Скачать РД 34.35.132-95 Объем и технические условия на выполнение технологических защит теплоэнергетического оборудования блоков с барабанными котлами (для оборудования, проектируемого с 1997 г.)Дата актуализации: 01.01.2021
|
| Обозначение: | РД 34.35.132-95 |
| Обозначение англ: | RD 34.35.132-95 |
| Статус: | действует |
| Название рус.: | Объем и технические условия на выполнение технологических защит теплоэнергетического оборудования блоков с барабанными котлами (для оборудования, проектируемого с 1997 г.) |
| Название англ.: | Scope and Technical Specifications for Process Protective Means for Thermal Energy Equipment of Units with Drum Boilers (for Equipment Designed After 1997) |
| Дата добавления в базу: | 01.09.2013 |
| Дата актуализации: | 01.01.2021 |
| Дата введения: | 01.01.1997 |
| Область применения: | Документ распространяется на энергоблоки с барабанными котлами, работающими на твердом, жидком и газообразном топливах и их смесях, моноблоки с конденсационными турбинами мощностью 315 МВт и ниже, дубль-блоки с теплофикационными турбинами мощностью 185 МВт и ниже. |
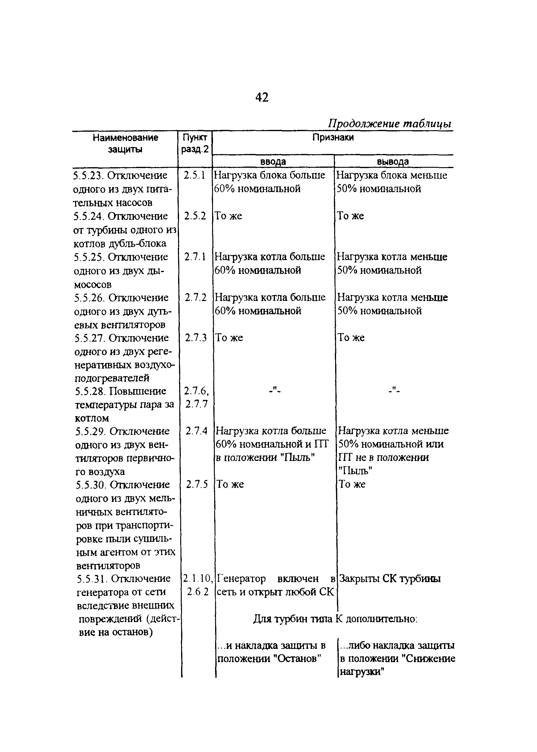
| Оглавление: | 1 Общая часть 2 Перечень технологических защит 3 Технические условия на выполнение технологических защит 4 Действия, выполняемые технологической защитой 5 Технические условия на выполнение устройств автоматического ввода и вывода технологических защит |
| Разработан: | АО Фирма ОРГРЭС |
| Утверждён: | 20.12.1995 РАО ЕЭС России (UES of Russia RAO ) |
| Издан: | СПО ОРГРЭС (1997 г. ) |













































