Скачать ГОСТ 4082-69 Фланцы переходные для станочных приспособлений (заготовки). Конструкция и размеры

Дата актуализации: 01.01.2021

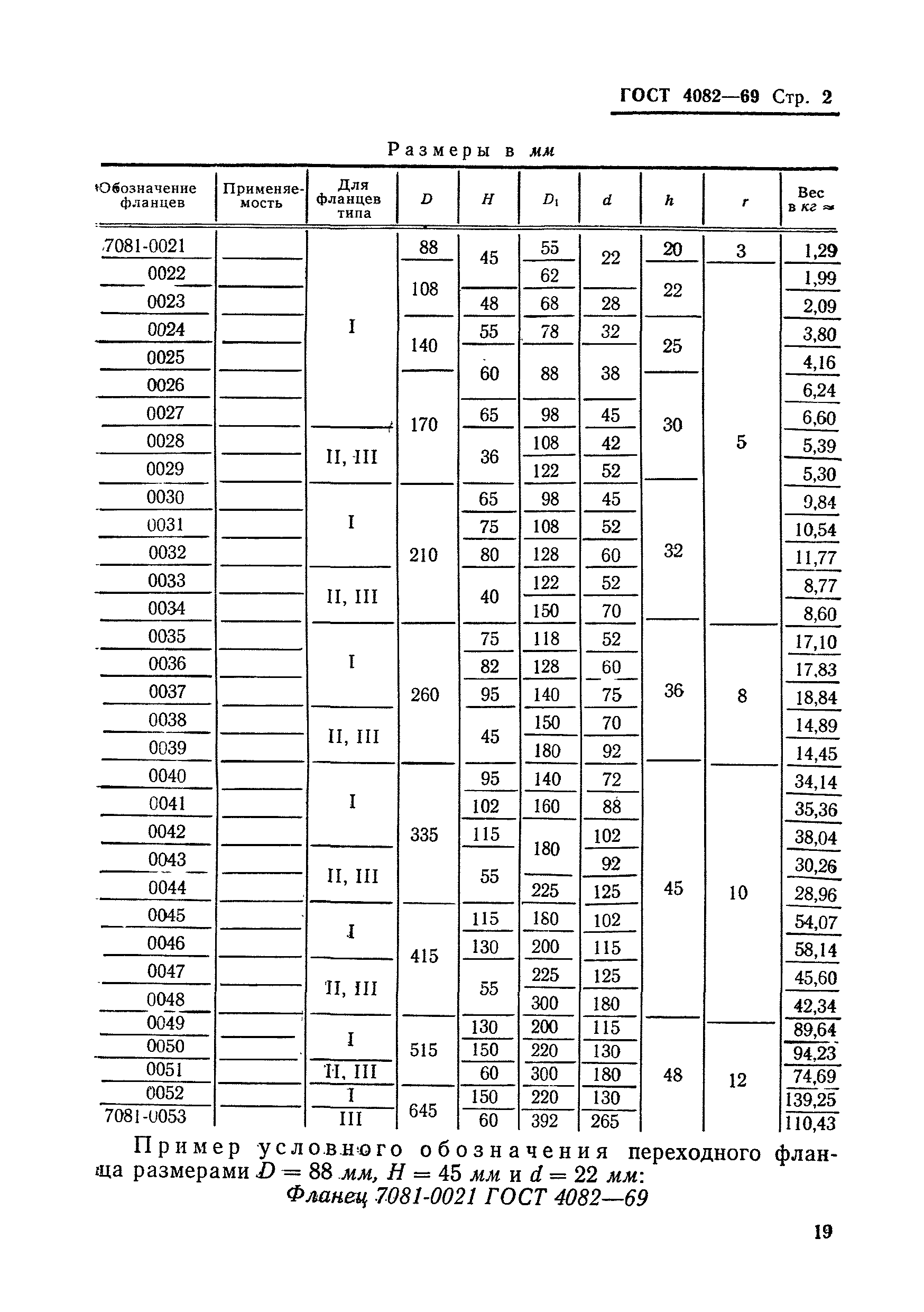
ГОСТ 4082-69

Фланцы переходные для станочных приспособлений (заготовки). Конструкция и размеры

Обозначение: ГОСТ 4082-69
Обозначение англ: GOST 4082-69
Статус:отменен
Название рус.:Фланцы переходные для станочных приспособлений (заготовки). Конструкция и размеры
Название англ.:Transitional flanges for machine retaining devices (blanks). Design and dimensions
Дата добавления в базу:01.10.2014
Дата актуализации:01.01.2021
Дата введения:01.01.1970
Дата окончания срока действия:01.01.1988
Область применения:Стандарт предназначен для изготовления переходных фланцев по ГОСТ 3889-63 к патронам по ГОСТ 2675-63, а также другим видам патронов и приспособлениям на станки токарной и шлифовальной групп.
Оглавление:Приложение Примеры применения переходных фланцев для токарных работ
Разработан: ВНИИНМАШ
Утверждён:01.04.1969 Комитет стандартов, мер и измерительных приборов при Совете Министров СССР (Committee on Standards, Measures, and Measuring Instruments at the USSR Cabinet of Ministers 430)
Издан: Издательство стандартов (1971 г. )
Заменяет собой:
  • ГОСТ 4082-48 «Детали станочных приспособлений. Планшайбы (заготовки). Размеры» (Сведения из перечня "Указатель государственных стандартов СССР 1970 г.", Издательство комитета стандартов 1970)
Нормативные ссылки:
ГОСТ 4082-69ГОСТ 4082-69ГОСТ 4082-69ГОСТ 4082-69ГОСТ 4082-69ГОСТ 4082-69ГОСТ 4082-69ГОСТ 4082-69ГОСТ 4082-69