Скачать МДК 4-07.2004 Методика распределения общедомового потребления тепловой энергии на отопление между индивидуальными потребителями на основе показаний квартирных приборов учета теплотыДата актуализации: 01.01.2021
|
| Обозначение: | МДК 4-07.2004 |
| Обозначение англ: | MDK 4-07.2004 |
| Статус: | действует |
| Название рус.: | Методика распределения общедомового потребления тепловой энергии на отопление между индивидуальными потребителями на основе показаний квартирных приборов учета теплоты |
| Дата добавления в базу: | 01.09.2013 |
| Дата актуализации: | 01.01.2021 |
| Дата введения: | 13.09.2003 |
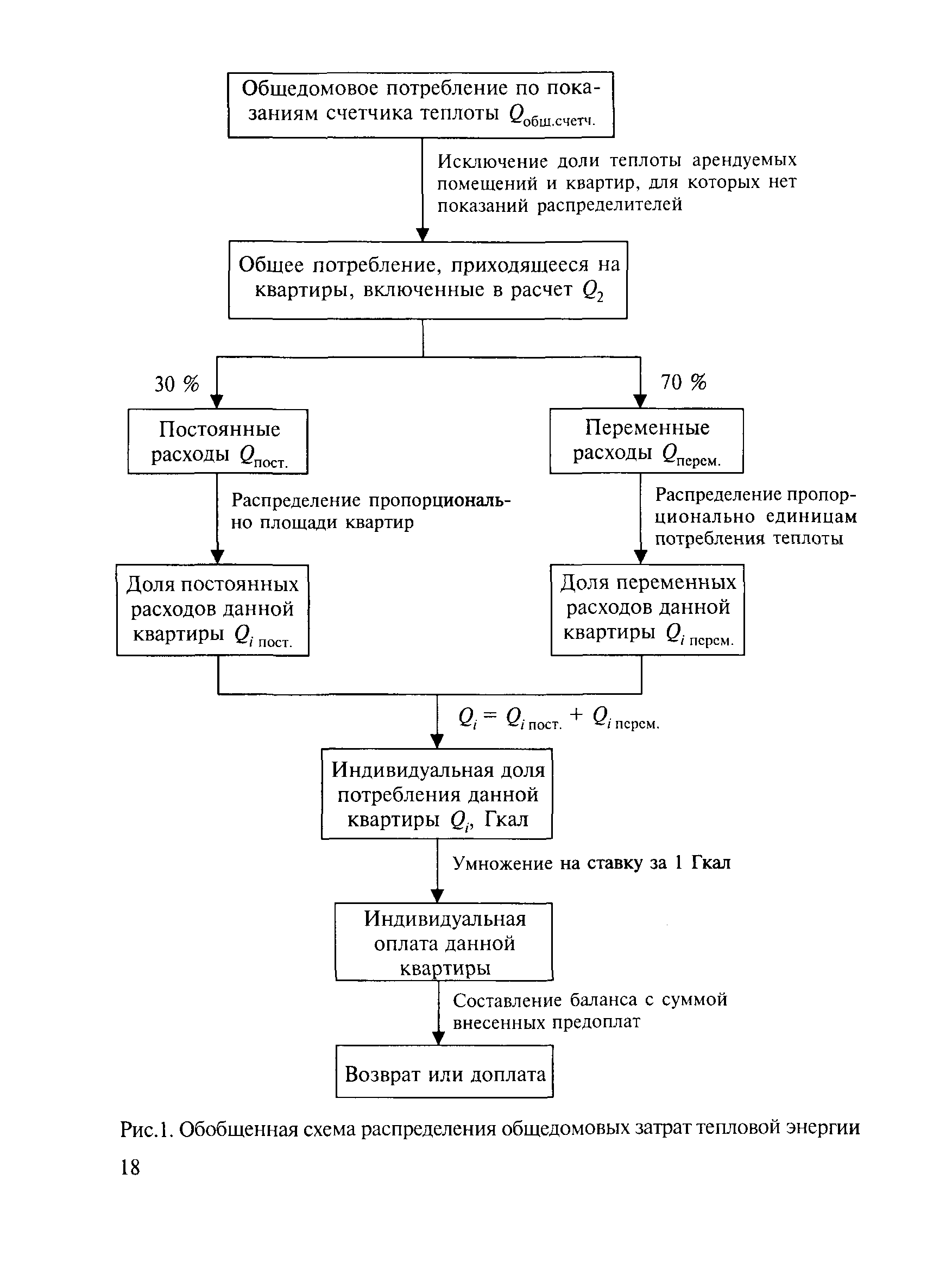
| Область применения: | Содержит необходимые требования к организационно-технической стороне процесса, а также образец расчета индивидуального потребления и соответствующих оплат потребителем за отопление. |
| Оглавление: | Предисловие 1 Цели и задачи 2 Область применения 3 Основные термины и определения 4 Основные принципы Методики 5 Необходимое оборудование 6 Организация монтажа и обслуживания 7 Порядок считывания показаний приборов учета 8 Перечень документации, необходимой для расчета индивидуальной доли каждого потребителя 9 Определение индивидуальной доли каждого потребителя (распределение потребления теплоты) 10 Организация оплаты за отопление в домах, оборудованных квартирными приборами учета 11 Технические средства, применяемые для осуществления расчетов Приложение 1 Обоснование величины допустимой доли (25 %) помещений, не оборудованных квартирными приборами учета теплоты Приложение 2 Доля постоянных расходов в общедомовом потреблении Приложение 3 Алгоритм расчета понижающих коэффициентов LAF для корректировки величины потребления тепловой энергии в квартирах, имеющих невыгодное расположение в здании с точки зрения теплопотерь |
| Разработан: | ЗАО Данфосс ООО Витерра Энергетический сервис |
| Утверждён: | 13.09.2003 Госстрой России (Russian Federation Gosstroy 01-НС-12/1) |
| Издан: | ФГУП ЦПП (2004 г. ) |
| Нормативные ссылки: |


























