Скачать ТЕР 2001-08 Новосибирской области Конструкции из кирпича и блоков. Территориальные единичные расценки на строительные работы. Новосибирская областьДата актуализации: 01.01.2021
|
| Обозначение: | ТЕР 2001-08 Новосибирской области |
| Обозначение англ: | TER 2001-08 Новосибирской области |
| Статус: | действует |
| Название рус.: | Конструкции из кирпича и блоков. Территориальные единичные расценки на строительные работы. Новосибирская область |
| Название англ.: | Brick and Block Structures |
| Дата добавления в базу: | 01.09.2013 |
| Дата актуализации: | 01.01.2021 |
| Дата введения: | 28.07.2003 |
| Область применения: | Территориальные единичные расценки предназначены для определения прямых затрат и сметной стоимости при выполнении работ по возведению конструкций из кирпича и блоков. |
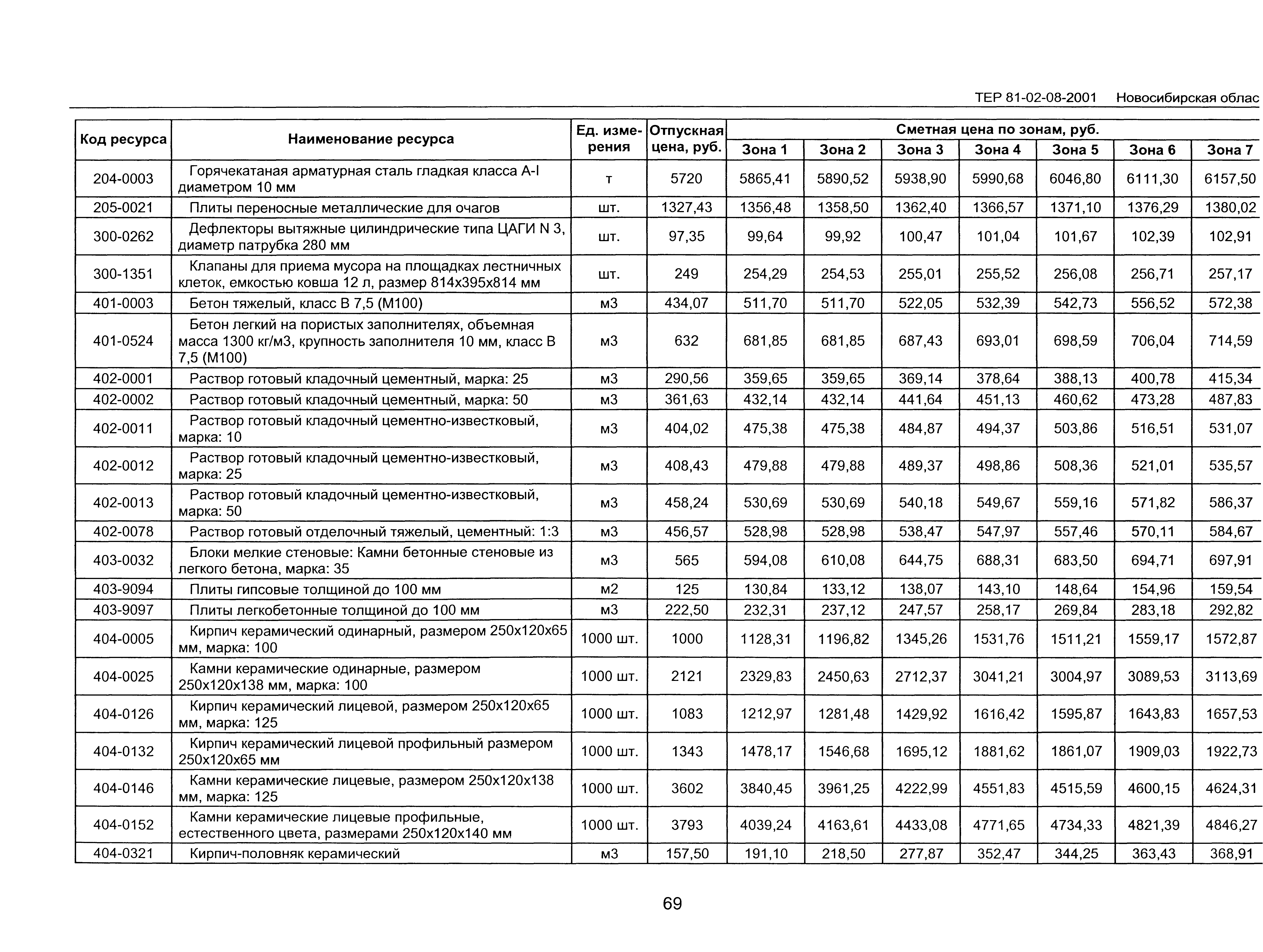
| Оглавление: | Техническая часть Раздел 01 Конструкции из бутовог окамня, гидроизоляция и основания под фундаменты Раздел 02 Конструкции из кирпича и камней Раздел 03 Конструкции из легких блоков и камней Раздел 04 Перегородки Раздел 05 Плиты подоконные, крыльца Раздел 06 Мусоропроводы Раздел 07 Наружные и внутренние леса Раздел 08 Печи отопительные и очаги Приложение 1 Таблица замены ресурсов Приложение 2 Часовые тарифные ставки Приложение 3 Сметные цены эксплуатации строительных машин Приложение 4 Сметные цены на материалы, изделия и конструкции по зонам Новосибирской области |
| Разработан: | Департамент строительства, архитектуры и дорожного комплекса Администрации Новосибирской области |
| Утверждён: | 28.07.2003 Департамент строительства, архитектуры и дорожного комплекса Администрации Новосибирской области (7-ОВ) |
| Издан: | Администрация Новосибирской области (2003 г. ) |
| Нормативные ссылки: |



































































