Скачать ГОСТ Р ИСО/МЭК 10021-3-98 Информационная технология. Передача текста. Системы обмена текстами, ориентированные на сообщения (MOTIS). Часть 3. Соглашения по определению абстрактных услугДата актуализации: 01.01.2021
|
| Обозначение: | ГОСТ Р ИСО/МЭК 10021-3-98 |
| Обозначение англ: | GOST R ISO/IEC 10021-3-98 |
| Статус: | действует |
| Название рус.: | Информационная технология. Передача текста. Системы обмена текстами, ориентированные на сообщения (MOTIS). Часть 3. Соглашения по определению абстрактных услуг |
| Название англ.: | Information technology. Text communication. Message-oriented text interchange systems (MOTIS). Part 3. Abstract service definition conventions |
| Дата добавления в базу: | 01.09.2013 |
| Дата актуализации: | 01.01.2021 |
| Дата введения: | 01.01.1999 |
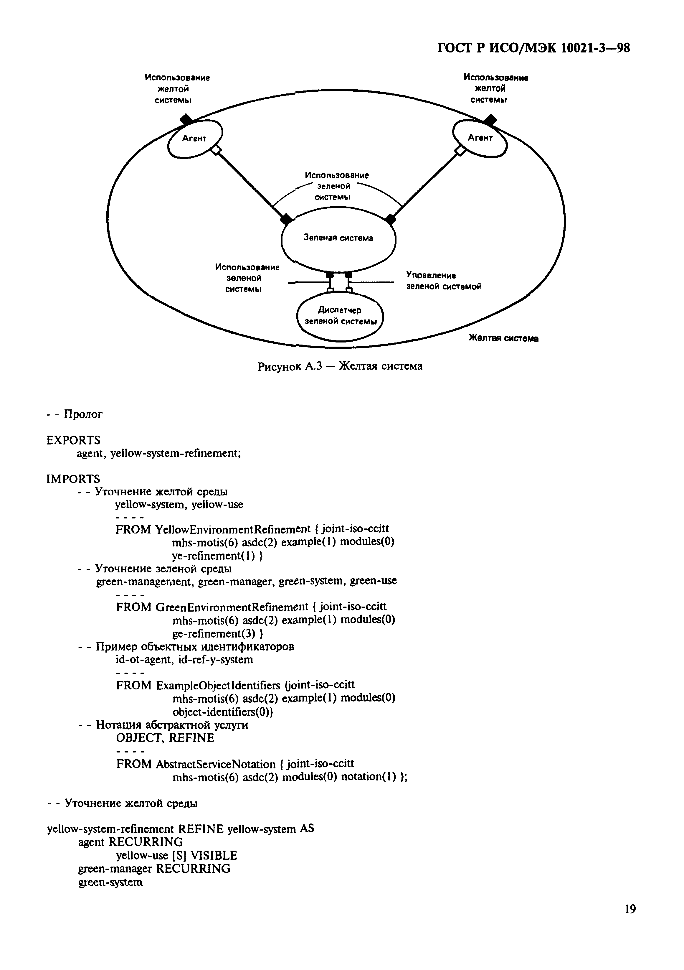
| Оглавление: | Введение Глава первая. Введение 1 Назначение 2 Нормативные ссылки 3 Определения 4 Сокращения 5 Соглашения 5.1 АСН.1 5.2 Термины Глава вторая. Соглашения по определению абстрактных услуг 6 Общее описание 7 Абстрактные модели 7.1 Абстрактные объекты 7.2 Абстрактные порты 7.3 Абстрактные услуги 7.4 Абстрактные уточнения 8 Абстрактные услуги 8.1 Абстрактные процедуры 8.2 Операции абстрактной связки 8.3 Операции абстрактной развязки 8.4 Абстрактные операции 8.5 Абстрактные ошибки Глава третья. Реализации абстрактных услуг 9 Общее описание 10 Реализации ВОС 10.1 Реализации СУО 10.2 Реализации не-СУО 11 Собственные реализации 11.1 Распределенные реализации 11.2 Нераспределенные реализации Приложение А Пример использования нотации абстрактных услуг А.1 Назначение объектных идентификаторов А.2 Уточнение желтой среды А.3 Определение абстрактной услуги желтой системы А.4 Уточнение зеленой среды А.5 Определение абстрактной услуги зеленой системы А.6 Уточнение желтой системы А.7 Реализация желтой системы А.8 Реализация зеленой системы Приложение В Справочное определение объектных идентификаторов Приложение С Справочное определение нотации Приложение D Различия между ГОСТ Р ИСО/МЭК 10021-3 и Рекомендацией Х.407 МККТТ Приложение Е Алфавитный указатель |
| Утверждён: | 10.07.1998 Госстандарт России (Russian Federation Gosstandart 288) |































