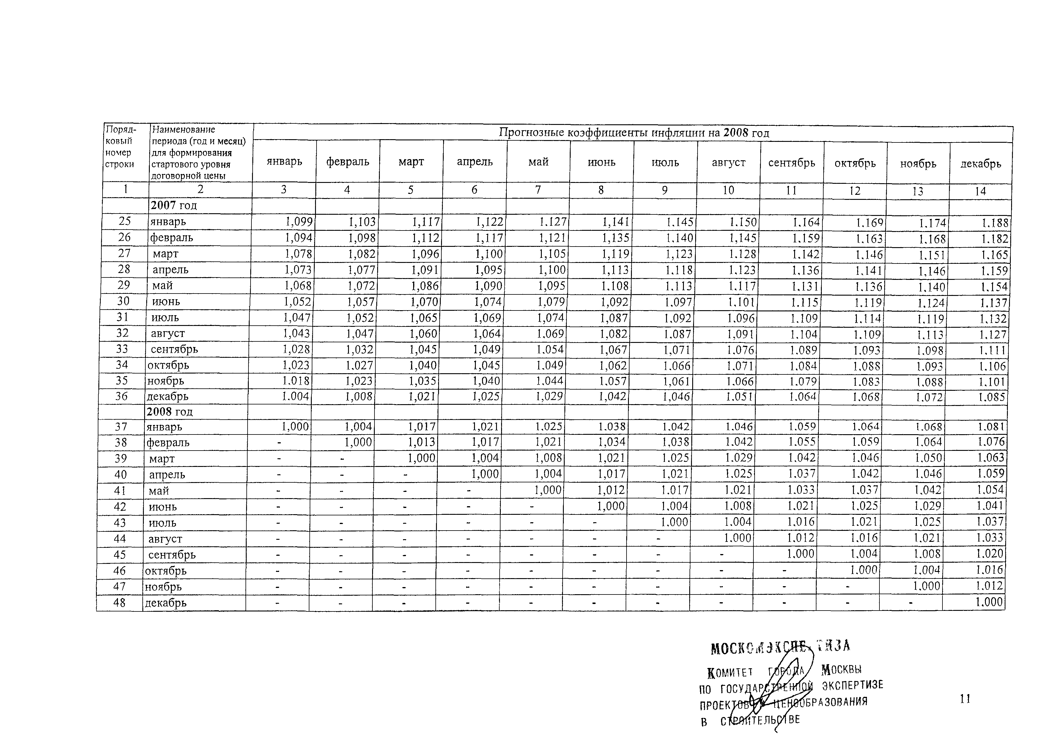
Скачать Протокол 1/МС-20-04 Протокол заседания Межведомственного совета по ценовой политике в строительстве при Правительстве МосквыДата актуализации: 01.01.2021 Протокол 1/МС-20-04
Протокол заседания Межведомственного совета по ценовой политике в строительстве при Правительстве Москвы| Обозначение: | Протокол 1/МС-20-04 | | Обозначение англ: | Proceedings 1/МС-20-04 | | Статус: | действует | | Название рус.: | Протокол заседания Межведомственного совета по ценовой политике в строительстве при Правительстве Москвы | | Дата добавления в базу: | 01.09.2013 | | Дата актуализации: | 01.01.2021 | | Дата введения: | 28.12.2004 | | Утверждён: | 28.12.2004 Межведомственный совет по ценовой политике в строительстве при Правительстве Москвы
| | Список изменений: | |
Текстовое изменение № 3 от 13.02.2006
     
|