Скачать СО 34.35.667-94 Методические указания по техническому обслуживанию устройства автоматического повторного включения ПДЭ-2004.01Дата актуализации: 01.01.2021
|
| Обозначение: | СО 34.35.667-94 |
| Обозначение англ: | SO 34.35.667-94 |
| Статус: | действует |
| Название рус.: | Методические указания по техническому обслуживанию устройства автоматического повторного включения ПДЭ-2004.01 |
| Дата добавления в базу: | 01.01.2019 |
| Дата актуализации: | 01.01.2021 |
| Область применения: | Методические указания определяют объем, последовательность и периодичность технического обслуживания устройств ПДЭ-2004.01 и предназначены для персонала служб релейной защиты энергосистем и наладочных организаций, занимающихся наладкой и эксплуатацией этих устройств. Методические указания составлены на основании технического описания и инструкции по эксплуатации завода-изготовителя устройства ПДЭ-2004.01, а также обобщения опыта их наладки и эксплуатации в энергосистемах |
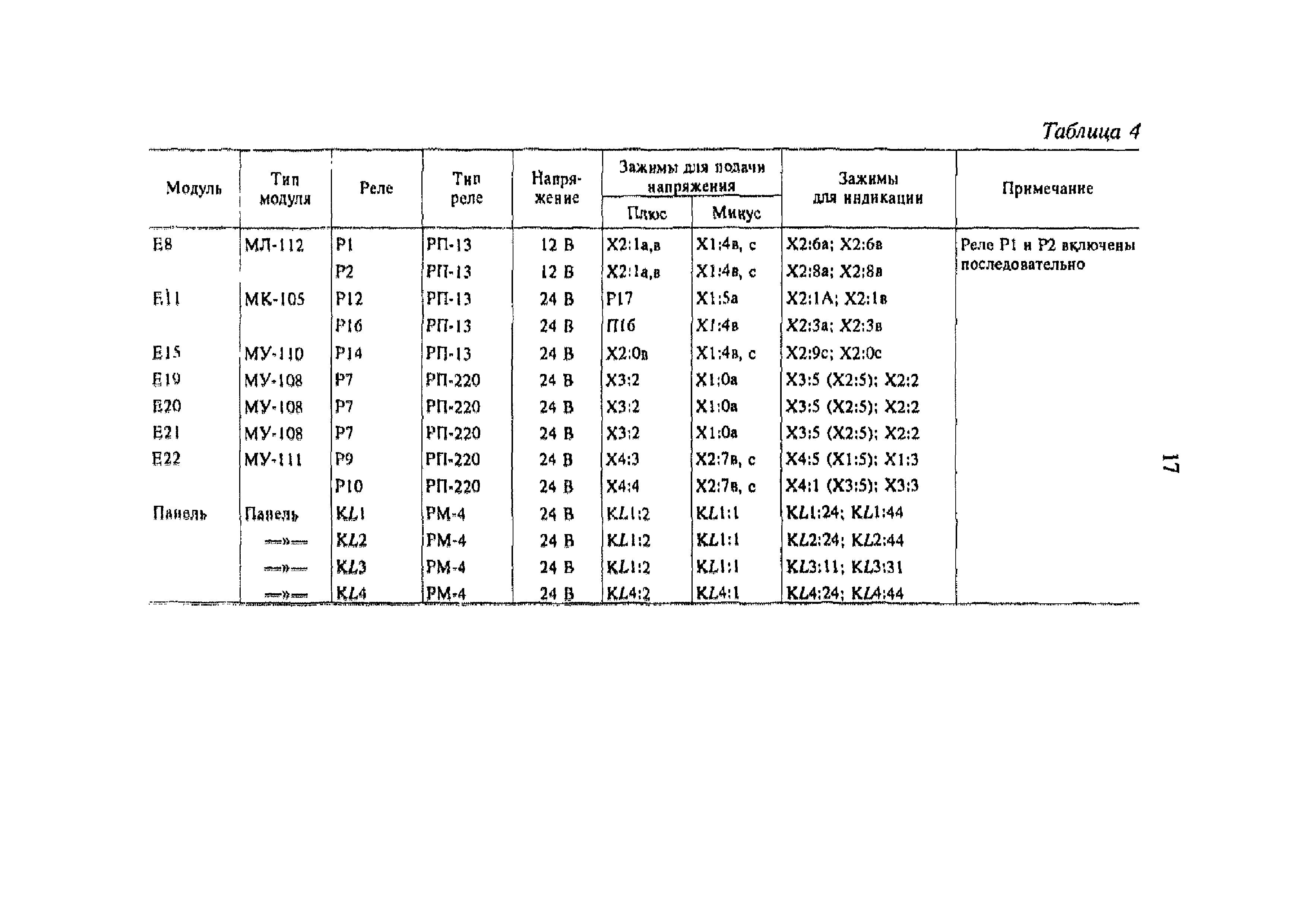
| Оглавление: | 1. Общая часть 2. Указания по технике безопасности 3. Проверка при новом включении 3.1. Подготовительные работы 3.2. Внешний осмотр панели 3.3. Проверка изоляции 3.3.1. Подготовительные работы 3.4. Проверка блока питания БП-180 и модуля питания МП-904 3.5. Предварительная тестовая проверка 3.6. Проверка промежуточных и указательных реле 3.7. Проверка фильтров высших гармонических составляющих 3.7.1. Проверка фильтра третьей гармонической составляющей во входных цепях тока модуля РТННП-БС (Е18, МР-116) 3.7.2. Проверка фильтра третьей и высшей гармонических составляющих в цепях входа по напряжению 3Uo модуля РТННП-БС (Е18, МР-116) 3.7.3. Проверка частотного фильтра модуля РТНП-БВ (Е23, МР-118) 3.7.4. Проверка фильтров первой гармонической составляющей модулей избирательных органов (Е1-Е6, МР-707 и МР-707) 3.8. Проверка реле напряжения модули Е13 и Е17 типа МК-104, модуль Е11 типа МК-105, модуль Е15 типа МУ-110, модуль Е24 типа МР-301 3.8.1. Проверка напряжений срабатывания и возврата реле фазного напряжения 13РН1, 15РН1 и 17РН1 3.8.2. Проверка напряжений срабатывания и возврата дополнительных реле фазного напряжения 11Р13, 11Р14, 11Р15 и реле напряжения нулевой последовательности 24РН 3.8.3. Проверка реле напряжения обратной последовательности 15РН2, 13РН2 и 17РН2 3.8.4. Проверка времени срабатывания и возврата реле напряжения на заданных уставках (табл. 9) 3.9. Проверка органов контроля синхронизма, модули Е13 и Е17 типа МК-104 3.9.1. Проверка схем согласования и усилителей-ограничителей 3.9.2. Настройка реле сдвига фаз (РСФ) 3.9.3. Проверка элементов задержки на возврат ВВ1 и ВВ2 3.9.4. Проверка элементов задержки на срабатывание ВС3-ВС5 3.10. Проверка комбинированного реле тока и напряжения нулевой последовательности с быстрым срабатыванием и торможением от фазных токов, модуль Е18 типа МР-116 3.10.1. Проверка напряжений в контрольных точках 3.10.2. Проверка РТННП-БС по входу 3Io без торможения 3.10.3. Проверка формирования фазных тормозных напряжений 3.10.4. Проверка цепи противоторможения 3.10.5. Проверка тормозной характеристики при имитации двухфазных КЗ 3.10.6. Проверка тормозной характеристики при имитации удаленных однофазных КЗ 3.10.7. Проверка срабатывания реле по входу 3Uo 3.10.8. Проверка временных параметров реле 3.11. Проверка реле тока нулевой последовательности с быстрым возвратом, модуль Е23 типа МР-118 3.11.1. Проверка тока срабатывания и возврата реле 3.11.2. Проверка времени срабатывания и возврата реле 3.12. Проверка пускового органа ИО модуль Е10 типа МР-113 3.12.1. Проверка срабатывания реле по току 3Io 3.12.2. Проверка времени срабатывания и возврата реле 3.12.3. Проверка схемы продления ("подхвата") коротких импульсов 3.13. Проверка фазных блокирующих токовых реле, модули Е1, Е3, Е5 типа МР-706 3.13.1. Проверка токов срабатывания и возврата реле 3.13.2. Проверка времени срабатывания и возврата реле 3.14. Проверка реле сопротивления ИО, модули Е1, Е3, Е5 типа МР-706, Е2, Е4, Е6 типа МР-707 и Е10 типа МР-113 3.14.1. Проверка трансреактора ТР (модули Е1 - Е6, МР-706, МР-707) 3.14.2. Проверка трансформаторов напряжения ТН1 и ТН2 3.14.3. Проверка угла максимальной чувствительности фи м.ч. 3.14.4. Снятие характеристик Zср = f (фи) при I = const 3.14.5. Проверка сопротивления срабатывания избирательных органов с учетом компенсации по току нулевой последовательности 3.14.6. Снятие характеристик Zср = f(I) при фи м.ч. 3.14.7. Проверка блокирования избирательных органов фазными токовыми реле 3.14.8. Проверка замедления срабатывания избирательных органов 3.14.9. Проверка РС в режиме реле направления мощности 3.14.10. Измерение времени срабатывания ИО при фи м.ч. 3.14.11. Опробование схемы тестовой проверки ИО 3.15. Измерение времени действия логической части панели 3.16. Проверка схем однократного срабатывания УТАПВ и ТАПВ, модули Е13 и Е17 типа МК-104 и Е15 типа МУ-110 3.16.1. Проверка схемы однократного срабатывания для разрешения пуска УТАПВ 3.16.2. Проверка схем однократного срабатывания для разрешения пуска ТАПВ выключателей 1Q и 2Q 3.17. Проверка действия цепей непрерывного контроля исправности устройства, модуль Е11 типа МК-105 3.18. Проверка действия цепей панели, связанных с внешней сигнализацией 3.19. Проверка цепей отключения и включения выключателей, модули Е19, Е20, Е21 типа МУ-108 и Е22 типа МУ-111 3.20. Проверка внешних связей панели 3.21. Тестовая проверка устройства 3.22. Проверка напряжений в контрольных точках (потенциальная диаграмма) 3.23. Проверка действия панели при срабатывании защит и опробование действия на выключатели 3.24. Проверка устройства рабочим током и напряжением линии 3.24.1. Снятие векторной диаграммы 3.24.2. Проверка навравленности избирательных органов 3.24.3. Проверка фильтров напряжения обратной последовательности модулей Е13, Е15, Е17 3.24.4. Проверка органов контроля синхронизма модулей Е13 и Е17 4. Указания по техническому обслуживанию 4.1. Виды технического обслуживания 4.2. Периодичность технического обслуживания 4.3. Объем работ по техническому обслуживанию 5. Обслуживание устройства АПВ оперативным персоналом 5.1. Порядок ввода устройства АПВ в работу 5.2. Порядок вывода устройства АПВ из работы 5.3. Действия оперативного персонала при появлении сигналов 5.4. Действия оперативного персонала при возникновении неисправности устройства АПВ 5.5. Обслуживание устройств сигнализации на панели АПВ Приложение 1. Бланк временной фиксации оперативным персоналом срабатывания устройств сигнализации ПДЭ-2004.01 Приложение 2. Справочное. Карта переключающих устройств панели ПДЭ-2004.01 Приложение 3. Обязательное. Протокол проверки при новом включении устройства АПВ ПДЭ 2004.01 Приложение 4. Справочное. Указания по ремонтным работам на печатных платах Приложение 5. Справочное. Средства измерений и инструмент для технического обслуживания устройства ПДЭ-2004.01 |
| Разработан: | ВНИИЭ ЛьвовОРГРЭС |
| Утверждён: | 01.01.1994 РАО ЕЭС России (UES of Russia RAO ) |
| Издан: | РАО ЕЭС России (1994 г. ) |
| Нормативные ссылки: |














































































































