Скачать Пособие Справочное пособие по разметке автомобильных дорогДата актуализации: 01.01.2021
|
| Обозначение: | Пособие |
| Обозначение англ: | Handbook |
| Статус: | не действует |
| Название рус.: | Справочное пособие по разметке автомобильных дорог |
| Дата добавления в базу: | 01.09.2013 |
| Дата актуализации: | 01.01.2021 |
| Область применения: | Предназначено для прорабов, мастеров и дорожных рабочих, выполняющих работы по разметке автомобильных дорог. |
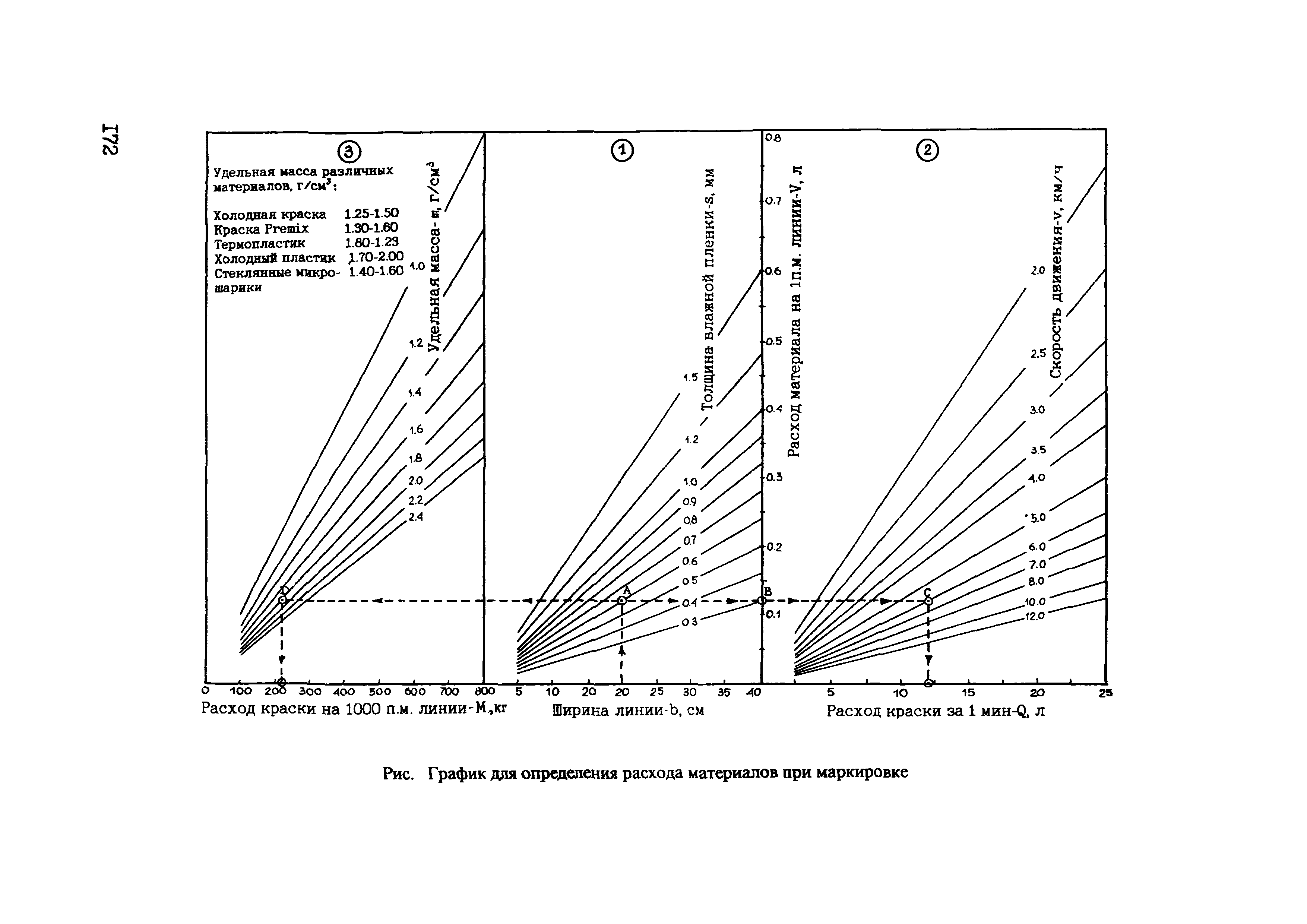
| Оглавление: | 1 Характеристика и виды разметки 2 Условия применения горизонтальной разметки 3 Условия применения вертикальной разметки 4 Основные принципы составления схем разметки автомобильных дорог 5 Рекомендации по горизонтальной разметке характерных участков автомобильных дорог 6 Рекомендации по вертикальной разметке дорог 7 Требования к разметке и применяемым материалам 8 Технология нанесения разметки 9 Обеспечение видимости разметки в темное время суток Приложение 1 Линии, надписи и другие обозначения, применяемые для разметки дорог Приложение 2 Рекомендуемые схемы разметки дорог Приложение 3 Метод определения расхода материалов при маркировке дорог |
| Разработан: | Союздорпроект Минтрансстроя Фирма БЛАГО |
| Утверждён: | 04.04.1995 Союздорпроект Минтрансстроя (Soyuzdorproject, Mintransstroy ) |
| Издан: | Информавтодор (1995 г. ) |















































































































































































