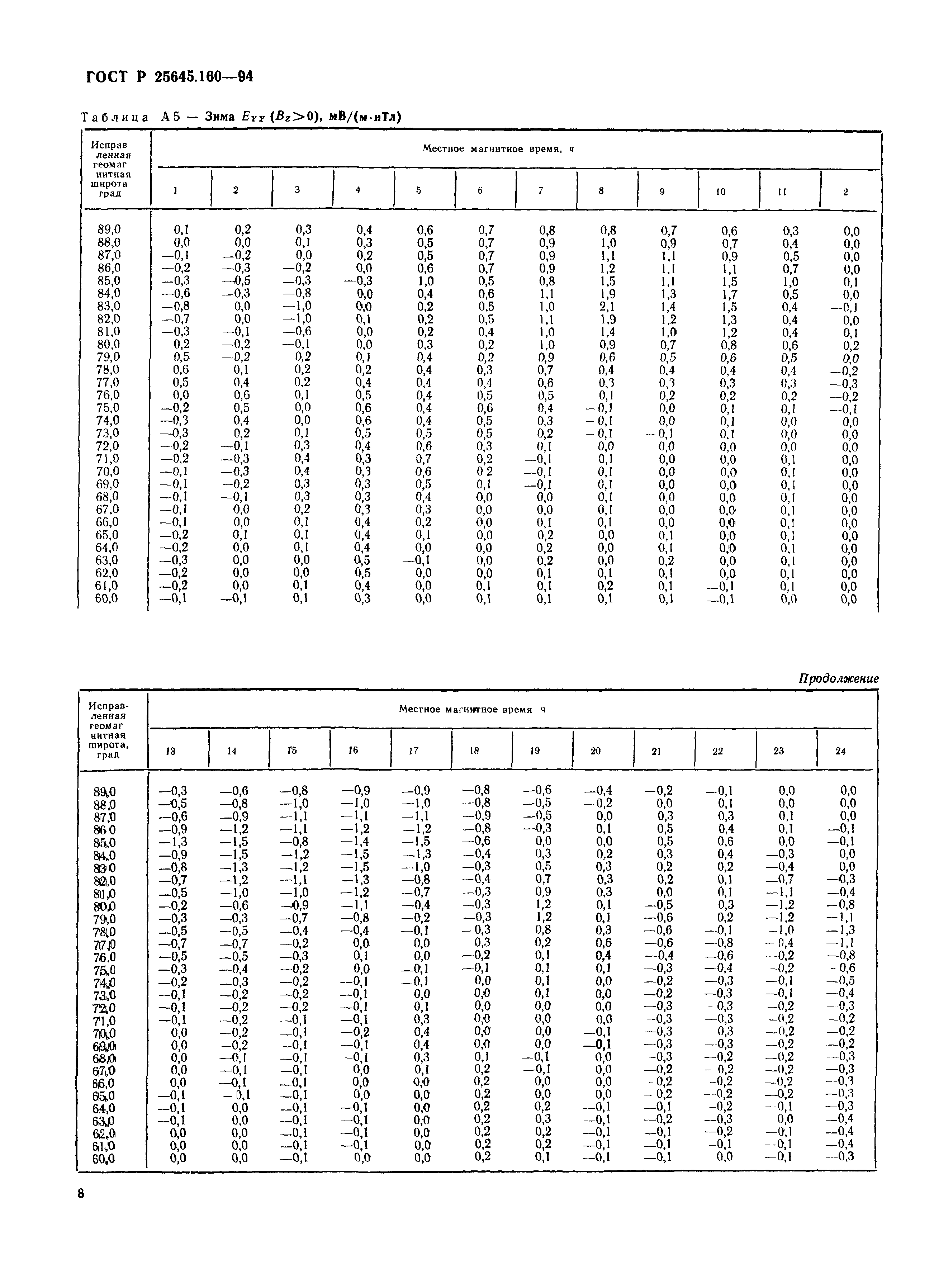
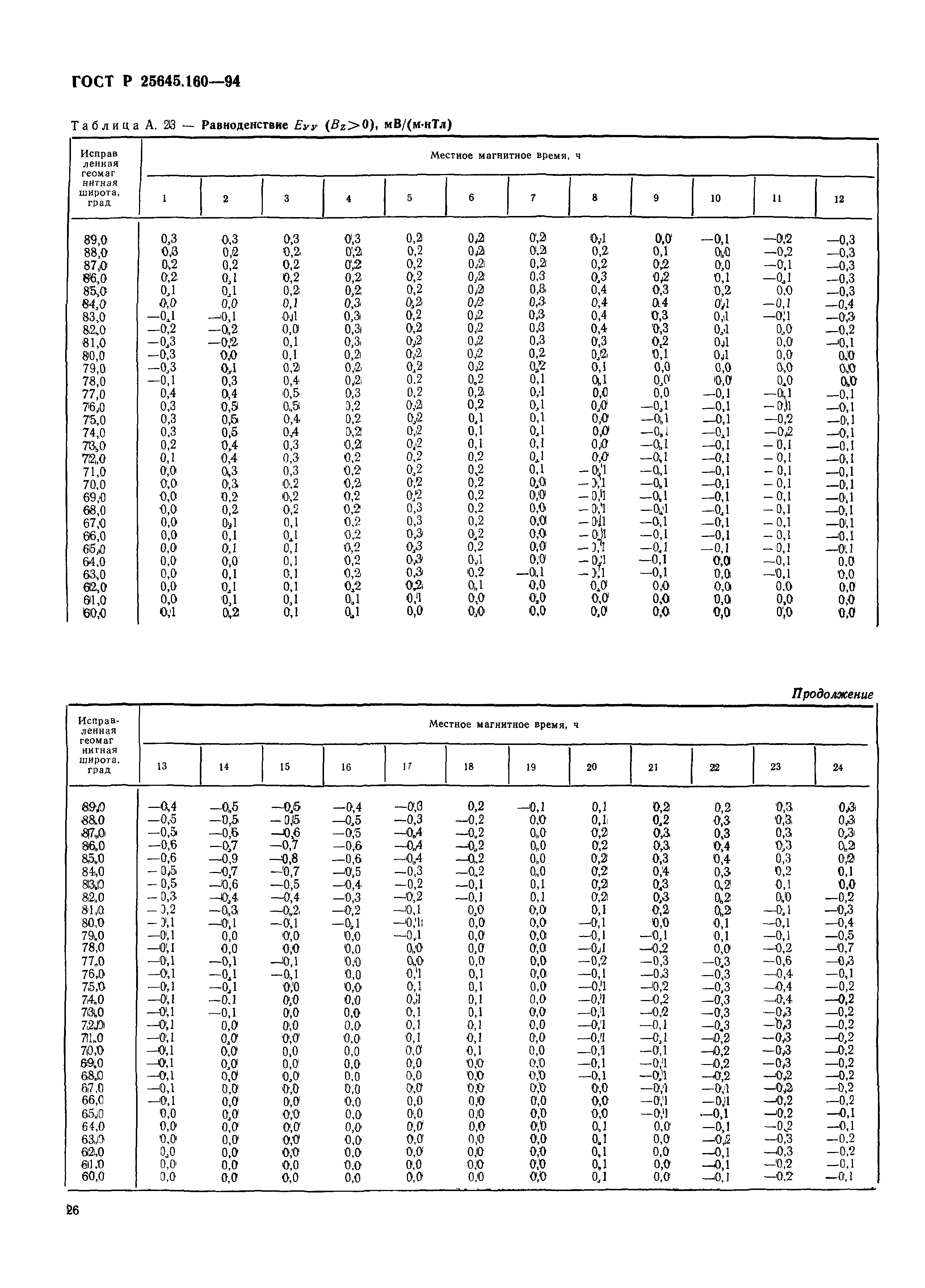
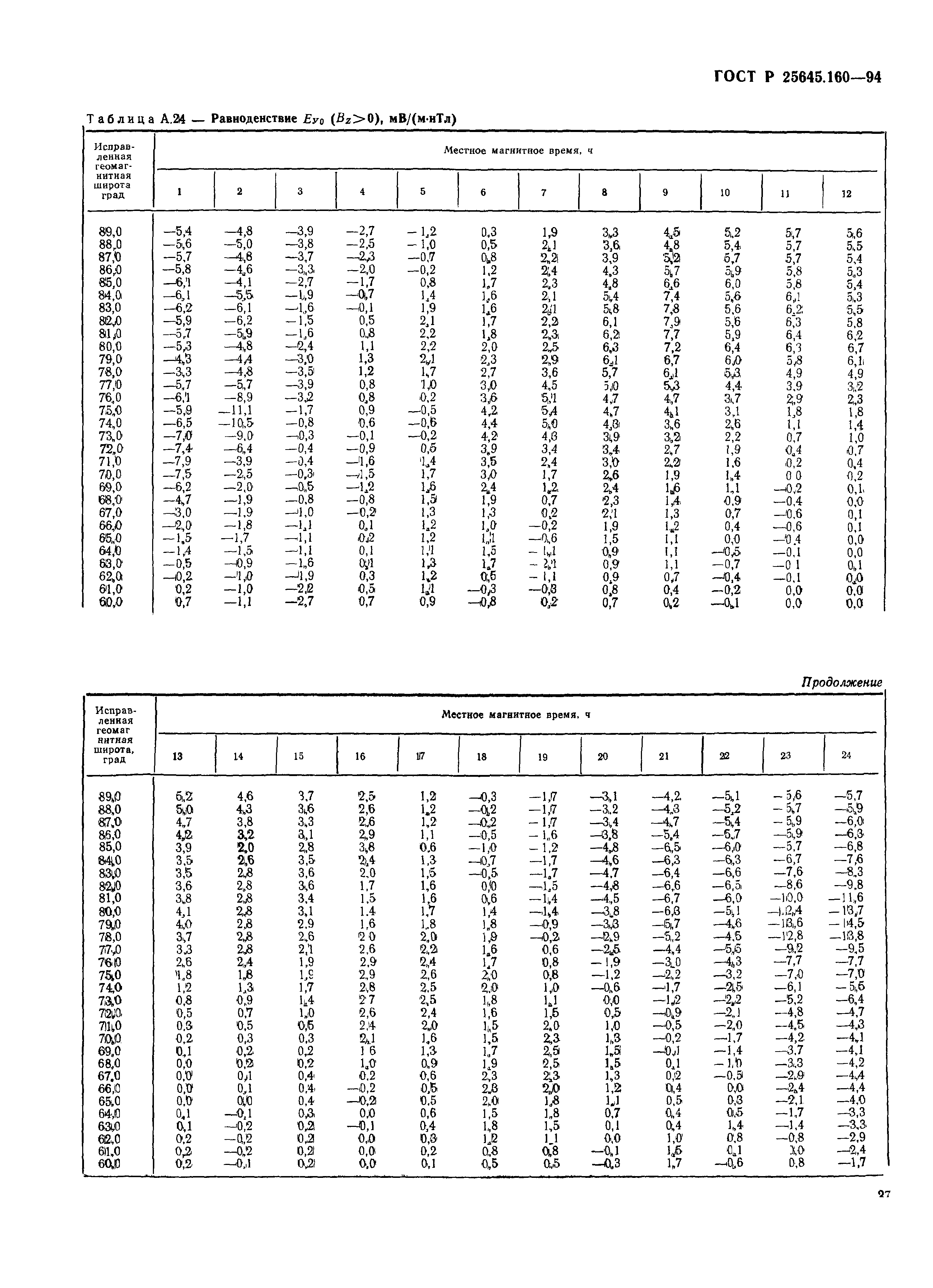
| Оглавление: | 1. Область применения 2. Нормативные ссылки 3. Определения и обозначения 4. Общие положения 5. Входные параметры модели 6. Вспомогательные параметры модели 7. Модель электромагнитной обстановки в околоземном пространстве Приложение А. Таблицы вспомогательных параметров |
| Утверждён: | 01.11.1994 Госстандарт России (Russian Federation Gosstandart 256) |




























































