Скачать ТЕР 2001-13 Белгородской области Защита строительных конструкций и оборудования от коррозии. Территориальные единичные расценки для определения стоимости строительства в Белгородской области (редакция 2003 года). Территориальные единичные расценки на строительные и специальные строительные работыДата актуализации: 01.01.2021
|
| Обозначение: | ТЕР 2001-13 Белгородской области |
| Обозначение англ: | TER 2001-13 Белгородской области |
| Статус: | действует |
| Название рус.: | Защита строительных конструкций и оборудования от коррозии. Территориальные единичные расценки для определения стоимости строительства в Белгородской области (редакция 2003 года). Территориальные единичные расценки на строительные и специальные строительные работы |
| Дата добавления в базу: | 01.09.2013 |
| Дата актуализации: | 01.01.2021 |
| Дата введения: | 01.08.2003 |
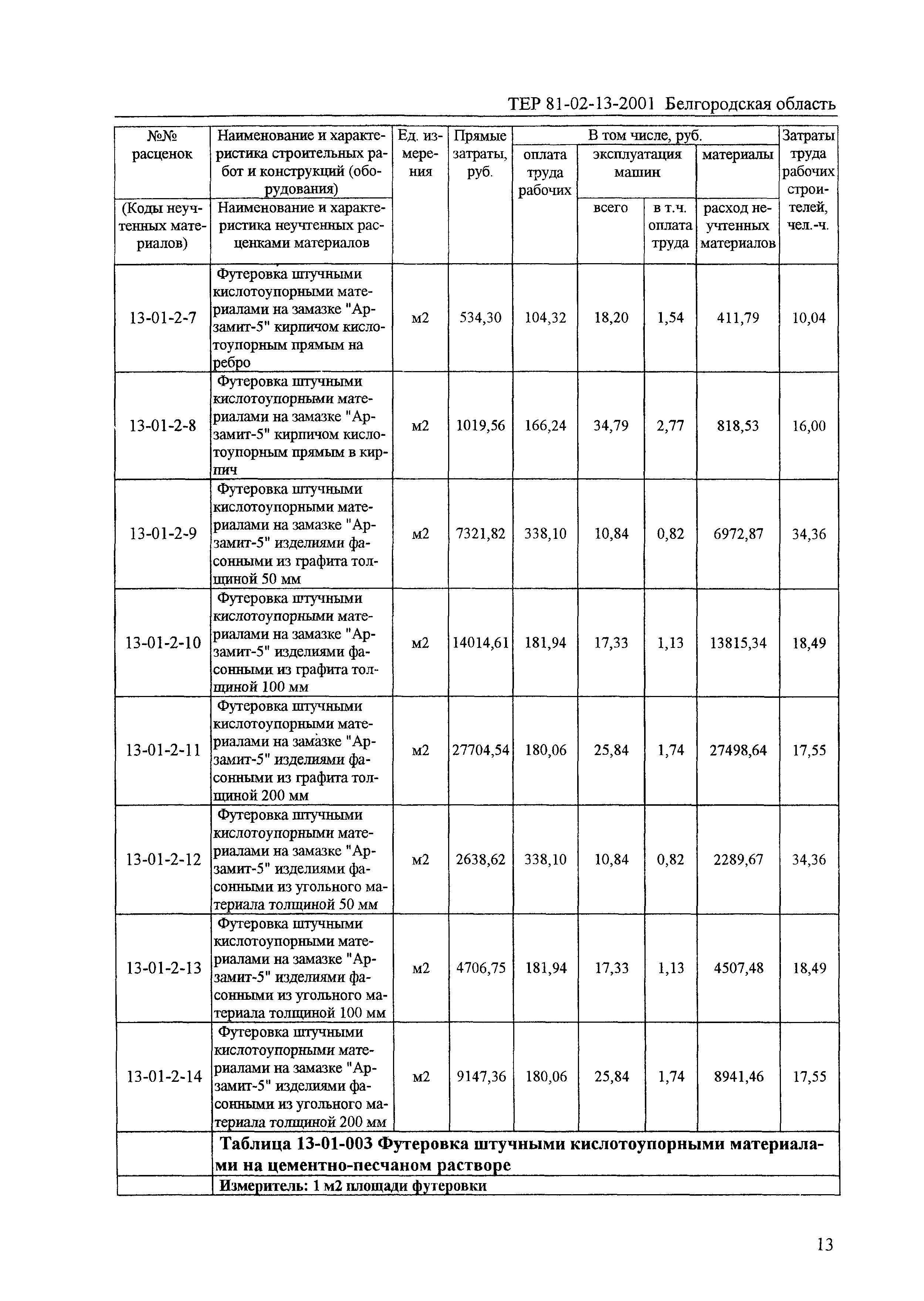
| Оглавление: | Техническая часть 1. Общие указания 2. Правила определения объемов работ 3. Коэффициенты к расценкам Раздел 01. Футеровочные работы Раздел 02. Кладка из кислотоупорного кирпича и фасонных кислотоупорных керамических изделий Раздел 03. Покрытие лакокрасочными материалами Раздел 04. Гуммирование (обкладка листовыми резинами и жидкими резиновыми смесями) Раздел 05. Оклеечные покрытия Раздел 06. Подготовительные работы Раздел 07. Обезжиривание поверхностей Раздел 08. Разные работы Раздел 09. Металлизационные покрытия Раздел 10. Нанесение лицевого покрытия при устройстве монолитного пола в помещениях с агрессивными средами Приложение Сборник сметных расценок на эксплуатацию строительных машин и сметных цен на материалы, изделия и конструкции Приложение Перечень конкретных кодов материальных ресурсов, примененных в расценках взамен общих кодов ГЭСН-2001 |
| Разработан: | Департамент строительства и транспорта правительства администрации Белгородской области |
| Утверждён: | 21.06.2003 Администрация Белгородской области (17) |
| Издан: | Администрация Белгородской области (2003 г. ) |
| Заменяет собой: |
|










































