Скачать ГОСТ 7681-55 Канаты стальные. Канат (трос) многопрядный типа ЛК-О 18 x 7 = 126 проволок с органическим сердечником. Прядь 1+6

Дата актуализации: 01.01.2021

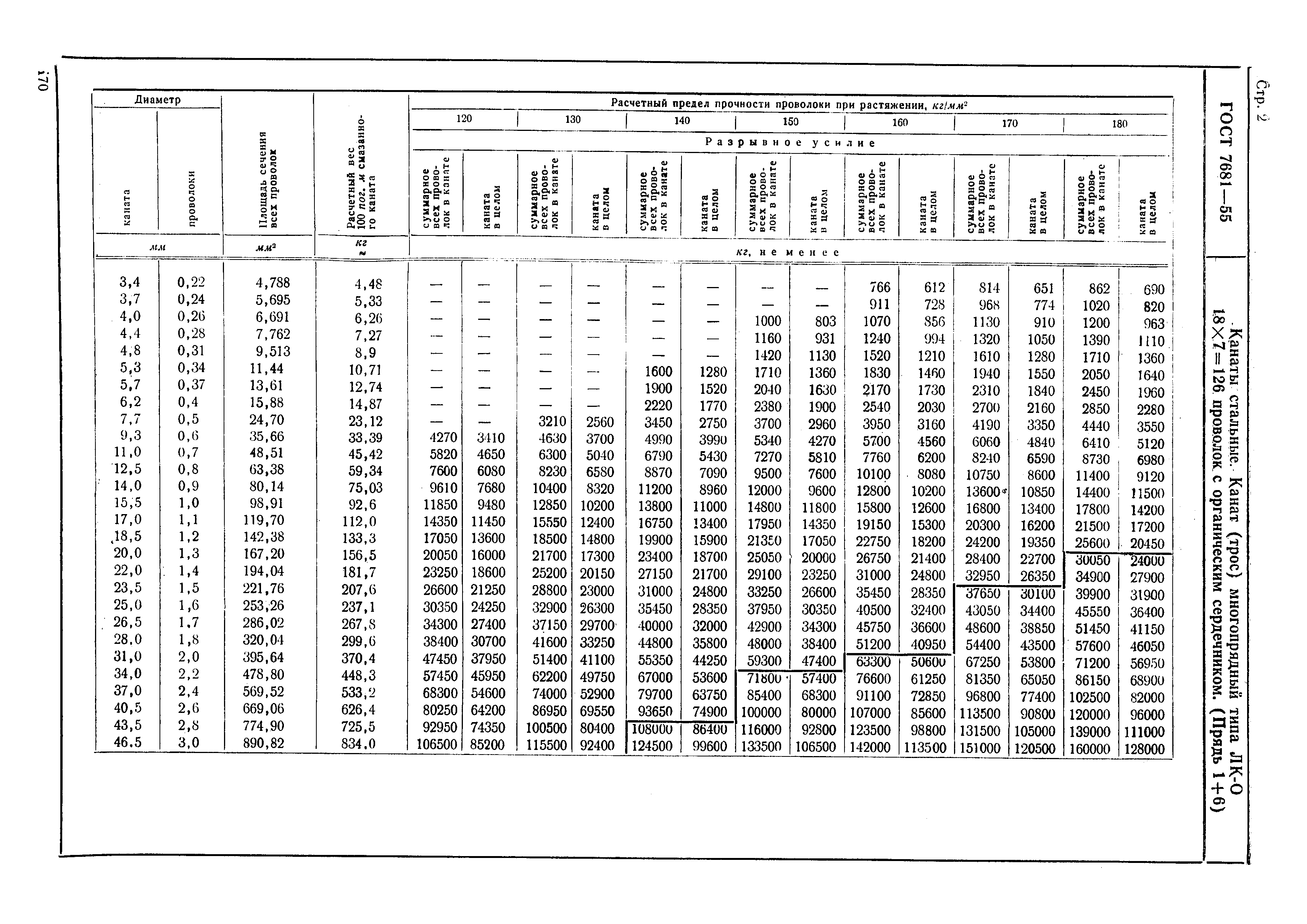
ГОСТ 7681-55

Канаты стальные. Канат (трос) многопрядный типа ЛК-О 18 x 7 = 126 проволок с органическим сердечником. Прядь 1+6

Обозначение: ГОСТ 7681-55
Обозначение англ: GOST 7681-55
Статус:действует
Название рус.:Канаты стальные. Канат (трос) многопрядный типа ЛК-О 18 x 7 = 126 проволок с органическим сердечником. Прядь 1+6
Дата добавления в базу:01.02.2017
Дата актуализации:01.01.2021
Дата введения:01.07.1956
Область применения:Стандарт распространяется на стальные канаты (тросы) многопрядные с линейным касанием проволок в прядях, типа ЛК-О, с одним органическим сердечником.
Разработан: Министерство черной металлургии СССР
Утверждён:10.10.1955 Комитет стандартов, мер и измерительных приборов при Совете Министров Союза ССР
Издан: Издательство стандартов (1956 г. )
Нормативные ссылки:
ГОСТ 7681-55ГОСТ 7681-55ГОСТ 7681-55ГОСТ 7681-55