Скачать ГОСТ Р 51884-2002 Магистраль VME, расширенная для контрольно-измерительной аппаратуры (магистраль VXI). Общие технические требованияДата актуализации: 01.01.2021
|
| Обозначение: | ГОСТ Р 51884-2002 |
| Обозначение англ: | GOST R 51884-2002 |
| Статус: | действует |
| Название рус.: | Магистраль VME, расширенная для контрольно-измерительной аппаратуры (магистраль VXI). Общие технические требования |
| Название англ.: | VME bus extentions for instrumentation (VXI bus). General technical requirements |
| Дата добавления в базу: | 01.09.2013 |
| Дата актуализации: | 01.01.2021 |
| Дата введения: | 01.01.2003 |
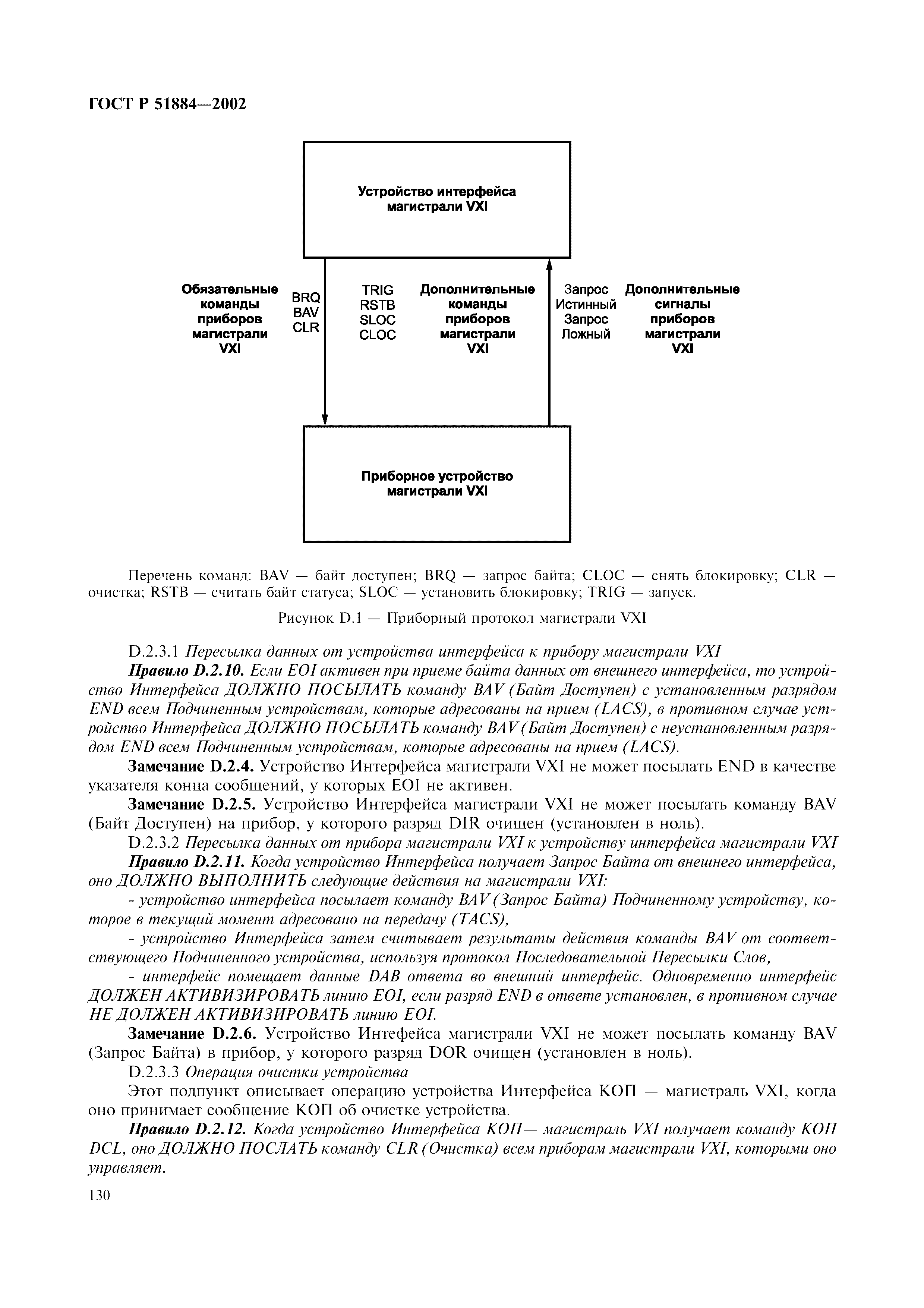
| Оглавление: | 1 Область применения 2 Нормативные ссылки А Введение в технические требования магистрали VXI A.1 Идентификационные номера изготовителей А.2 Обзор магистрали VXI А.2.1 Введение А.2.2 Магистраль VME как основа магистрали VXI А.2.3 Дополнения, образующие магистраль VXI А.2.3.1 Модули магистрали VXI А.2.3.2 Подсистемы магистрали VXI А.2.3.3 Архитектура системы магистрали VXI А.2.3.4 Структура описания нормируемых характеристик магистрали VXI А.3 Структура стандарта А.4 Назначение стандарта А.5 Терминология стандарта В Реализация технических требований стандарта магистрали VME в магистрали VXI B.1 Введение В.2 Шина пересылки данных В.2.1 Модификатор адреса В.2.2 Работа линии DTACК В.2.3 Работа шинного таймера В.3 Арбитраж шины пересылки данных В.4 Шина приоритетных прерываний В.5 Служебная шина В.5.1 Модуль контроля питания В.5.2 Контакты питания В.6 Требования к электрическим характеристикам В.6.1 Соединитель Р1 магистрали VXI В.6.2 Подсистемный соединитель Р2 магистрали VXI В.6.2.1 Тактовый сигнал CLК10 В.6.2.2 Линии идентификации модулей MODID В.6.2.3 Линии запуска ТТЛ (TTLTRG0-7) В.6.2.4 Линии запуска ЭСЛ (ECLTRG0-1) В.6.2.5 Суммирующая шина (SUMBUS) В.6.2.6 Локальная шина (LOCAL BUS) В.6.2.7 Резервные контакты (RSV2-3) В.6.3 Подсистемный соединитель РЗ магистрали VXI В.6.3.1 Тактовый сигнал CLК100 В.6.3.2 Сигнал синхронизации SYNC100 В.6.3.3 Линии STARX и STARY В.6.3.4 Линии ECLTRG2-5 В.6.3.5 Локальная шина LBUS12-35 В.6.3.6 Резервные линии RSV4-7 В.6.4 Объединительная плата В.6.4.1 Уровни сигналов ЭСЛ В.7 Требования к механическим конструкциям В.7.1 Введение В.7.2 Характеристики модулей В.7.2.1 Платы и модули магистрали VXI В.7.2.2 Передняя панель В.7.2.3 Экранировка модуля В.7.2.4 Охлаждение модулей В.7.2.5 Питание модулей В.7.2.6 Ключи модулей В.7.2.7 Климатические и механические требования к модулям В.7.3 Характеристики базовых блоков В.7.3.1 Объединительные платы В.7.3.2 Заземление В.7.3.3 Установка/извлечение В.7.3.4 Экранирование базового блока В.7.3.5 Охлаждение базового блока В.7.3.6 Питание базового блока В.7.3.7 Ключи В.7.3.8 Климатические и механические требования к базовым блокам В.8 Электромагнитная совместимость и питание системы В.8.1 Введение В.8.2 Распределение питания В.8.3 Контакты питания В.8.4 Требования к напряжениям постоянного тока В.8.5 Соблюдение требований по питанию В.8.6 Электромагнитная совместимость модулей В.8.6.1 Помехи проводимости В.8.6.2 Восприимчивость к помехам проводимости В.8.6.3 Помехи излучения В.8.6.4 Восприимчивость к помехам излучения В.8.7 Рекомендуемые методы испытаний В.8.7.1 Испытание базовых блоков на пульсации/шум при статической нагрузке В.8.7.2 Испытание базовых блоков на наведенные пульсации/шум В+A97.8.7.3 Испытание модулей на помехи проводимости В.8.7.4 Испытание модулей на восприимчивость к помехам проводимости В.8.7.5 Испытание модулей на магнитные помехи ближнего поля В.8.7.6 Испытание модулей на восприимчивость к магнитным помехам ближнего поля В.8.7.7 Примеры магнитных пробников ближнего поля С Архитектура системы С.1 Обзор архитектуры системы магистрали VXI С.2 Работа устройства С.2.1 Общее описание устройства С.2.1.1 Функциональные возможности устройства как исполнителя С.2.1.2 Инициализация и диагностика устройства С.2.1.3 Приоритетные прерывания С.2.1.4 Функциональные возможности Задатчика магистрали VME С.2.1.5 Завершение работы С.2.2 Регистровые устройства С.2.2.1 Возможности пересылки данных С.2.2.2 Приоритетные прерывания С.2.2.3 Регистры Регистровых устройств С.2.2.4 Завершение работы С.2.3 Устройства Памяти С.2.3.1 Регистры устройств Памяти С.2.4 Устройства на Основе Сообщений С.2.4.1 Возможности пересылки данных С.2.4.2 Приоритетные прерывания С.2.4.3 Регистры устройств на Основе Сообщений С.2.4.4 Работа устройств на Основе Сообщений С.2.4.5 Конфигурирование устройств на Основе Сообщений С.2.4.6 Процедура инициализации С.2.4.7 Завершение работы С.2.4.8 Очистка устройства на Основе Сообщений С.2.5 Расширенные устройства С.3 Коммуникационные протоколы устройств С.3.1 Коммуникационные элементы С.3.1.1 Регистровые Подчиненные устройства С.3.1.2 Подчиненные устройства на Основе Сообщений С.3.1.3 Командные устройства на Основе Сообщений С.3.2 Управление Регистровым Подчиненным устройством С.3.3 Управление Подчиненным устройством на Основе Сообщений С.3.3.1 Протоколы Последовательной Пересылки Слов С.3.3.2 Пересылки в режиме Быстрого Квитирования С.3.3.3 Протокол Побайтовой Пересылки С.3.3.4 Обработка ошибок С.3.3.5 Отказы устройств С.4 Системные ресурсы С.4.1 Менеджер Ресурсов С.4.1.1 Идентификация устройств С.4.1.2 Управление самоконтролем системы С.4.1.3 Конфигурирование распределения адресов С.4.1.4 Иерархии Командное устройство/Подчиненное устройство С.4.1.5 Распределение линий IRQ С.4.1.6 Инициирование нормальной работы С.4.2 Управление ресурсами во время работы С.4.3 Подсистема Гнезда 0 магистрали VXI С.4.3.1 Регистровые устройства Гнезда 0 С.4.3.2 Устройства Гнезда 0 на Основе Сообщений С.4.3.3 Другие устройства Гнезда 0 D Реализация устройств магистрали VXI D.1 Приборы магистрали VXI D.1.1 Приборные Протоколы магистрали VXI D.1.1.1 Пересылка данных от командных устройств к приборам D.1.1.2 Пересылка данных от приборов к Командным устройствам D.1.1.3 Очистка прибора магистрали VXI D.1.1.4 Запуск прибора D.1.1.5 Блокировка местного управления D.1.1.6 Операция запроса на обслуживание D.1.1.7 Операция последовательного опроса D.1.1.8 Сообщение об ошибках D.1.1.9 Инициализация D.1.2 Протоколы приборов магистрали VXI, совместимых с КОП.2 D.1.2.1 Очистка прибора VXI, совместимого с КОП.2 D.1.2.2 Запуск прибора КОП.2 D.1.2.3 Блокировка местного управления D.1.2.4 Операция запроса на обслуживание D.1.2.5 Операция последовательного опроса D.2 Интерфейс КОП - магистраль VXI D.2.1 Распределение адресов КОП D.2.2 Функции устройства Интерфейса КОП - магистраль VXI D.2.3 Приборный протокол магистрали VXI D.2.3.1 Пересылка данных от устройства интерфейса к прибору магистрали VXI D.2.3.2 Пересылка данных от прибора магистрали VXI к устройству интерфейса магистрали D.2.3.3 Операция очистки устройства D.2.3.4 Операция запуска D.2.3.5 Функции КОП Дистанционное/Местное D.2.3.6 Операция Запроса на обслуживание D.2.3.7 Операция Последовательного Опроса Е Форматы команд и событий E.1 Команды последовательной пересылки слов Е.2 Команды последовательной пересылки длинных слов Е.3 Команды последовательной пересылки расширенных длинных слов Е.4 События протоколов F Динамическое конфигурирование F.1 Определения F.2 Требования к устройствам DC F.2.1 Регистр Логического Адреса F.2.2 Назначение Логического Адреса устройству DC F.2.3 Регистр Смещения F.2.4 Использование линии MODID F.3 Требования к системам DC F.3.1 Алгоритм конфигурирования системы F.3.1.1 Идентификация устройств SC F.3.1.2 Присвоение Логических Адресов устройствам DC F.3.1.3 Построение иерархии G Протоколы совместно используемой памяти Приложение I Регистры магистрали VXI Приложение II Предложения по проектированию объединительной платы II.1 Структура объединительной платы II.2 Топология объединительной платы Приложение III Поддержка устройств, соответствующих предыдущим редакциям стандарта III.1 Устройства, соответствующие требованиям редакции 1.2 III.2 Устройства, соответствующие требованиям редакции 1.3 Приложение IV Словарь терминов Приложение V Сокращения Приложение VI Библиография Перечень рисунков Рисунок В.1 Схема трассировки сигналов CLК10, MODID и LBUS на объединительной плате Рисунок В.2 Схема нагрузки и возбуждения линий MODID Рисунок В.3 Синхронный (SYNC) протокол запуска для линии TTLTRG Рисунок В.4 Асинхронный (ASYNC) протокол запуска для линии TTLTRG Рисунок В.5 Передача данных по линиям TTLTRG с синхронизацией по отрицательному перепаду тактового сигнала Рисунок В.6 Передача данных по линиям TTLTRG с синхронизацией по положительному перепаду тактового сигнала Рисунок В.7 Стартстопный (START/STOP) протокол для линий TTLTRG Рисунок В.8 Буферизация внешнего сигнала запуска Рисунок В.9 Стандартная схема интерфейса для линий ECLTRG Рисунок В.10 Синхронный (SYNC) протокол запуска для линий ECLTRG Рисунок В.11 Асинхронный (ASYNC) протокол запуска для линий ECLTRG Рисунок В.12 Передача данных по линиям ECLTRG Рисунок В.13 Временная диаграмма сигналов CLК100, SYNC100 и стартстопного (START/STOP) протокола запуска для линий ECLTRG Рисунок В.14 Типовой базовый блок типоразмера D Рисунок В.15 Платы типоразмера С Рисунок В.16 Платы типоразмера D Рисунок В.17 Оболочка вставного модуля. Вид сверху Рисунок В.18 Оболочка вставных модулей. Вид спереди Рисунок В.19 Положение соединителей в печатном узле типоразмера С Рисунок В.20 Положение соединителей в печатном узле типоразмера D Рисунок В.21 Направляющие выступы модуля Рисунок В.22 Элементы передней панели модуля типоразмера С Рисунок В.23 Элементы передней панели модуля типоразмера D Рисунок В.24 Панель-заглушка типоразмера С Рисунок В.25 Панель-заглушка типоразмера D Рисунок В.26 Передняя панель типоразмера С. Типовое крепление и размеры Рисунок В.27 Передняя панель типоразмера D. Типовое крепление и размеры Рисунок В.28 Элементы ключа блокировки локальной шины Рисунок В.29 Кассета базового блока типоразмера С Рисунок В.30 Кассета базового блока типоразмера D Рисунок В.31 Объединительная плата типоразмера С Рисунок В.32 Объединительная плата типоразмера D Рисунок В.33 Фрагмент объединительной платы Рисунок В.34 Экран соединителя объединительной платы Рисунок В.35 Направляющие платы типоразмера С Рисунок В.36 Направляющие платы типоразмера D Рисунок В.37 Опорная поверхность устройства установки модуля Рисунок В.38 Опорная поверхность устройства установки модуля Рисунок В.39 Зоны входа и выхода воздуха модулей размеров С и D Рисунок В.40 Упрощенная схема определения условий охлаждения модуля Рисунок В.41 Упрощенная схема испытания системы охлаждения базового блока Рисунок В.42 Пример применения графика охлаждения «наихудшего гнезда» базового блока для интеграции системы Рисунок В.43 Ток нагрузки базового блока Рисунок В.44 Пределы пульсаций/шума наведенной помехи и помехи при статической нагрузке базового блока Рисунок В.45 Помехи проводимости модуля Рисунок В.46 Уровни восприимчивости модуля к помехам Рисунок В.47 Максимальные уровни помех ближнего поля для модулей типоразмеров А и В (дБ относительно 1 пТл) Рисунок В.48 Максимальные уровни помех ближнего поля для модулей типоразмеров С и D (дБ относительно 1 пТл) Рисунок В.49 Минимальные уровни восприимчивости к помехам ближнего поля для модулей типоразмеров А и В (дБ относительно 1 пТл) Рисунок В.50 Минимальные уровни восприимчивости к помехам ближнего поля для модулей типоразмеров С и D (дБ относительно 1 пТл) Рисунок В.51 Области контроля ЭМС для модулей типоразмеров А и В Рисунок В.52 Области контроля ЭМС для модулей типоразмеров С и D Рисунок В.53 Области контроля ЭМС модулей типоразмеров А и В, адаптированных для базовых блоков типоразмеров С и D, и модулей типоразмеров С и D Рисунок В.54 Области контроля ЭМС модулей типоразмеров А и В, адаптированных для базовых блоков типоразмеров С и D, и модулей типоразмеров С и D Рисунок С.1 Типичные варианты конфигурирования системы Рисунок С.2 Уровни протоколов информационного обмена VXI Рисунок С.3 Классификация устройств Рисунок С.4 Диаграмма состояний устройства при самоконтроле Рисунок С.5 Диаграмма состояний конфигурации Рисунок D.1 Приборный протокол магистрали VXI Рисунок D.2 Структурная схема интерфейса управления обменом сообщениями Рисунок l.1 Распределение регистров Регистровых устройств Рисунок l.2 Распределение регистров для устройств Памяти Рисунок l.3 Распределение регистров для устройств на Основе Сообщений Рисунок l.4 Распределение регистров для Расширенных устройств Рисунок l.5 Назначение полей регистров конфигурирования Рисунок l.6 Назначение полей регистра MODID в Регистровых устройствах Гнезда 0 Рисунок l.7 Назначение полей регистра Атрибутов в устройствах Памяти Рисунок l.8 Назначение полей регистра подкласса в расширенных устройствах Рисунок l.9 Назначение полей коммуникационных регистров Рисунок II.1 Типичные логические схемы Рисунок II 2 Площадь контура при наличии вырезав плоскости заземления Рисунок II.3 Вырезы в объединительной плате для соединителей Перечень таблиц Таблица В.1 Распределение сигналов по контактам соединителя Р2 для Гнезд 1 - 12 Таблица В.2 Распределение сигналов по контактам соединителя Р2 для Гнезда 0 Таблица В.3 Виды сигналов локальной шины Таблица В.4 Распределение сигналов по контактам соединителя РЗ для Гнезд 1 - 12 Таблица В.5 Распределение сигналов по контактам соединителя РЗ для Гнезда 0 Таблица В.6 Уровни сигналов ЭСЛ объединительной платы Таблица В.7 Требования к напряжениям источника питания Таблица С.1 Функциональные возможности исполнителей Таблица С.2 Действие устройств на Основе Сообщений по Завершению Работы и Очистке Таблица Е.1 Общие обязательные команды Таблица Е.2 Требования к асинхронным командам |
| Разработан: | Нижегородский научно-исследовательский приборостроительный институт Кварц |
| Утверждён: | 04.04.2002 Госстандарт России (Russian Federation Gosstandart 132-ст) |
| Издан: | ИПК Издательство стандартов (2002 г. ) |






















































































































































































