Скачать ГОСТ 10543-63 Проволока стальная наплавочнаяДата актуализации: 01.01.2021
|
| Обозначение: | ГОСТ 10543-63 |
| Обозначение англ: | GOST 10543-63 |
| Статус: | заменен |
| Название рус.: | Проволока стальная наплавочная |
| Название англ.: | Surfacing steel wire |
| Дата добавления в базу: | 01.02.2020 |
| Дата актуализации: | 01.01.2021 |
| Дата введения: | 01.07.1964 |
| Дата окончания срока действия: | 01.01.1977 |
| Область применения: | Стандарт распространяется на стальную проволоку для механизированной электродуговой наплавки. Стандарт не распространяется на стальную проволоку, предназначенную для производства металлических электродов. |
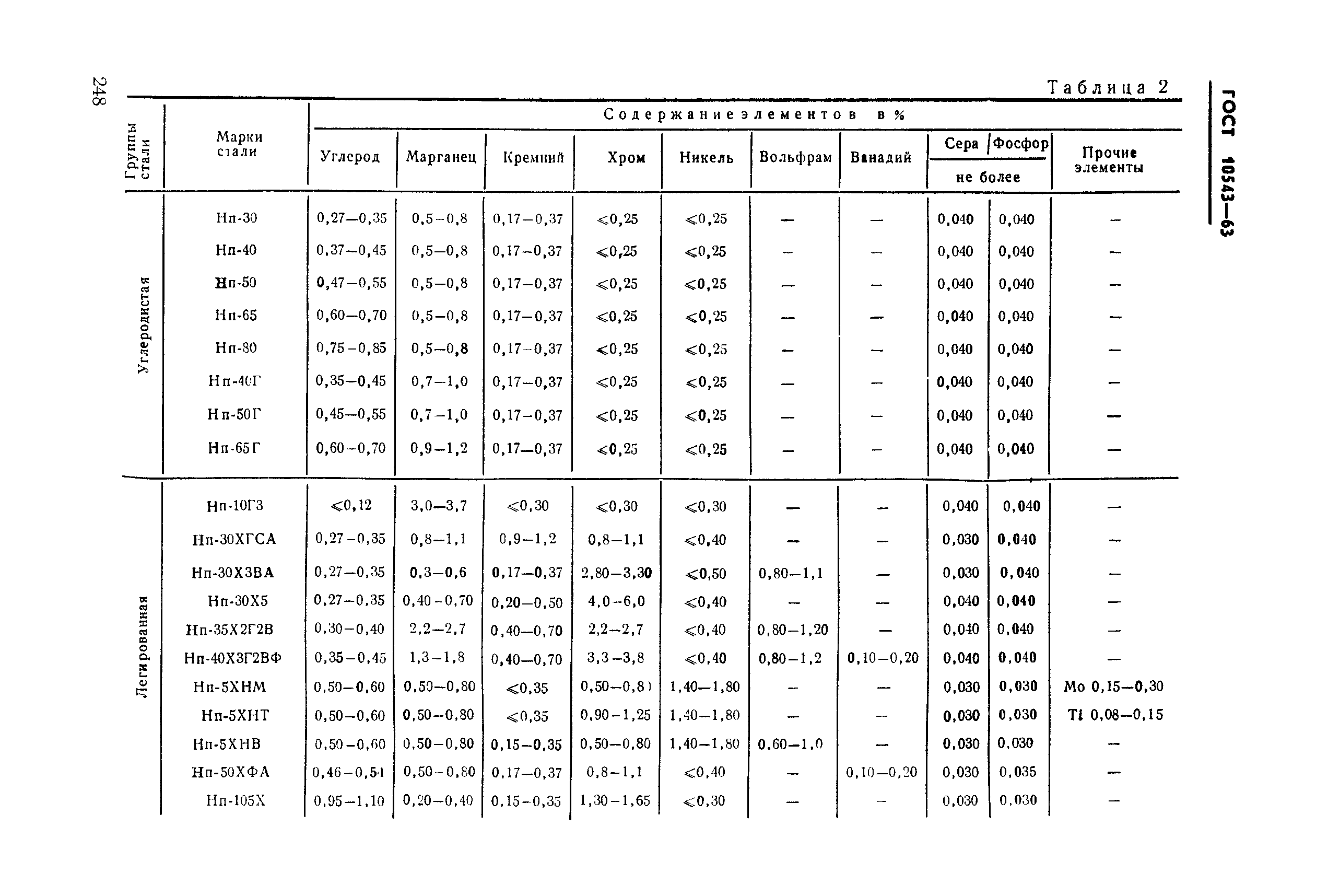
| Оглавление: | I. Размеры и технические требования II. Методы испытаний III. Упаковка, маркировка, хранение и транспортирование Приложение Таблица твердости и примерного назначения металла, наплавленного проволокой |
| Утверждён: | 25.06.1963 Государственный комитет стандартов, мер и измерительных приборов СССР |
| Издан: | Издательство стандартов (1973 г. ) |














