Скачать ГОСТ Р 50546-93 Сироп из глюкозы. Определение содержания сухого вещества с использованием показателя преломления. Рефрактометрический методДата актуализации: 01.01.2021
|
| Обозначение: | ГОСТ Р 50546-93 |
| Обозначение англ: | GOST R 50546-93 |
| Статус: | введен впервые |
| Название рус.: | Сироп из глюкозы. Определение содержания сухого вещества с использованием показателя преломления. Рефрактометрический метод |
| Название англ.: | Glucose syrup. Determination of dry matter content. Refractive index method |
| Дата добавления в базу: | 01.09.2013 |
| Дата актуализации: | 01.01.2021 |
| Дата введения: | 01.01.1994 |
| Область применения: | Стандарт устанавливает метод определения содуржания сухового вещества в сиропах из глюкозы на основе их показателя преломления. |
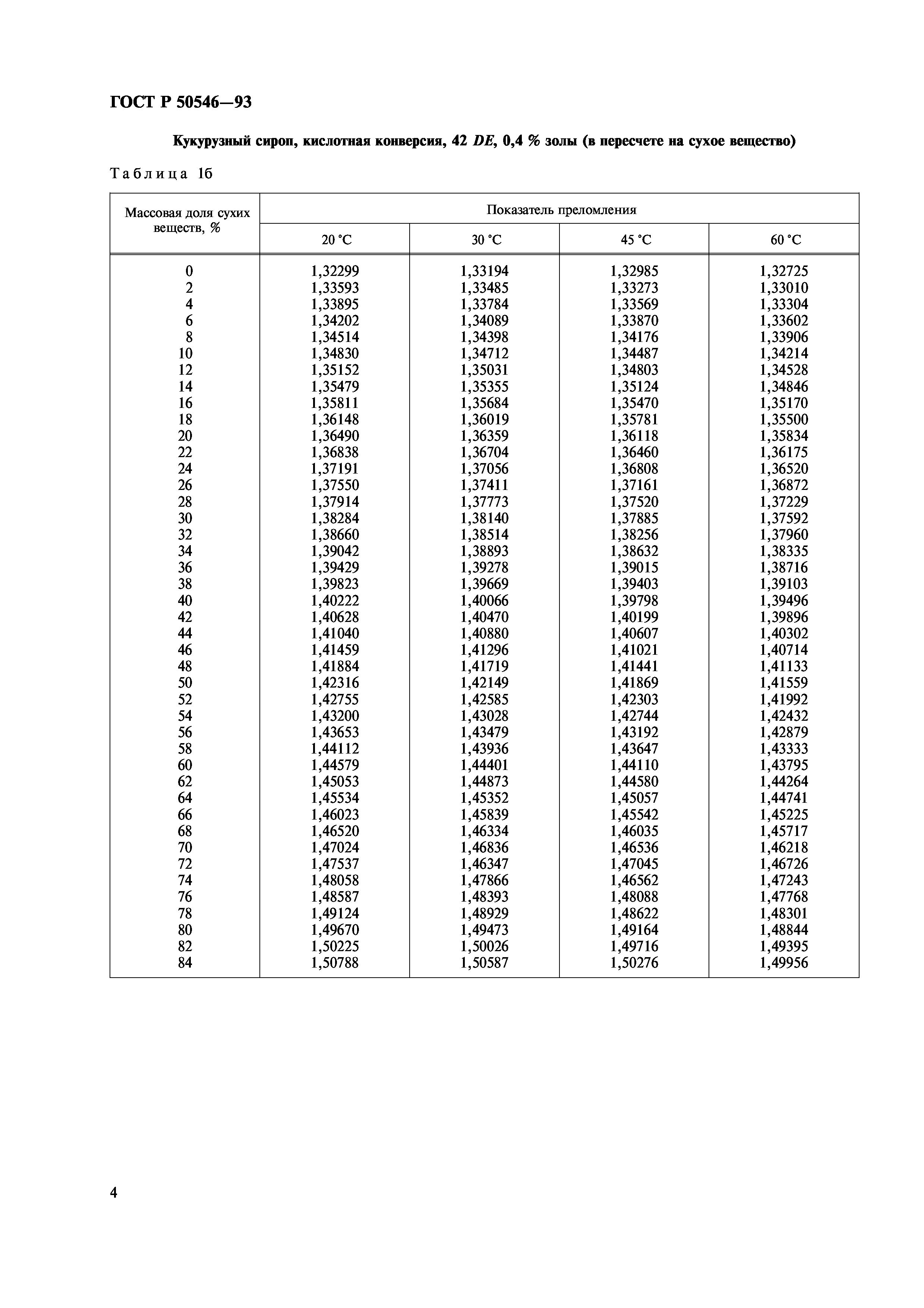
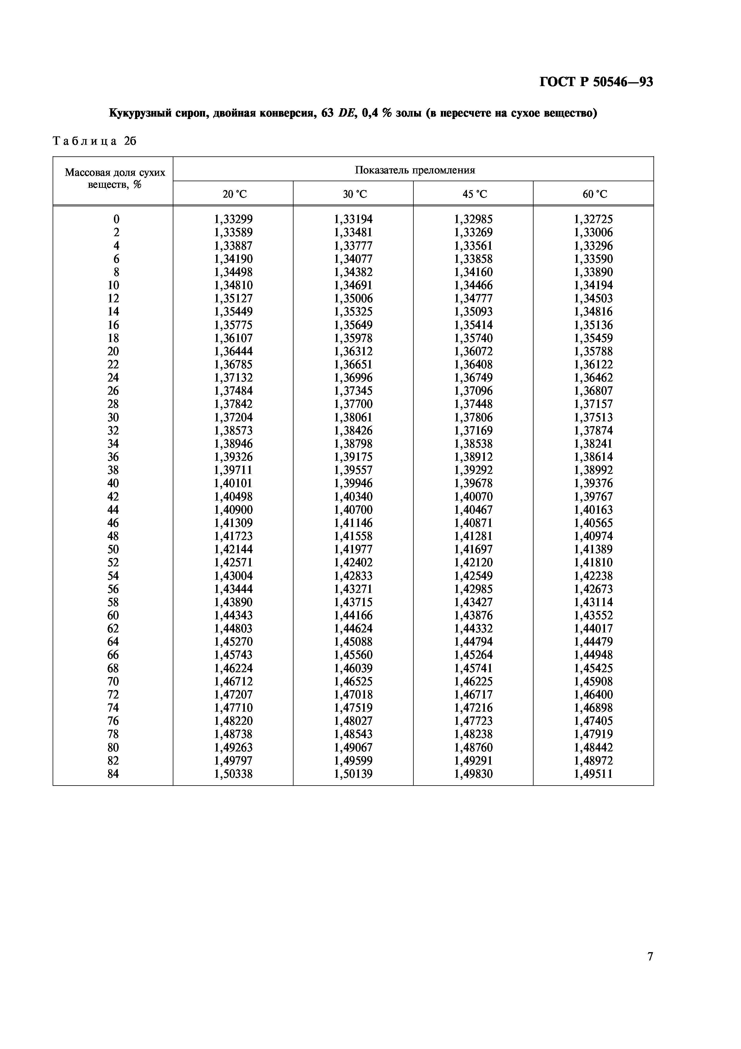
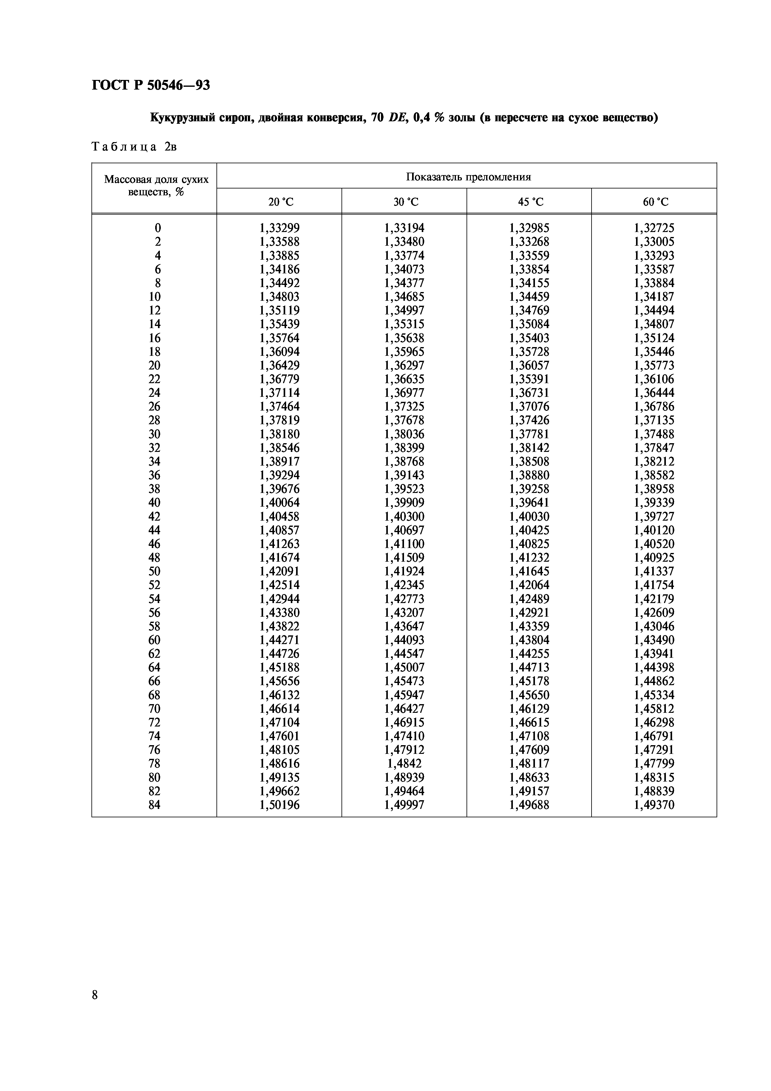
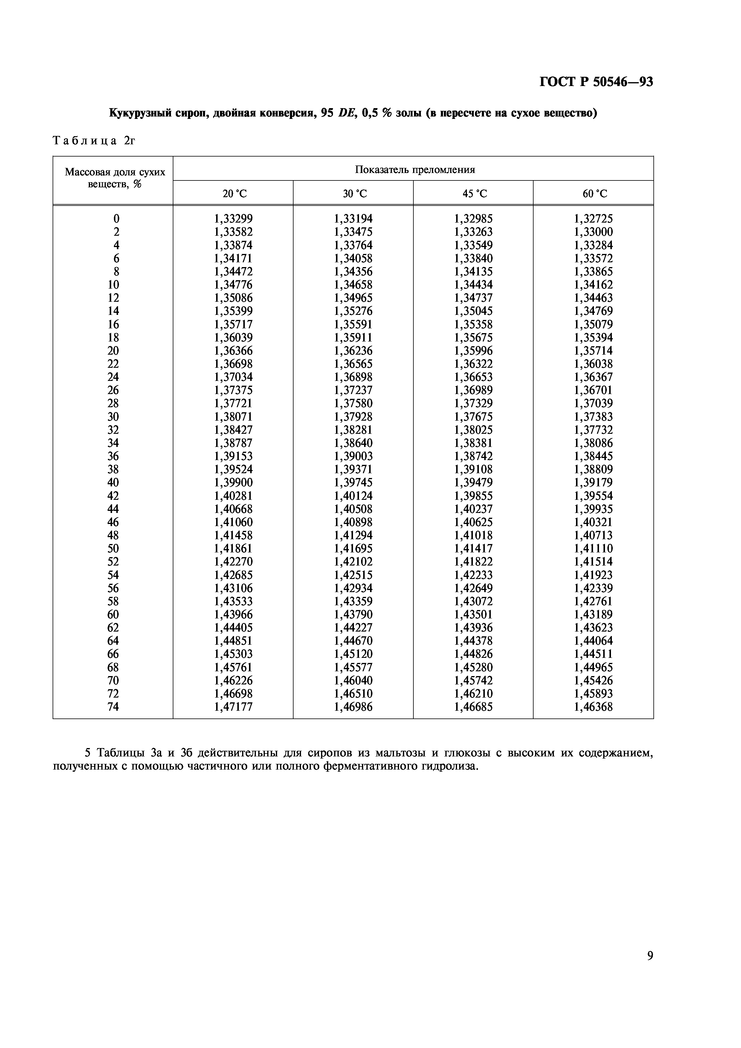
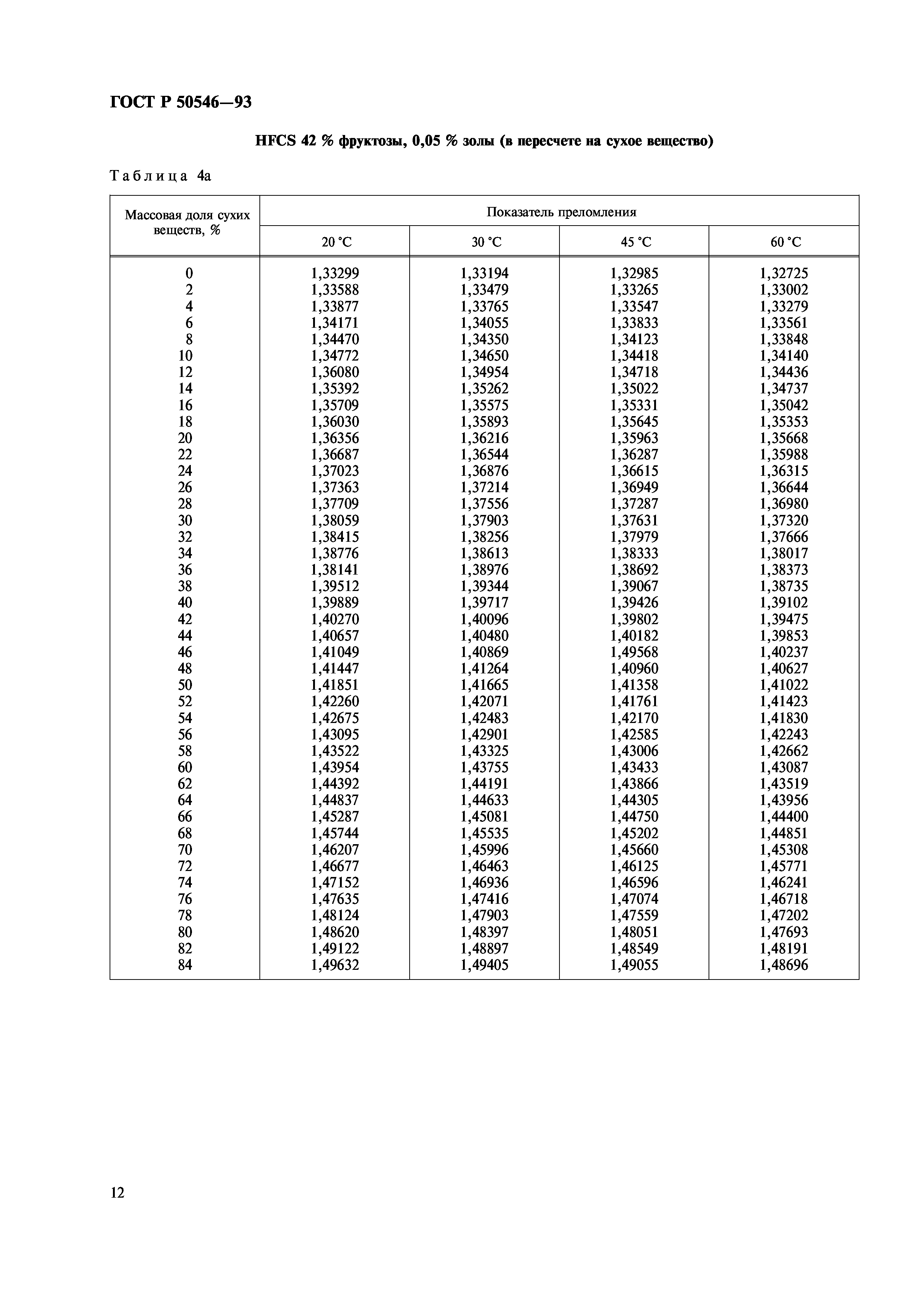
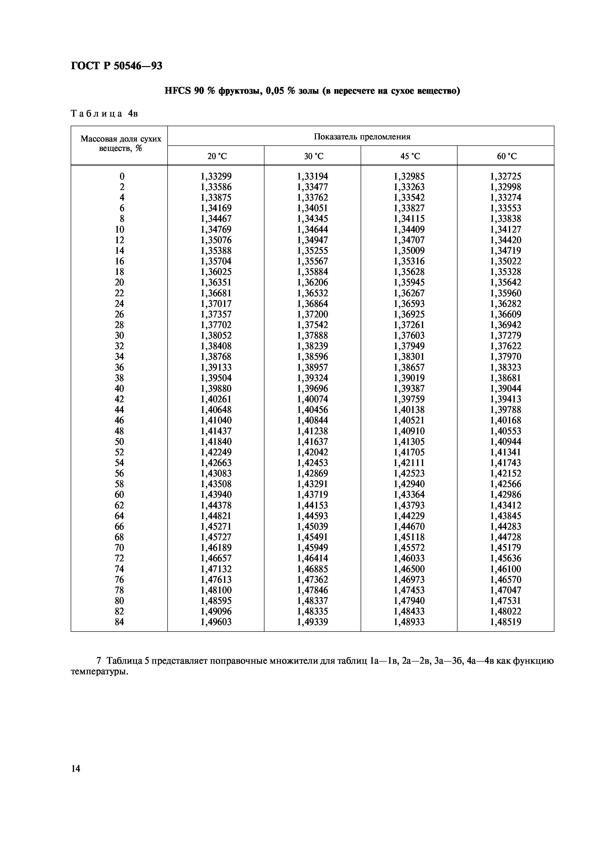
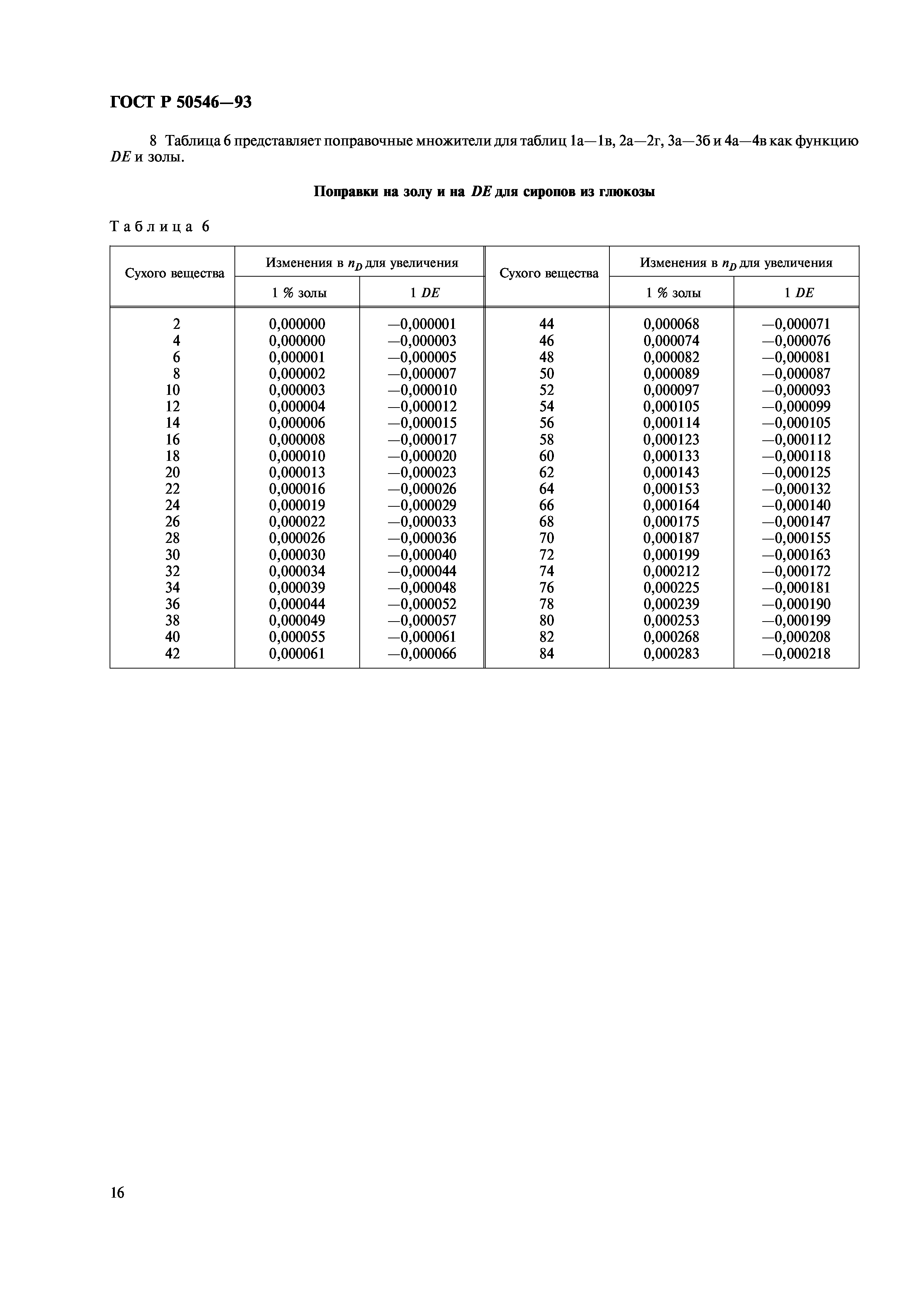
| Оглавление: | 1 Назначение и область применения 2 Ссылка 3 Сущность метода 4 Приборы и оборудование 5 Методика 6 Обработка результатов 7 Повторяемость 8 Примечания к проведению испытания 9 Протокол анализа Приложение (обязательное) Таблицы, представляющие показатель преломления как функцию состава концентрации и температуры |
| Разработан: | ТК 250 Крахмал и крахмалопродукты |
| Утверждён: | 01.04.1993 Госстандарт России (Russian Federation Gosstandart 102) |
| Издан: | Издательство стандартов (1993 г. ) Стандартинформ (2005 г. ) |
| Нормативные ссылки: |



















