Скачать ГОСТ Р 25645.337-94 Радиосистемы космических аппаратов. Радиофизическая модель околосолнечной плазмыДата актуализации: 01.01.2021
|
| Обозначение: | ГОСТ Р 25645.337-94 |
| Обозначение англ: | GOST R 25645.337-94 |
| Статус: | действует |
| Название рус.: | Радиосистемы космических аппаратов. Радиофизическая модель околосолнечной плазмы |
| Название англ.: | The radiosystems of cosmic apparatus. The radiophysical model of the solar plasma |
| Дата добавления в базу: | 01.09.2013 |
| Дата актуализации: | 01.01.2021 |
| Дата введения: | 01.07.1995 |
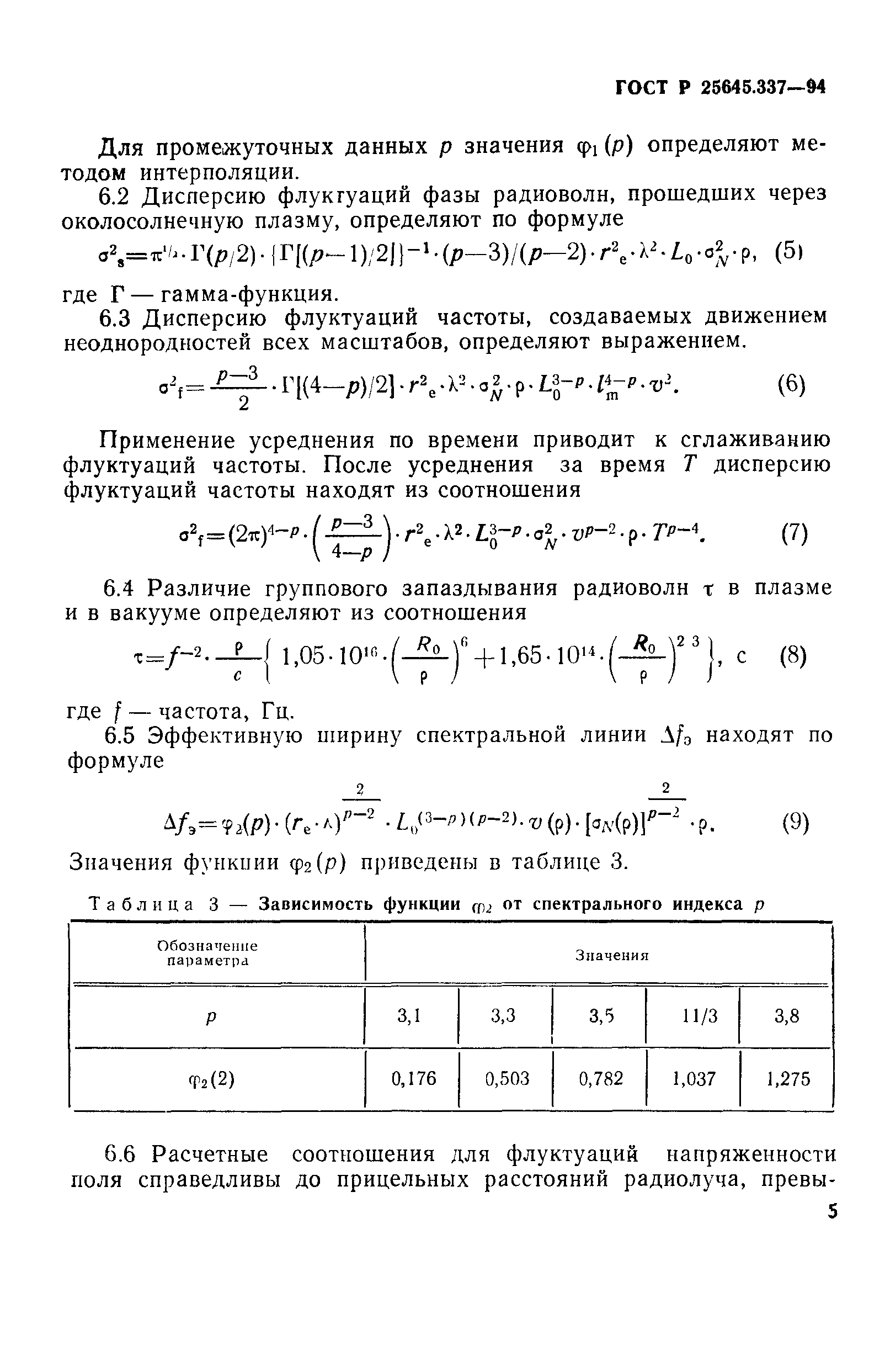
| Оглавление: | 1. Область применения 2. Определения 3. Обозначения и сокращения 4. Основные положения 5. Радиофизические параметры околосолнечной плазмы 6. Методика расчета влияния околосолнечной плазмы на параметры радиоволн |
| Утверждён: | 01.11.1994 Госстандарт России (Russian Federation Gosstandart 262) |










