Скачать СО 153-34.02.304-2003 Методические указания по расчету выбросов оксидов азота с дымовыми газами котлов тепловых электростанцийДата актуализации: 01.01.2021
|
| Обозначение: | СО 153-34.02.304-2003 |
| Обозначение англ: | SO 153-34.02.304-2003 |
| Статус: | действует |
| Название рус.: | Методические указания по расчету выбросов оксидов азота с дымовыми газами котлов тепловых электростанций |
| Дата добавления в базу: | 01.09.2013 |
| Дата актуализации: | 01.01.2021 |
| Дата введения: | 01.07.2003 |
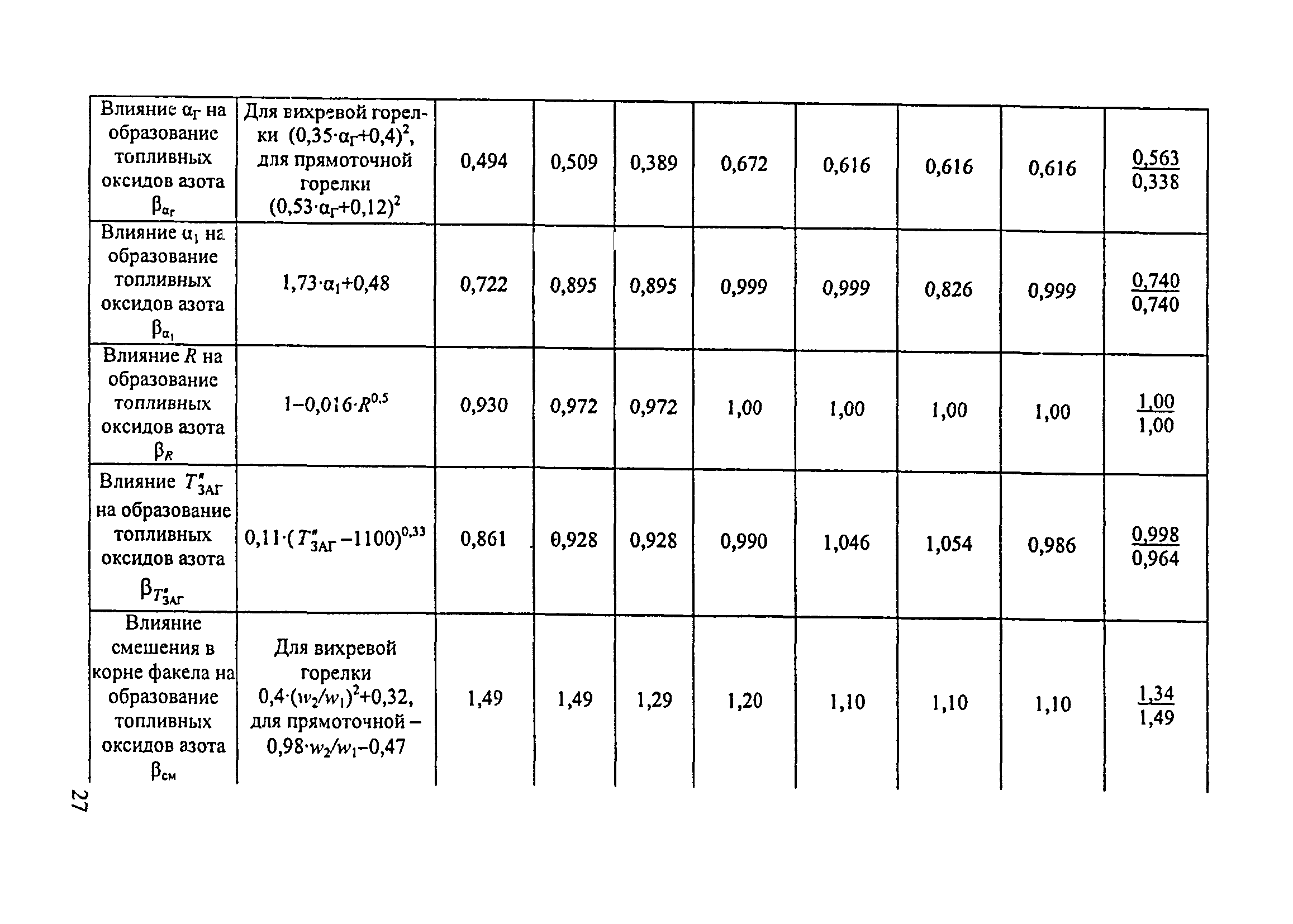
| Область применения: | Методические указания используются для расчета выбросов оксидов азота при проектировании новых и реконструкции действующих котлов паропроизводительностью от 75 т/ч и водогрейных котлов мощностью от 58 (50 Гкал/ч) и выше, сжигающих твердое, жидкое и газообразное топливо в факельных горелочных устройствах. Методические указания могут также применяться в научно-исследовательских целях. |
| Оглавление: | 1 Общие положения 2 Единицы измерения газообразных выбросов 3 Расчет удельных выбросов оксидов азота для пылеугольных котлов 4 Расчет концентрации оксидов азота при сжигании газа и мазута 5 Расчет удельных выбросов и концентраций оксидов азота при совместном сжигании угля с мазутом и газом Приложение 1. Примеры расчета удельных выбросов и концентраций оксидов азота для пылеугольных котлов Приложение 2. Расчет концентрации оксидов азота в дымовых газах котла ТГМП-204ХЛ при сжигании природного газа |
| Разработан: | ОАО ВТИ ГОУВПО МЭИ (ТУ) |
| Утверждён: | 30.06.2003 Минэнерго России (Russian Federation Minenergo 286) |
| Издан: | ОАО ВТИ (2005 г. ) |
| Заменяет собой: |
|
| Нормативные ссылки: |











































