Скачать ТЕР 2001-26 Московской области Теплоизоляционные работы. Территориальные единичные расценки для определения стоимости строительства в Московской областиДата актуализации: 01.01.2021
|
| Обозначение: | ТЕР 2001-26 Московской области |
| Обозначение англ: | TER 2001-26 Московской области |
| Статус: | действует |
| Название рус.: | Теплоизоляционные работы. Территориальные единичные расценки для определения стоимости строительства в Московской области |
| Дата добавления в базу: | 01.09.2013 |
| Дата актуализации: | 01.01.2021 |
| Дата введения: | 06.06.2003 |
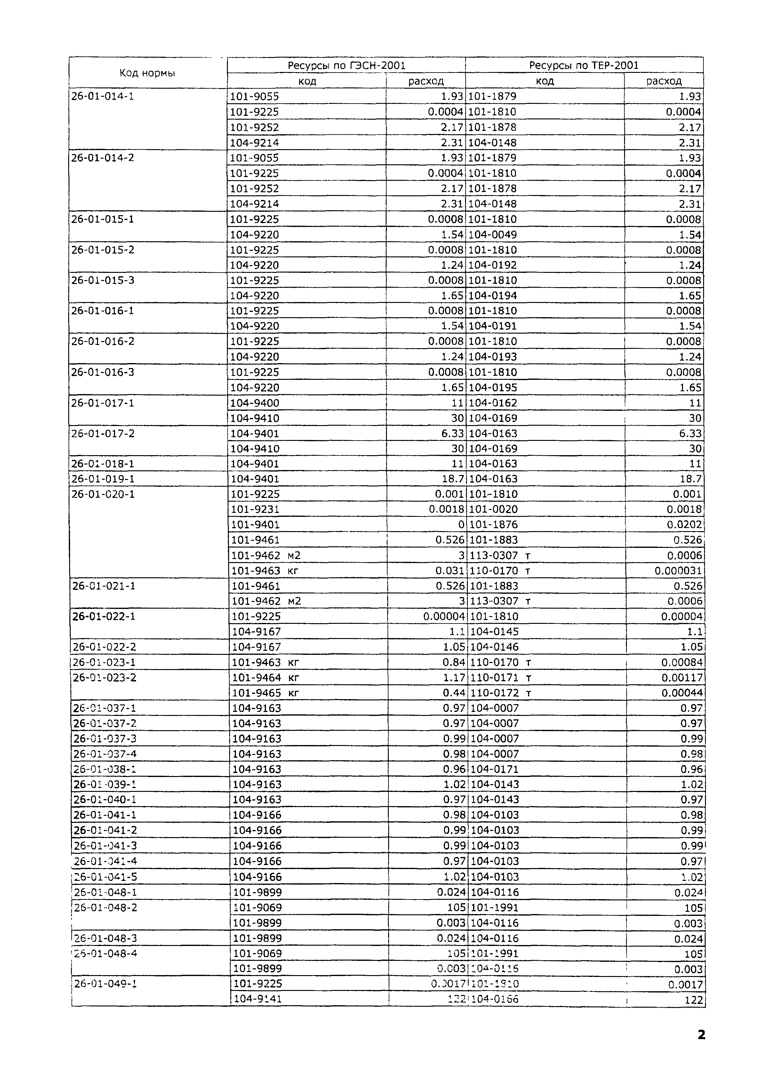
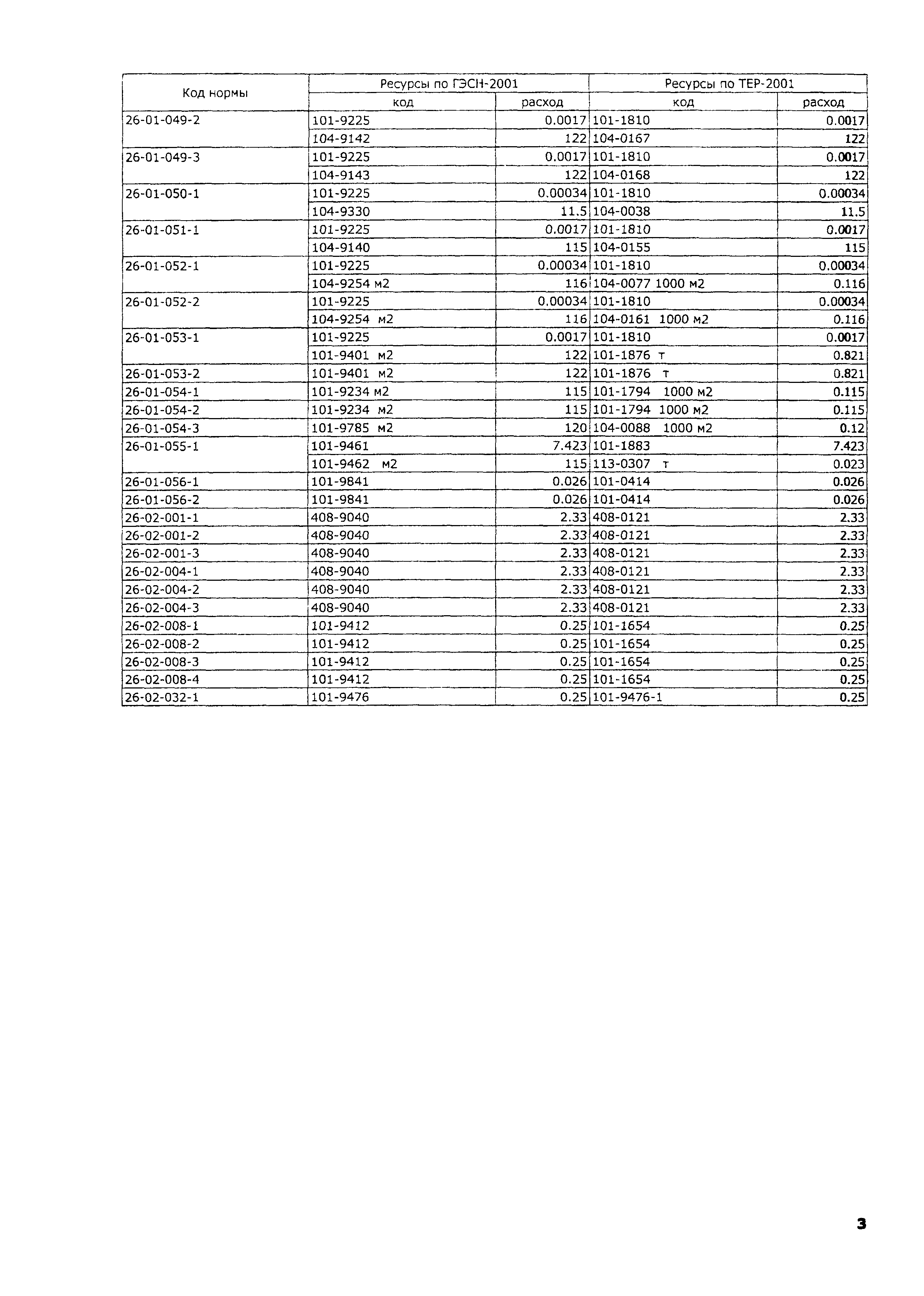
| Оглавление: | Техническая часть 1. Общие указания 2. Правила исчисления объемов работ Таблица 26-01-001 Изоляция трубопроводов конструкциями теплоизоляционными комплектными на основе цилиндров минераловатных на синтетическом связующем Таблица 26-01-002 Изоляция трубопроводов цилиндрами, полуцилиндрами и сегментами из пенопласта Таблица 26-01-003 Изоляция трубопроводов цилиндрами и полуцилиндрами из минеральной ваты на синтетическом связующем Таблица 26-01-004 Изоляция трубопроводов изделиями (сегментами) минераловатными на битумном связующем Таблица 26-01-005 Изоляция поверхностей штучными теплоизоляционными изделиями: перлитоцементными, перлитовыми, вермикулитовыми, известково-кремнеземистыми Таблица 26-01-006 Изоляция трубопроводов холстами стекловолокнистыми, полотном холстопрошивным стекловолокнистым марок ПХС-Т, полотном иглопробивным стеклянным марки ИПС-Т Таблица 26-01-007 Изоляция трубопроводов шнурами Таблица 26-01-008 Изоляция трубопроводов матами и холстами из супертонкого волокна (стеклянного и базальтового), матами звукопоглощающими Таблица 26-01-009 Изоляция трубопроводов матами минераловатными Таблица 26-01-010 Изоляция трубопроводов матами минераловатными прошивными безобкладочными и в обкладках марки 125, изделиями минераловатными с гофрированной структурой, матами из стеклянного штапельного волокна Таблица 26-01-011 Изоляция плоских и криволинейных, фасонных поверхностей изделиями минераловатными и стекловатными Таблица 26-01-012 Изоляция арматуры и фланцевых соединений съемными полу футлярами из матов минераловатных прошивных и листов алюминиевых сплавов Таблица 26-01-013 Изоляция арматуры и фланцевых соединений съемными полуфутлярами из матов минераловатных прошивных и листов оцинкованной стали Таблица 26-01-014 Изоляция арматуры и фланцевых соединений съемными полуфутлярами из матрацев минераловатных и листов алюминиевых сплавов оцинкованной стали Таблица 26-01-015 Изоляция трубопроводов конструкциями теплоизоляционными полносборными на основе изделий из минеральной ваты или стеклянного штапельного волокна с покрытием из листов алюминиевых сплавов Таблица 26-01-016 Изоляция трубопроводов конструкциями теплоизоляционными полносборными на основе изделий из минеральной ваты или стеклянного штапельного волокна с покрытием сталью оцинкованной Таблица 26-01-017 Изоляция трубопроводов изделиями из вспененного каучука ("Армафлекс"), вспененного полиэтилена ("Термафлекс") Таблица 26-01-018 Изоляция плоских и криволинейных поверхностей пластинами (плитами) из вспененного каучука ("Армафлекс"), вспененного полиэтилена ("Термафлекс") Таблица 26-01-019 Изоляция арматурных и фланцевых соединений пластинами (плитами) из вспененного каучука ("Армафлекс"), вспененного полиэтилена ("Термафлекс") Таблица 26-01-020 Изоляция трубопроводов пенополиуретаном методом заливки под защитное металлическое покрытие из листов алюминиевых сплавов или стали оцинкованной листовой Таблица 26-01-021 Изоляция плоских и криволинейных поверхностей из пенополиуретана методом напыления Таблица 26-01-022 Изоляция поверхностей штучными изделиями из пенополиуретана Таблица 26-01-023 Установка металлических опорных колец Таблица 26-01-024 Асбоперлитовая изоляция поверхностей методом напыления Таблица 26-01-037 Изоляция холодных поверхностей изделиями из волокнистых и зернистых материалов на битуме Таблица 26-01-038 Устройство противопожарных поясов из ячеистых материалов на растворе Таблица 26-01-039 Изоляция покрытий и перекрытий изделиями из волокнистых и зернистых материалов насухо Таблица 26-01-040 Устройство противопожарных поясов из волокнистых Таблица 26-01-041 Изоляция холодных поверхностей изделиями из пенопласта Таблица 26-01-042 Установка дверей с тепловой изоляцией Таблица 26-01-048 Устройство каркаса изоляции Таблица 26-01-049 Покрытие поверхности изоляции трубопроводов листами алюминиевых сплавов, сталью оцинкованной, металлопластом Таблица 26-01-050 Покрытие поверхности изоляции трубопроводов фольгой алюминиевой дублированной Таблица 26-01-051 Покрытие поверхности изоляции трубопроводов стеклоцементом текстолитовым, стеклотекстолитом конструкционным Таблица 26-01-052 Покрытие поверхности изоляции трубопроводов стеклопластиками РСТ, тканями стеклянными, пленками ПХВ, армопластами Таблица 26-01-053 Покрытие изоляции плоских (криволинейных) и фасонных поверхностей листовым металлом с заготовкой покрытия Таблица 26-01-054 Покрытие поверхности изоляции рулонными материалами Таблица 26-01-055 Установка пароизоляционного слоя из пленки полиэтиленовой Таблица 26-01-056 Оштукатуривание поверхности изоляции асбоцементным раствором Таблица 26-02-001 Огнезащитное покрытие несущих металлоконструкций балок перекрытий, покрытий и ферм составом "Файэфлекс ТМ Крилак" Таблица 26-02-002 Огнезащитное покрытие несущих металлоконструкций балок перекрытий, покрытий и ферм составом "Файрекс-400" Таблица 26-02-003 Огнезащитное покрытие несущих металлоконструкций балок перекрытий, покрытий и ферм составом ОФП-НВ - "ЭСКАЛИБУР" Таблица 26-02-004 Огнезащитное покрытие несущих металлоконструкций балок перекрытий, покрытий и ферм составом "УНИКУМ" Таблица 26-02-005 Огнезащитное покрытие несущих металлоконструкций воздуховодов составом ОФП-НВ - "КРАТ" Таблица 26-02-006 Огнезащитное покрытие несущих металлоконструкций комплексной огнезащитой "ЩИТ-1" Таблица 26-02-007 Огнезащитное покрытие металлоконструкций воздуховодов приточно-вытяжных систем комплексной огнезащитой "ЩИТ- 1В" Таблица 26-02-008 Огнезащитное покрытие металлоконструкций воздуховодов приточно-вытяжных систем составом "Файрекс-300" Таблица 26-02-013 Огнезащитное покрытие деревянных конструкций мансард и элементов кровли составом "Файрекс-200" Таблица 26-02-014 Огнезащитное покрытие деревянных конструкций мансард и элементов кровли составом "АТТИК" Таблица 26-02-015 Огнезащитная обработка деревянных конструкций краской "Эврика" Таблица 26-02-016 Огнезащитная обработка деревянных конструкций огнезащитным лаком "Пиропласт-ХВ" Таблица 26-02-017 Огнезащитная пропитка деревянных конструкций мансард и элементов кровли составом "КЛОД-01" Таблица 26-02-022 Огнезащитное покрытие кабелей составом "КЛ-1" Таблица 26-02-023 Огнезащитное уплотнение пустот кабельных проходок составом "Файрекс-600" Таблица 26-02-024 Устройство огнепреградительных поясов и уплотнение кабельных заделок подушками противопожарными уплотнительными "ППВ-1" Таблица 26-02-029 Огнезащитное покрытие бетонных конструкций и железобетонных стен и перегородок составом "Монолит" Таблица 26-02-030 Огнезащитное уплотнение пустот конструкций межэтажных перекрытий, перегородок составом "Файрекс-500" Таблица 26-02-031 Огнезащитное покрытие стволов выхлопных труб Таблица 26-02-032 Устройство огнезащиты стеклянных поверхностей пленкой огнезащитной Таблица 26-02-033 Огнезащитная пропитка ковровых изделий, тканей, занавесей составом «КЛОД-02» Приложение. Сборник сметных расценок на эксплуатацию строительных машин и сметных цен на материалы, изделия и конструкции (в базисных ценах Московской области по состоянию на 01.01.2000) Затраты труда рабочих-строителей Эксплуатация строительных машин Сметные цены на материальные ресурсы |
| Разработан: | Мособлгосэкспертиза ООО ИНАС |
| Утверждён: | 13.04.1998 Правительство Московской области (Government of the Moscow Region 38/11) |
| Издан: | Минмособлстрой (2003 г. ) |


























