Скачать ТЕР 2001-27 Белгородской области Автомобильные дороги. Территориальные единичные расценки для определения стоимости строительства в Белгородской области (редакция 2003 года). Территориальные единичные расценки на строительные и специальные строительные работыДата актуализации: 01.01.2021
|
| Обозначение: | ТЕР 2001-27 Белгородской области |
| Обозначение англ: | TER 2001-27 Белгородской области |
| Статус: | действует |
| Название рус.: | Автомобильные дороги. Территориальные единичные расценки для определения стоимости строительства в Белгородской области (редакция 2003 года). Территориальные единичные расценки на строительные и специальные строительные работы |
| Дата добавления в базу: | 01.09.2013 |
| Дата актуализации: | 01.01.2021 |
| Дата введения: | 01.08.2003 |
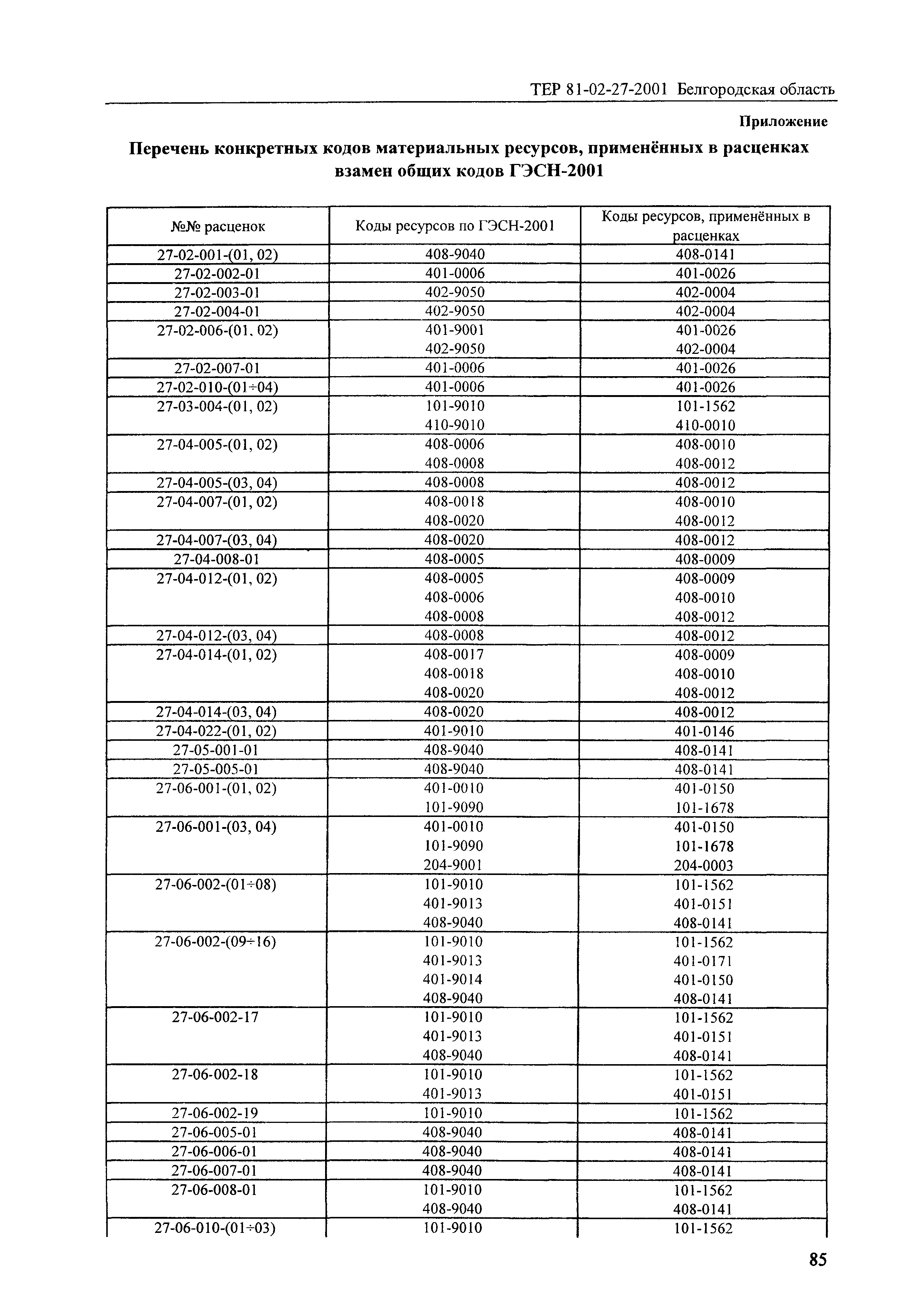
| Оглавление: | Техническая часть 1. Общие указания 2. Правила исчисления объемов работ 3. Коэффициенты к расценкам Раздел 01. Основания и покрытия из грунтов, укрепляемых вяжущими материалами 1. Основания и покрытия из грунтов, укрепляемых органическими вяжущими материалами 2. Основания и покрытия из грунтов, укрепляемых неорганическими вяжущими материалами Раздел 02. Дренажные и водосборные устройства Раздел 03. Подготовка существующих оснований и покрытий под черные щебеночные (гравийные) и асфальтобетонные покрытия (при реконструкции) 1. Исправление профиля оснований 2. Разборка существующих сооружений Раздел 04. Подстилающие, выравнивающие слои основания и покрытия 1. Подстилающие и выравнивающие слои основания 2. Основания и покрытия из гравийных, песчано-гравийных и щебеночно-песчаных смесей 3. Основания и покрытия из щебеночных материалов 4. Основания и покрытия, устраиваемые на крутых склонах Раздел 05. Устройство мостовых и подзоров 1. Устройство мостовых 2. Мощеные подзоры и отмостки Раздел 06. Устройство оснований и покрытий 1. Жесткие дорожные одежды 2. Нежесткие дорожные дорожные одежды Раздел 07. Дорожки и тротуары Раздел 08. Укрепительные полосы у краев дорожных покрытий и укрепление обочин Раздел 09. Обустройство дорог 1. Защитные ограждения дорог 2. Дорожные знаки Раздел 10. Приготовление материалов Раздел 11. Дороги, колесопроводы, эстакады, слани и разъезды на болотах Раздел 12. Устройство временных дорог 1. Устройство временных грунтовых и лежневых дорог 2. Дороги колейные из сборных железобетонных плит Приложение Сборник сметных расценок на эксплуатацию строительных машин и сметных цен на материалы, изделия и конструкции Приложение Перечень конкретных кодов материальных ресурсов, примененных в расценках взамен общих кодов ГЭСН-2001 |
| Разработан: | Департамент строительства и транспорта правительства администрации Белгородской области |
| Утверждён: | 21.06.2003 Администрация Белгородской области (17) |
| Издан: | Администрация Белгородской области (2003 г. ) |
| Заменяет собой: |
|
























































































