Скачать ГОСТ Р 51107-97 Системы стереофонического радиовещания. Основные параметры. Методы измеренийДата актуализации: 01.01.2021
|
| Обозначение: | ГОСТ Р 51107-97 |
| Обозначение англ: | GOST R 51107-97 |
| Статус: | действует |
| Название рус.: | Системы стереофонического радиовещания. Основные параметры. Методы измерений |
| Название англ.: | Stereophonic broadcasting systems. Main parameters. Methods of measurements |
| Дата добавления в базу: | 01.09.2013 |
| Дата актуализации: | 01.01.2021 |
| Дата введения: | 01.07.1998 |
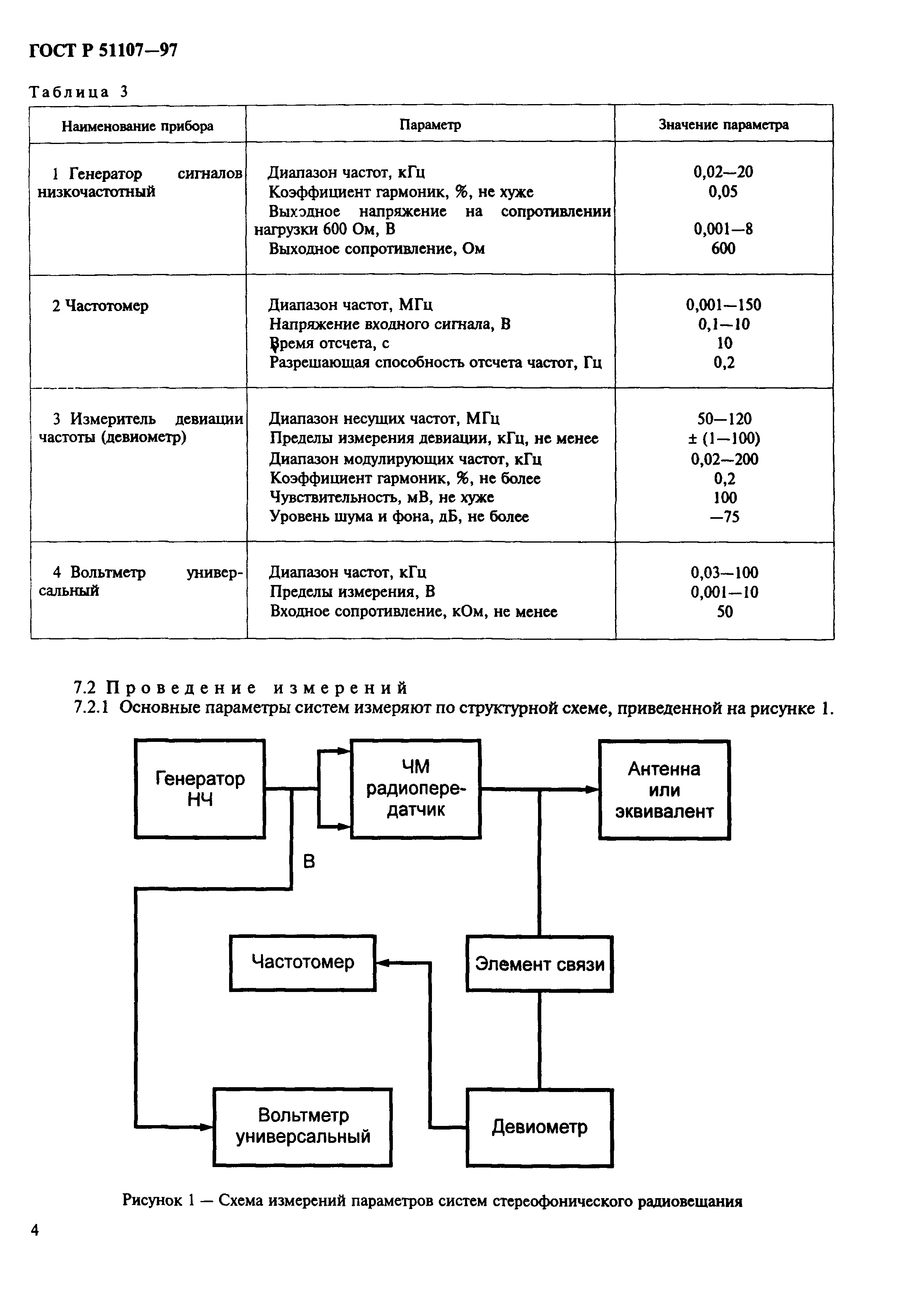
| Оглавление: | 1. Область применения 2. Нормативные ссылки 3. Определения 4. Общие положения 5. Характеристика КСС 6. Основные параметры 7. Методы измерений 7.1 Требования к средствам измерений 7.2 Проведение измерений Приложение А. Расчетные значения комплексного коэффициента передачи К(F) в полосе модулирующих частот от 0.04 до 15 кГц Приложение Б. Перечень измерительных приборов |
| Утверждён: | 10.12.1997 Госстандарт России (Russian Federation Gosstandart 409) |










