Скачать РД 34.30.703 Типовая энергетическая характеристика турбоагрегата ПТ-80/100-130/13 ЛМЗДата актуализации: 01.01.2021
|
| Обозначение: | РД 34.30.703 |
| Обозначение англ: | RD 34.30.703 |
| Статус: | действует |
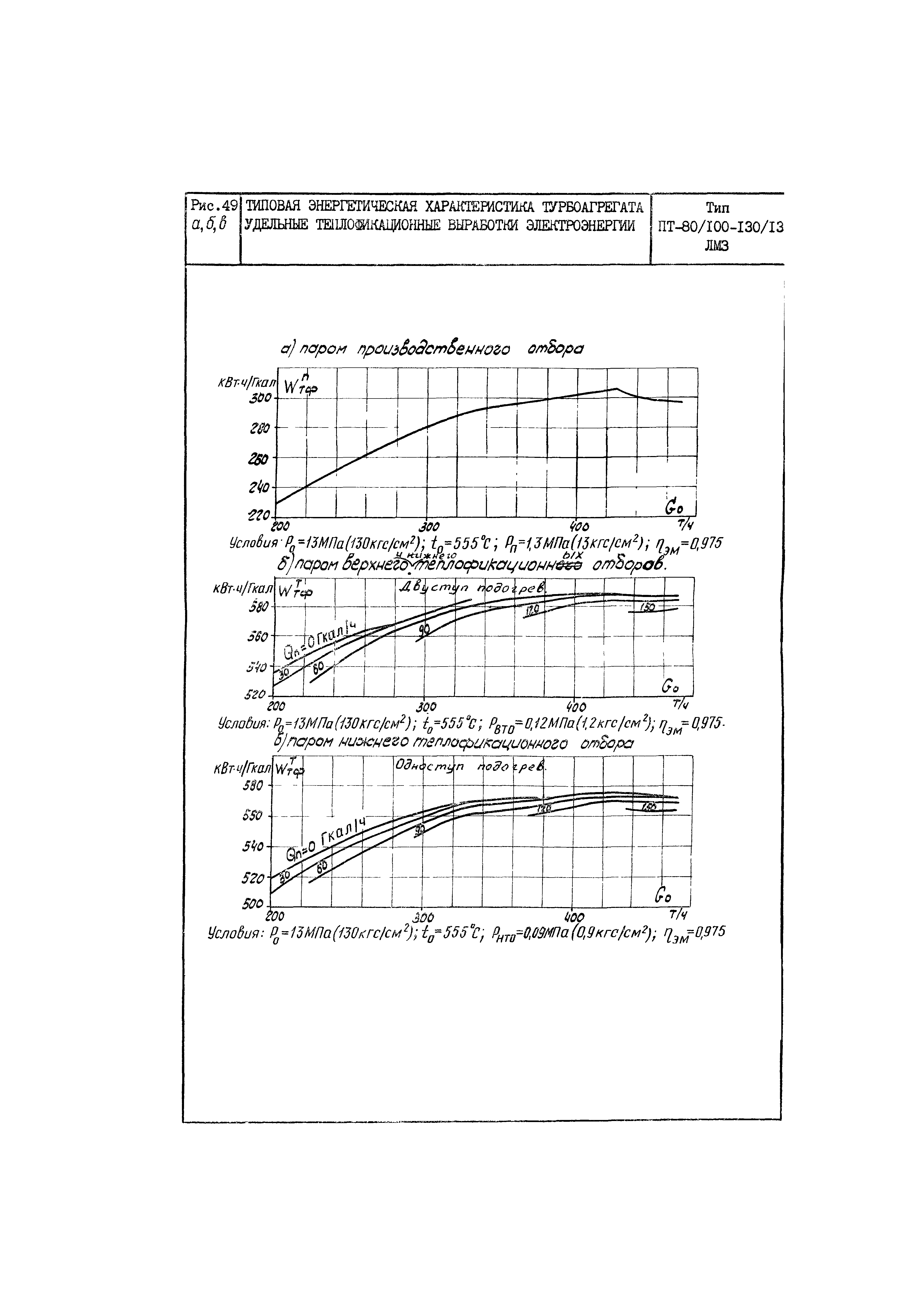
| Название рус.: | Типовая энергетическая характеристика турбоагрегата ПТ-80/100-130/13 ЛМЗ |
| Название англ.: | Standard Power Output Characteristic of Turbine Generator Unit PT-80/100-130/13 LMZ |
| Дата добавления в базу: | 01.09.2013 |
| Дата актуализации: | 01.01.2021 |
| Дата введения: | 26.03.1985 |
| Оглавление: | Приложение |
| Разработан: | ПО Союзтехэнерго |
| Утверждён: | 26.03.1985 Минэнерго СССР (USSR Minenergo ) |
| Издан: | СПО Союзтехэнерго (1985 г. ) |
| Список изменений: |
|

































































Текстовое изменение дополнение

















