Скачать ТЕР 2001-01 Новосибирской области Земляные работы. Территориальные единичные расценки на строительные работы. Новосибирская областьДата актуализации: 01.01.2021
|
| Обозначение: | ТЕР 2001-01 Новосибирской области |
| Обозначение англ: | TER 2001-01 Новосибирской области |
| Статус: | действует |
| Название рус.: | Земляные работы. Территориальные единичные расценки на строительные работы. Новосибирская область |
| Название англ.: | Earthwork |
| Дата добавления в базу: | 01.09.2013 |
| Дата актуализации: | 01.01.2021 |
| Дата введения: | 28.07.2003 |
| Область применения: | В сборнике содержатся единичные расценки (далее расценки) на разработку и перемещение грунтов и на сопутствующие работы в промышленном, жилищно-гражданском, транспортном и водохозяйственном строительстве, при сооружении линий электропередач и связи, магистральных трубопроводов и др. |
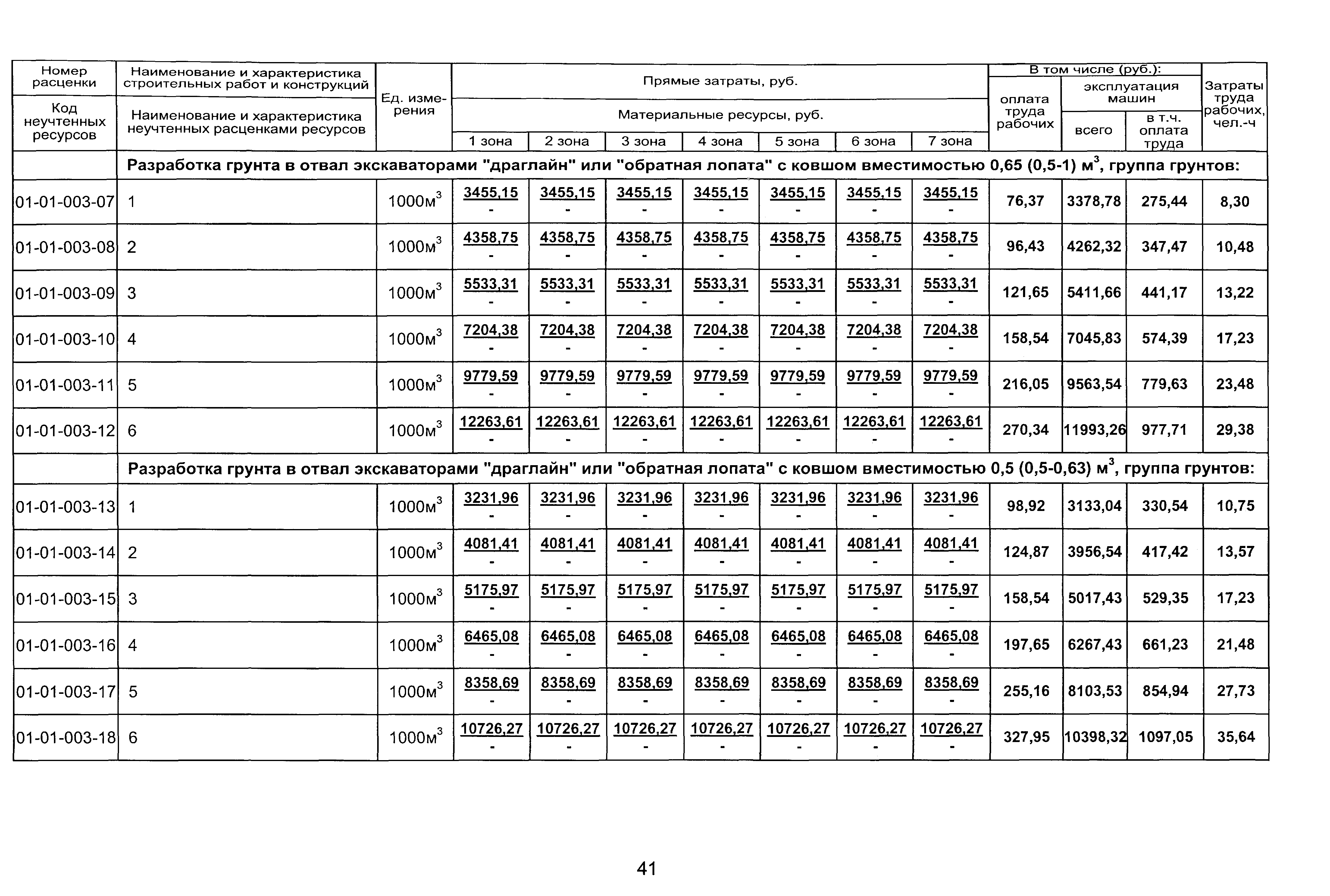
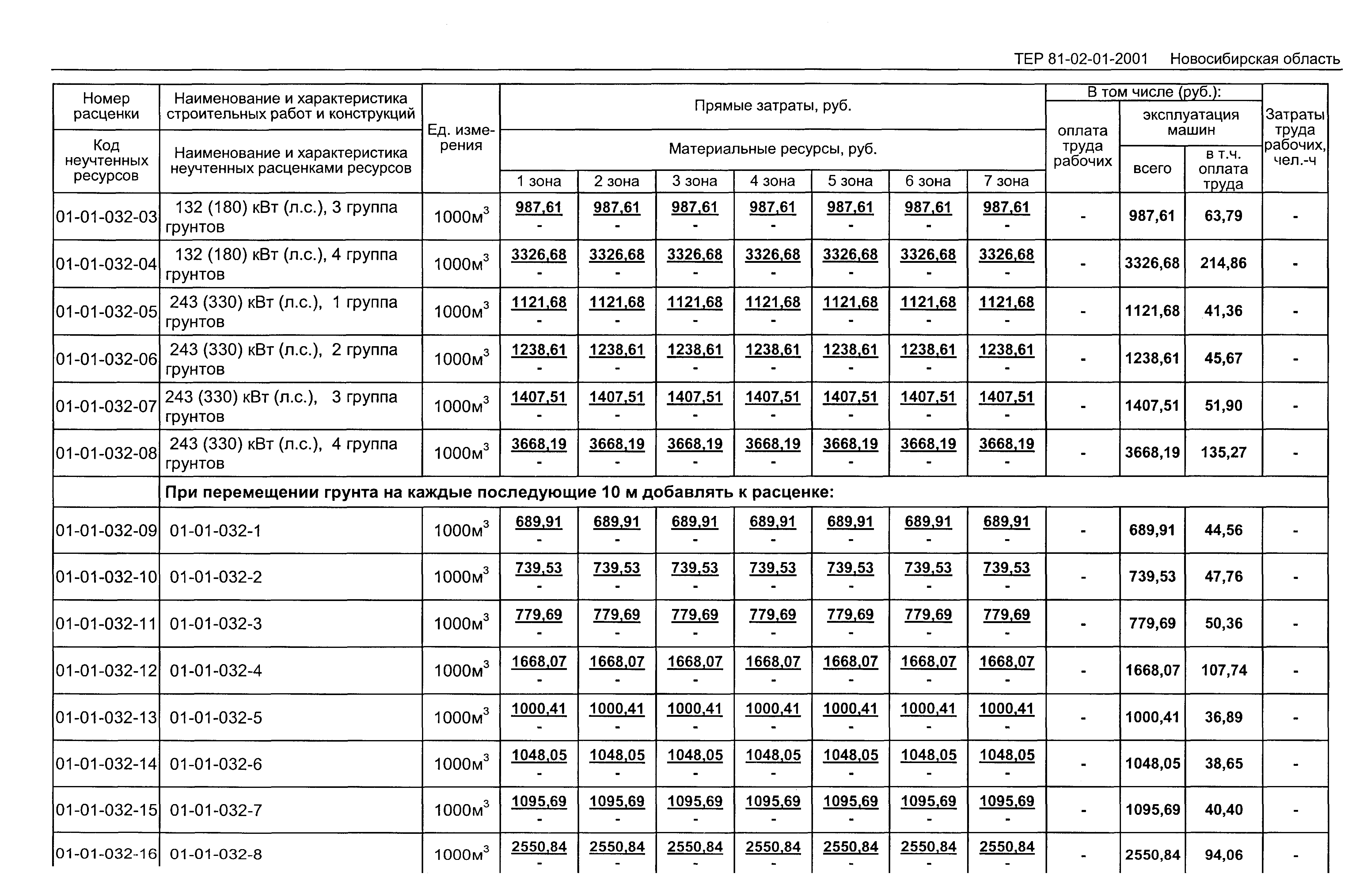
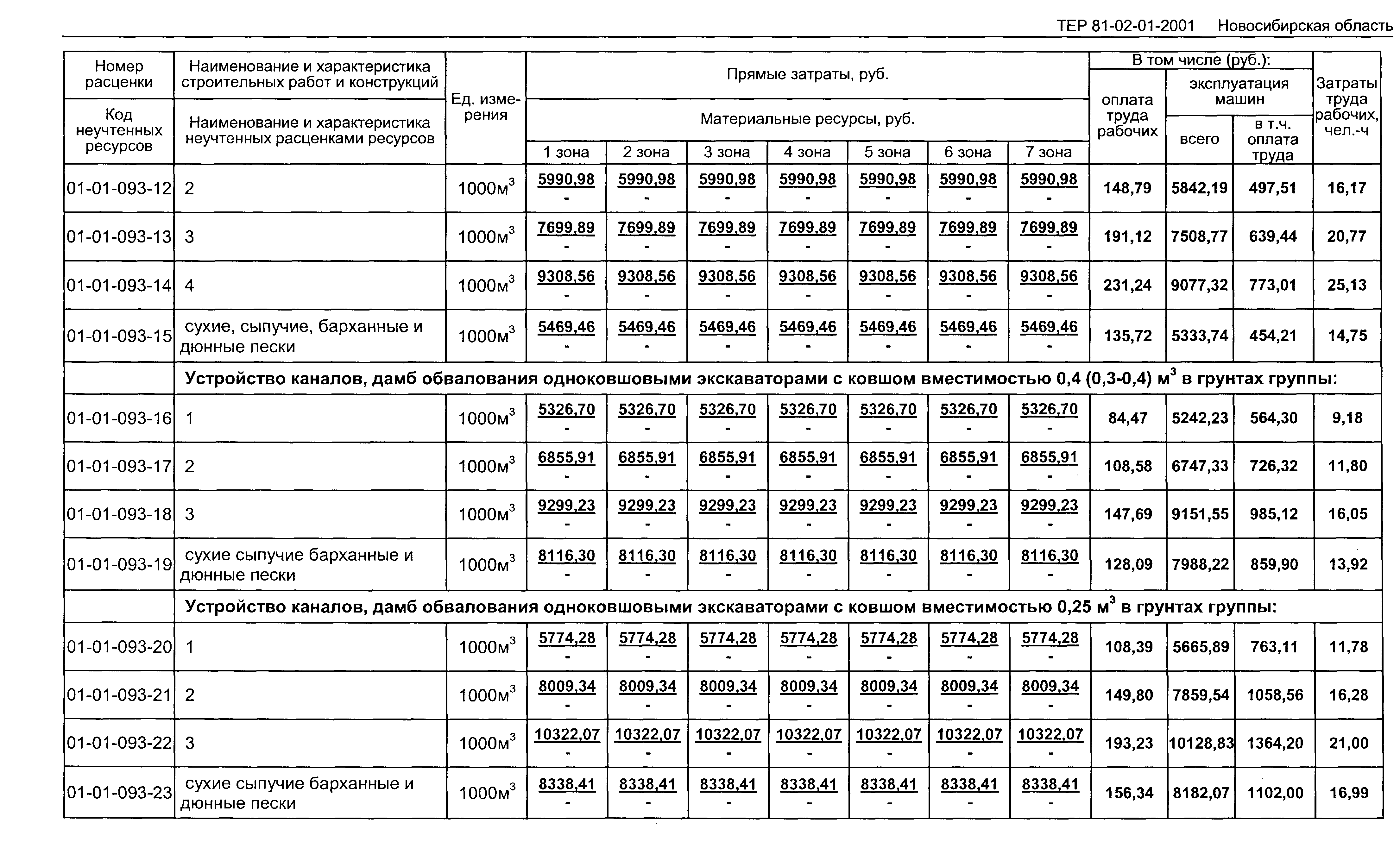
| Оглавление: | Техническая часть Раздел 01 Механизированная разработка грунтов (экскаваторами, скреперами, бульдозерами, грейдерами, методом гидромеханизации и пр.) 1 Разработка грунта экскаваторами в отвал 2 Разработка грунта экскаваторами с погрузкой на автомобили-самосвалы 3 Разработка грунта скреперами 4 Разработка грунта бульдозерами 5 Разработка выемок и отсыпка насыпей для железных и автомобильных дорог 6 Рытье и засыпка траншей для магистральных и промысловых трубопроводов газонефтепродуктов 7 Разработка грунтов и устройство дренажей в водохозяйственном строительстве 8 Разработка грунта методом гидромеханизации Раздел 02 Другие виды земляных работ, подготовленные, сопутствующие и укрепительные работы 1 Уплотнение грунта 2 Насыпи на болотах 3 Сопутствующие работы 4 Укрепление откосов земляных сооружений 5 Разработка грунта вручную 6 Разработка вечномерзлых и скальных грунтов 7 Подготовительные работы, связанные с валкой леса и расчисткой площадей и трасс 8 Водопонижение Приложение 1 Таблицы замены ресурсов Приложение 2 Часовые тарифные ставки Приложение 3 Сметные цены эксплуатации строительных машин Приложение 4 Сметные цены на материалы, изделия и конструкции по зонам Новосибирской области |
| Разработан: | Департамент строительства, архитектуры и дорожного комплекса Администрации Новосибирской области |
| Утверждён: | 28.07.2003 Департамент строительства, архитектуры и дорожного комплекса Администрации Новосибирской области (7-ОВ) |
| Издан: | Администрация Новосибирской области (2003 г. ) |
| Нормативные ссылки: |




































































































































































































































