Скачать РД 34.30.727 Нормативные характеристики конденсаторов турбин Т-50-130 ТМЗ, ПТ-60-130/13 и ПТ-80/100-130/13 ЛМЗДата актуализации: 01.01.2021
|
| Обозначение: | РД 34.30.727 |
| Обозначение англ: | RD 34.30.727 |
| Статус: | действует |
| Название рус.: | Нормативные характеристики конденсаторов турбин Т-50-130 ТМЗ, ПТ-60-130/13 и ПТ-80/100-130/13 ЛМЗ |
| Название англ.: | Specified Characteristics of Condensers for Turbines T-50-130 TMZ, PT-60-130/13 and PT-80/100-130/13 |
| Дата добавления в базу: | 01.09.2013 |
| Дата актуализации: | 01.01.2021 |
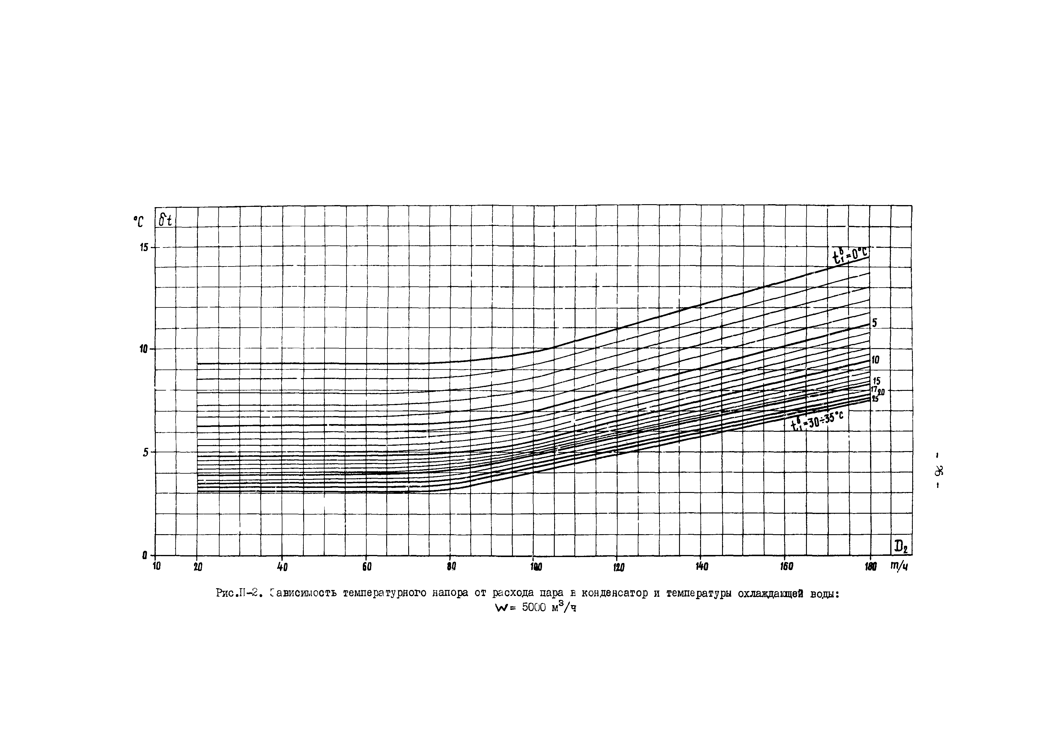
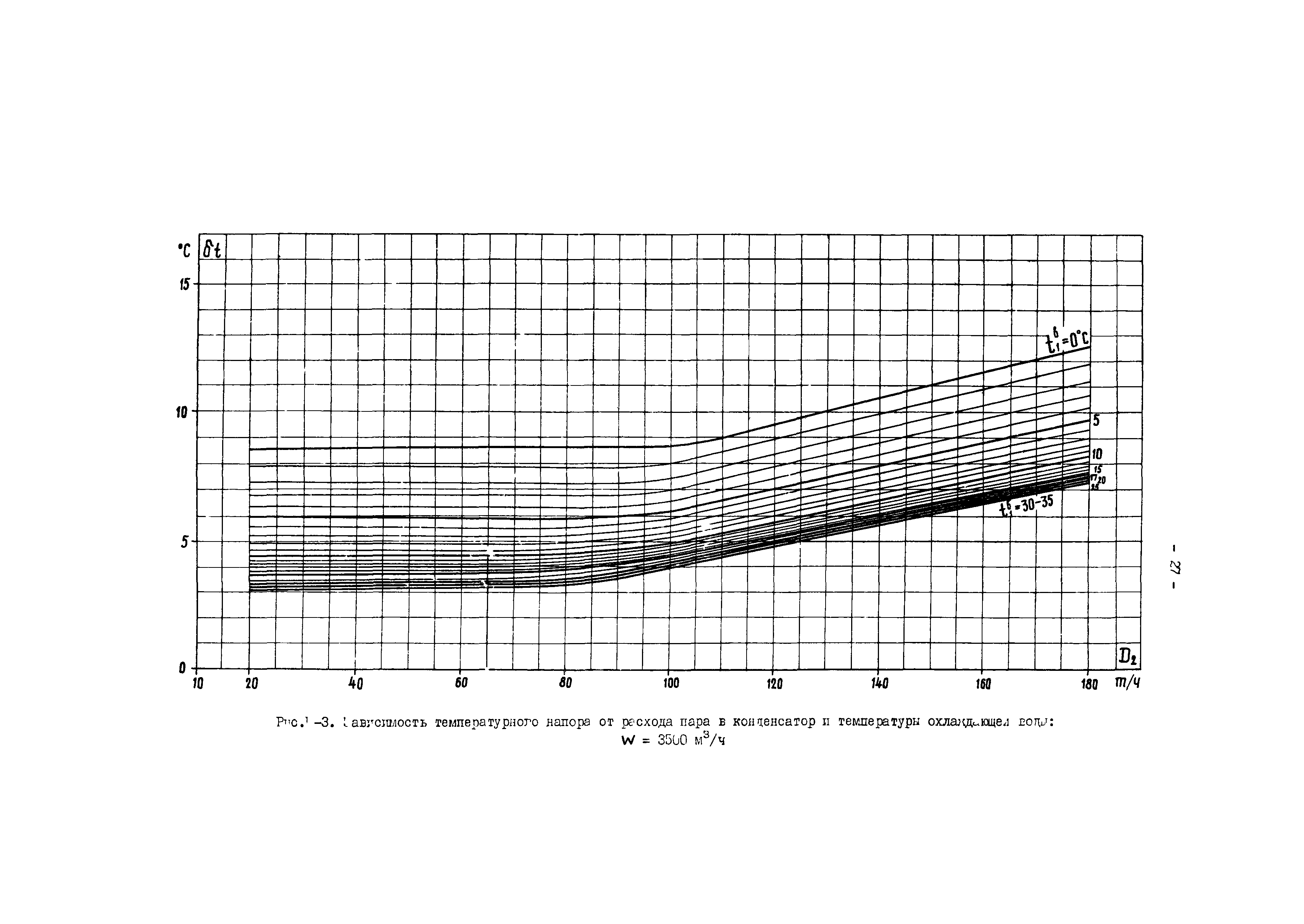
| Оглавление: | 1 Исходные данные 2 Содеожание номративных характеристик 3 Эксплуатационный контроль за работой конденсационной установки и состоянием конденсатора 4 Оценка снижения мощности турбоустановки при эксплуатации с птниженным по сравнению с нормативным вакуумом Приложение 1 Нормативная характеристика конденсатора К2-3000-2 турбины Т-50-130 ТМЗ Приложение 2 Нормативная характеристика конденсатора 60КЦС турбины ПТ-60-130/13 ЛМЗ Приложение 3 Нормативная характеристика конденсатора 80КЦС турбины ПТ-80/100-130/13 ЛМЗ |
| Разработан: | ПО Союзтехэнерго |
| Утверждён: | 03.06.1981 Минэнерго СССР (USSR Minenergo ) |
| Издан: | СПО Союзтехэнерго (1981 г. ) |
















































