Скачать РД 34.25.505 Методические указания по расчету допустимых разностей температур и скоростей прогрева основных деталей котлов и паропроводов энергетических блоковДата актуализации: 01.01.2021
|
| Обозначение: | РД 34.25.505 |
| Обозначение англ: | RD 34.25.505 |
| Статус: | действует |
| Название рус.: | Методические указания по расчету допустимых разностей температур и скоростей прогрева основных деталей котлов и паропроводов энергетических блоков |
| Название англ.: | Procedural Guidelines for Calculation of Permissible Differences in Temperature and Rates of Heating of Parts of Boilers and Steam Lines of Energy Units |
| Дата добавления в базу: | 01.09.2013 |
| Дата актуализации: | 01.01.2021 |
| Дата введения: | 01.01.1983 |
| Область применения: | Методические указания определяют основные методы и требования по расчетной оценке допустимых разностей температур и скоростей прогрева деталей котлов и паропроводов энергетических блоков ТЭС и предназначены для проектных и наладочных организаций Минэнерго СССР в качестве рекомендуемого |
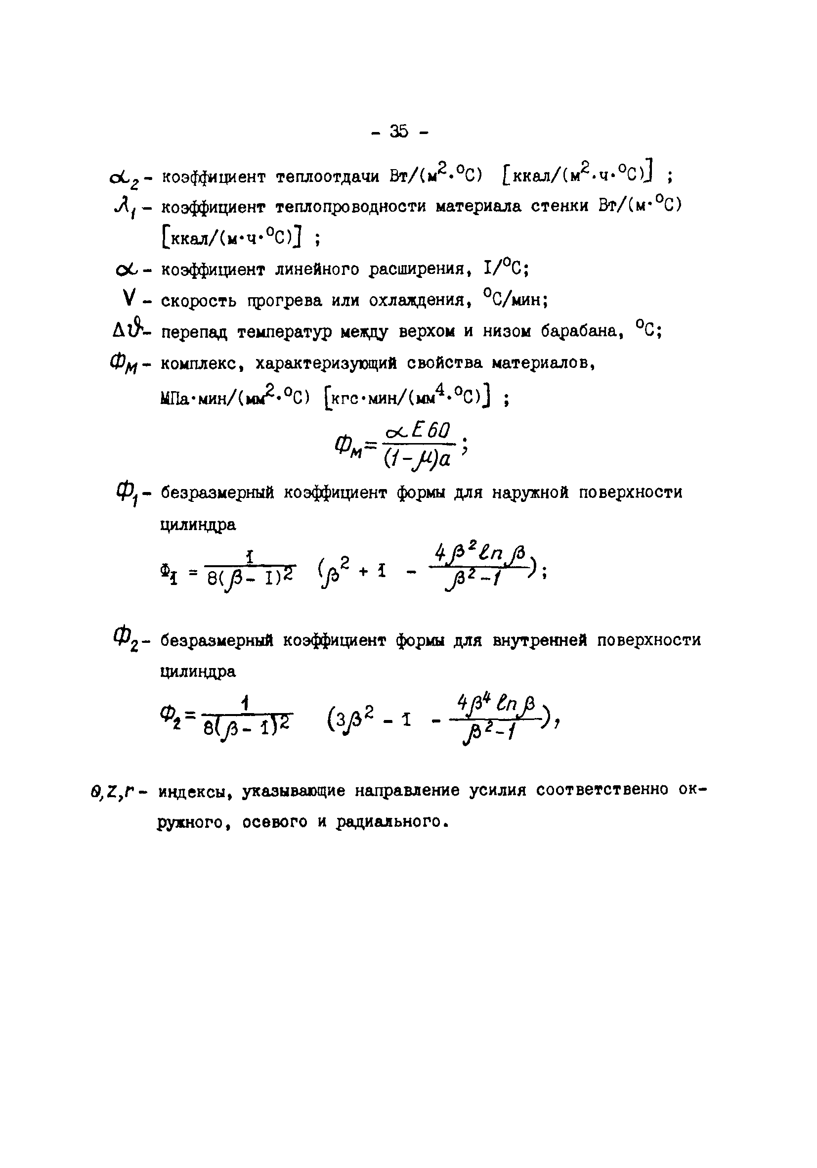
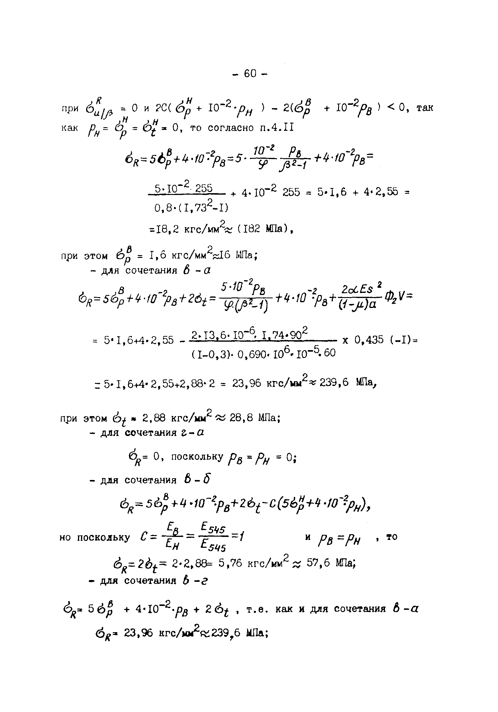
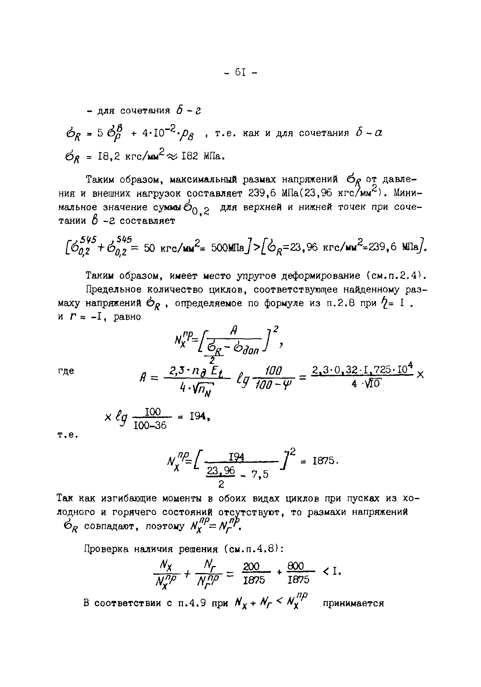
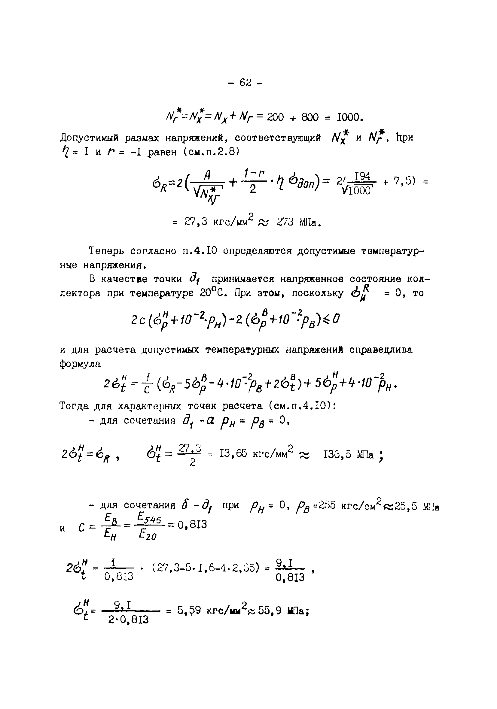
| Оглавление: | 1. Общие положения 2. Основные критерии прочности 3. Барабаны котлов 4. Коллекторы котлов и детали паропроводов Приложение 1. Условные обозначения Приложение 2. Формулы для определения напряжений в кромках отверстий водопропускных и подъемных труб барабанов котлов по характеристикам изменений параметров рабочей среды Приложение 3. Формулы для определения напряжений в характерных точках гиба трубы, трубы со штуцером и в сварном стыке трубы Приложение 4. Примеры расчетов Список использованной литературы |
| Разработан: | ВТИ им. Ф.Э. Дзержинского |
| Утверждён: | Главтехуправление Минэнерго СССР (Glavtekhupravleniye, USSR Minenergo ) |
| Издан: | СПО Союзтехэнерго (1983 г. ) |




















































































