Скачать ТЕР 2001-03 Реставрация и воссоздание кирпичных кладокДата актуализации: 01.01.2021
|
| Обозначение: | ТЕР 2001-03 |
| Обозначение англ: | TER 2001-03 |
| Статус: | действует |
| Название рус.: | Реставрация и воссоздание кирпичных кладок |
| Дата добавления в базу: | 01.09.2013 |
| Дата актуализации: | 01.01.2021 |
| Дата введения: | 01.01.2004 |
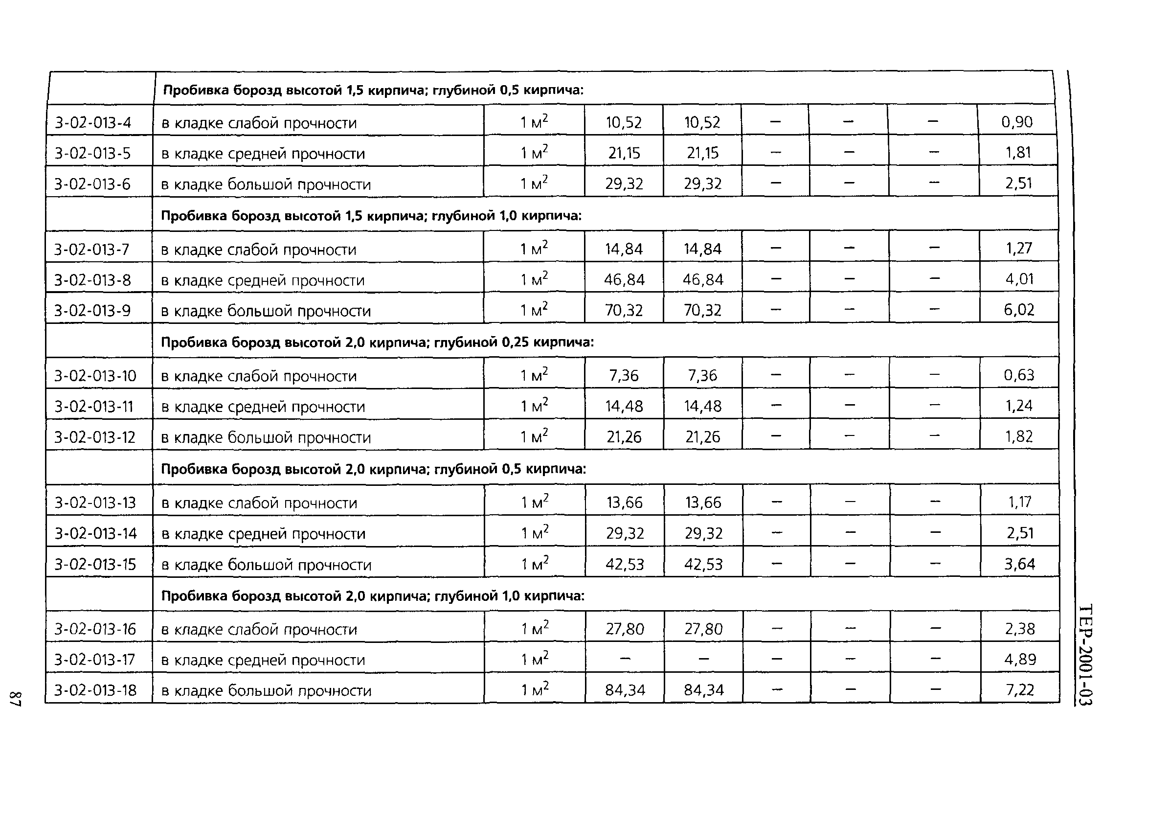
| Оглавление: | Общие указания по применению территориальных единичных расценок на ремонтно-реставрационные работы по объектам культурного наследия тер-2001 Указания по учету возврата материалов, полученных от разборки при реставрации памятников культуры Техническая часть Раздел 1. Разборка кирпичной кладки 1. Разборка первоначальной кирпичной кладки или поздних пристроек и заделки в памятниках непосредственно сопрягающихся с древней кладкой или содержащих в кладке материалы от разборки других частей памятника Раздел 2. Реставрация и воссоздание кирпичных кладок 1. Реставрация лицевой поверхности кирпичной кладки (кроме архитектурных деталей) 2. Реставрация кирпичных архитектурных деталей карнизов, поясков, наличников и прочих деталей от 1 до 10 кирпичей в одном месте 3. Реставрация кирпичной кладки 4. Борозды 5. Укрепление кирпичной кладки Раздел 3. Реставрация поверхностей кирпичной кладки Эксплуатация строительных машин Сметные цены на материальные ресурсы |
| Разработан: | НИИ Спецпроектреставрация |
| Утверждён: | 01.07.2003 Министерство культуры Российской Федерации (Russian Federation Ministry of Culture 930) |
| Издан: | ООО Береста (2003 г. ) |
| Нормативные ссылки: |















































