Скачать ТЕР 2001-12 Реставрация и воссоздание архитектурно-лепного декораДата актуализации: 01.01.2021
|
| Обозначение: | ТЕР 2001-12 |
| Обозначение англ: | TER 2001-12 |
| Статус: | действует |
| Название рус.: | Реставрация и воссоздание архитектурно-лепного декора |
| Дата добавления в базу: | 01.09.2013 |
| Дата актуализации: | 01.01.2021 |
| Дата введения: | 01.01.2004 |
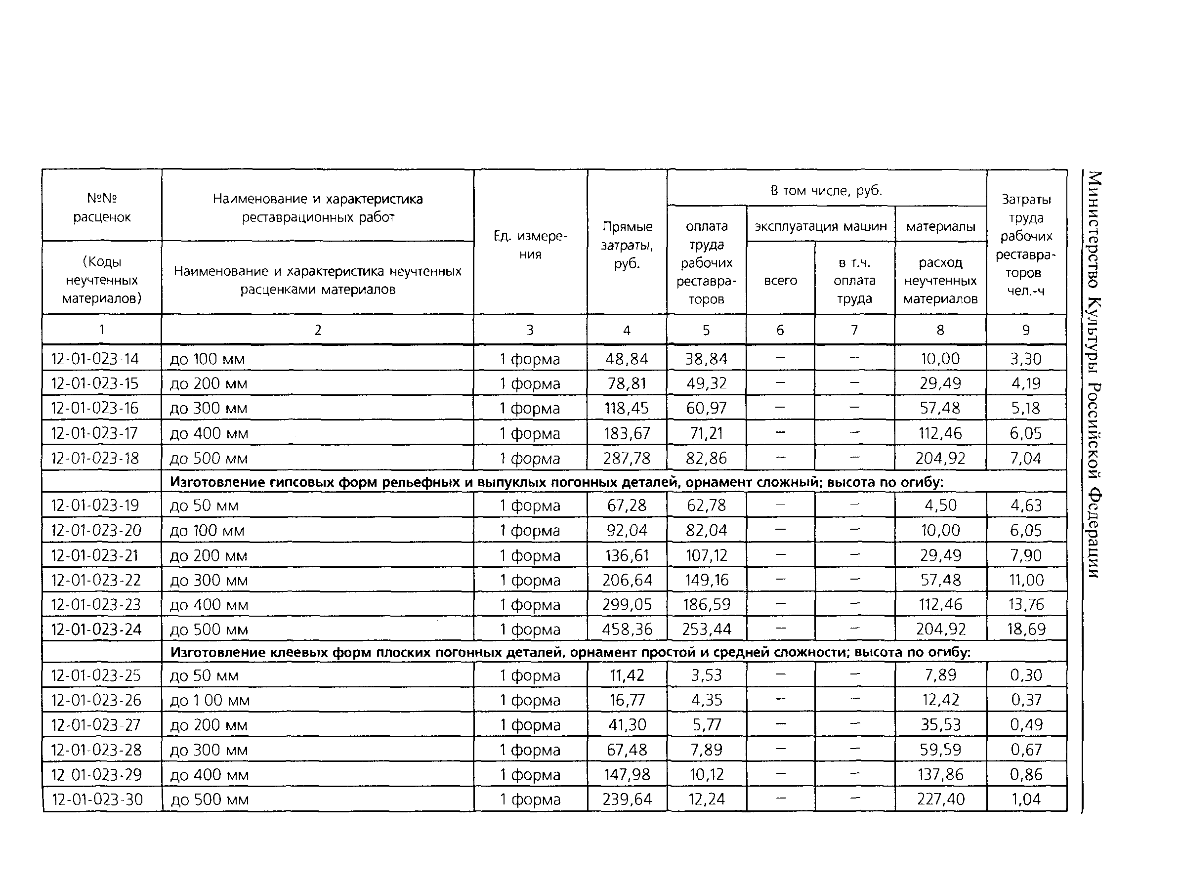
| Оглавление: | Введение. Техническая часть. Указания по учету возврата материалов, полученных от разборки при реставрации памятников культуры.. Техническая часть. I. Реставрация лепного декора. II. Воссоздание лепного декора Сметные цены на материальные ресурсы.. |
| Разработан: | НИИ Спецпроектреставрация |
| Утверждён: | 01.07.2003 Министерство культуры Российской Федерации (Russian Federation Ministry of Culture 930) |
| Издан: | ООО Береста (2003 г. ) |
| Нормативные ссылки: |































































