Скачать ГОСТ 30527-97 Станки металлорежущие. Методы проверки точности обработки образца-изделия

Дата актуализации: 01.01.2021

ГОСТ 30527-97

Станки металлорежущие. Методы проверки точности обработки образца-изделия

Обозначение: ГОСТ 30527-97
Обозначение англ: GOST 30527-97
Статус:введен впервые
Название рус.:Станки металлорежущие. Методы проверки точности обработки образца-изделия
Название англ.:Metal-cutting machines. Checking methods of product specimen working accuracy
Дата добавления в базу:01.09.2013
Дата актуализации:01.01.2021
Дата введения:01.01.2002
Область применения:Стандарт распространяется на концы шпинделей всех типов универсальных свелильных, расточных и резерных станков с коническими посадочными поверхностями.
Оглавление:1 Область применения
2 Нормативные ссылки
3 Определения
4 Общие положения
5 Методы проверки точности образца-изделия
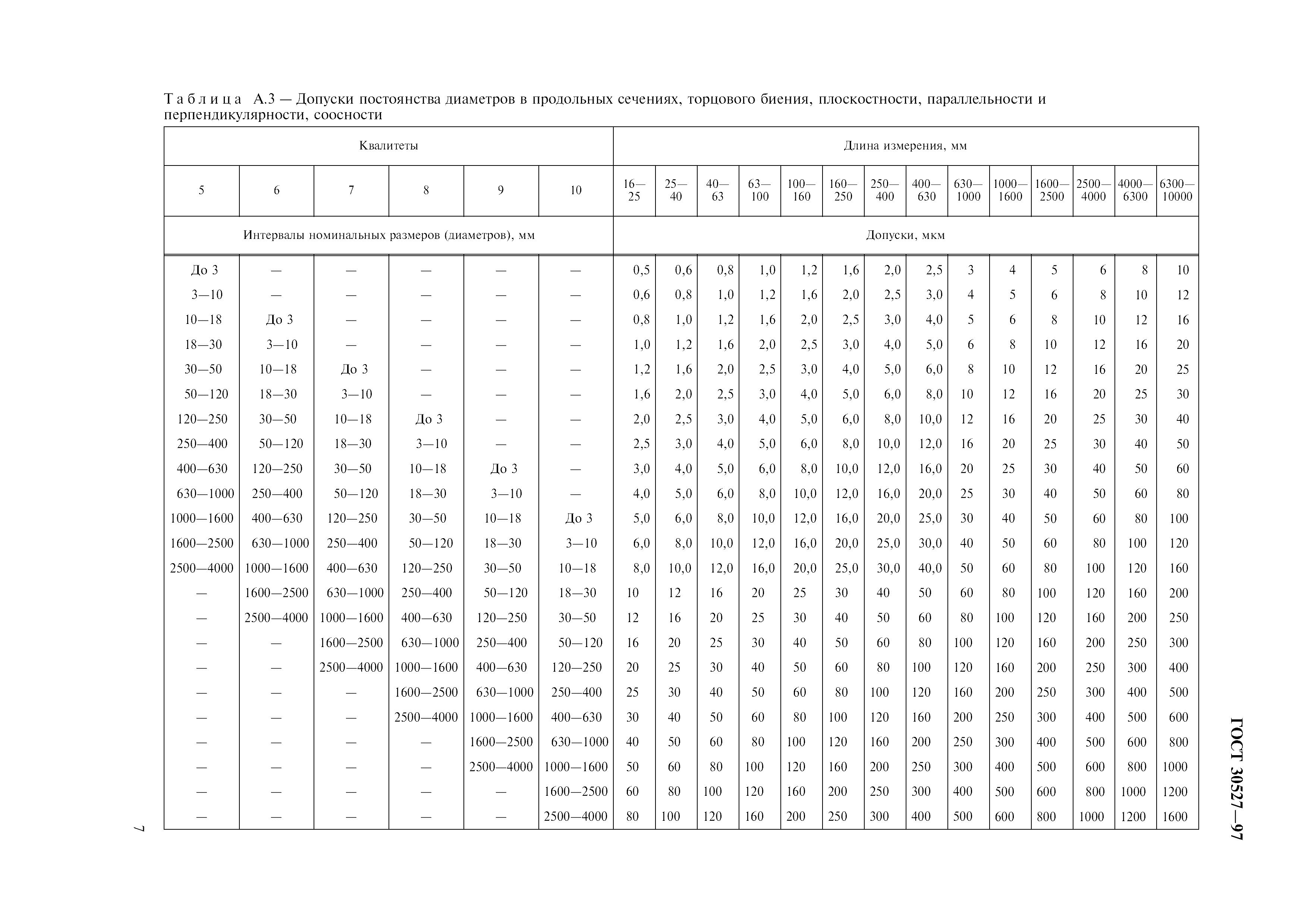
Приложение А (рекомендуемое) Таблицы для нормирования требований к точности образцов-изделий
Разработан: Госстандарт России
Утверждён:22.01.2001 Государственный комитет Российской Федерации по стандартизации и метрологии (Russian Federation National Committee for Standardization and Metrology 29-ст)
Издан: Издательство стандартов (1994 г. )
ИПК Издательство стандартов (2001 г. )
Нормативные ссылки:
ГОСТ 30527-97ГОСТ 30527-97ГОСТ 30527-97ГОСТ 30527-97ГОСТ 30527-97ГОСТ 30527-97ГОСТ 30527-97ГОСТ 30527-97ГОСТ 30527-97ГОСТ 30527-97ГОСТ 30527-97