Скачать ОСТ 1 13554-79 Пружины сжатия из стальной проволоки марки 51ХФА. Конструкция и размеры

Дата актуализации: 01.01.2021

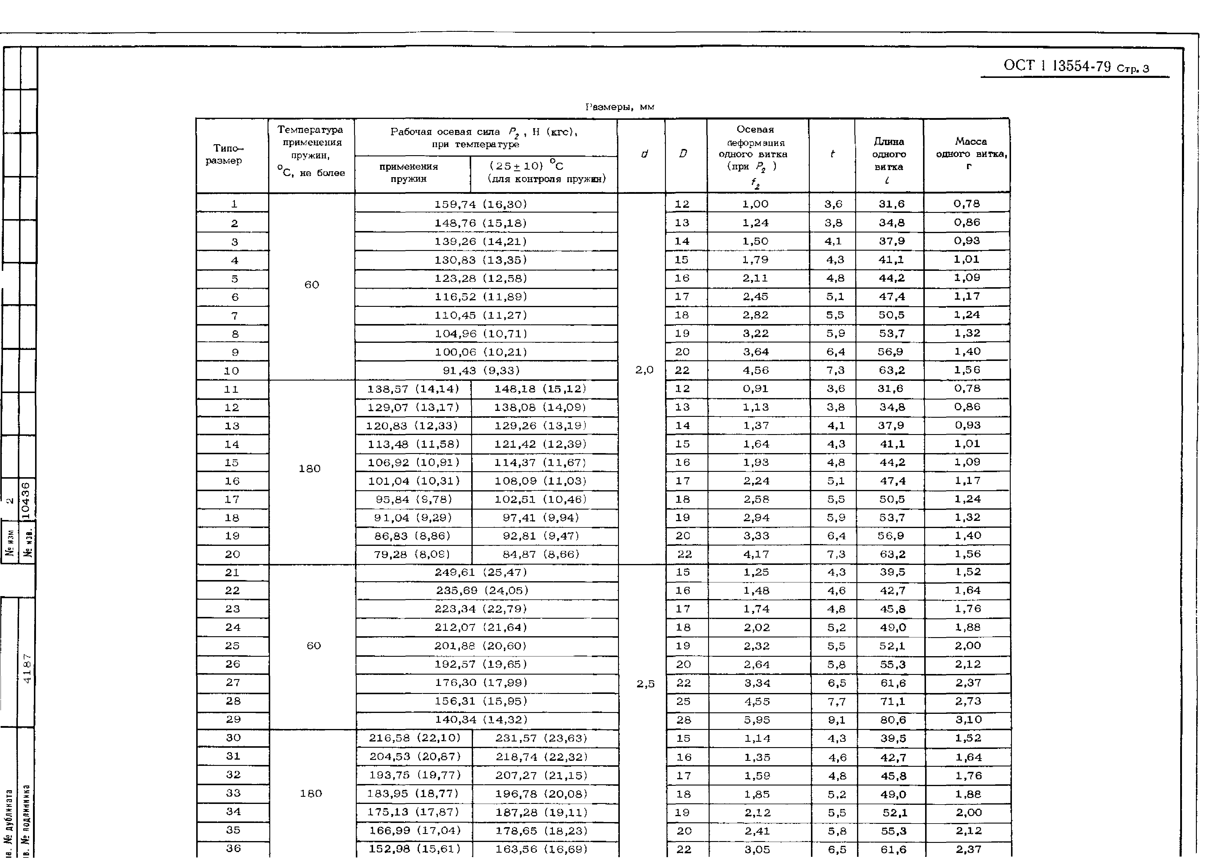
ОСТ 1 13554-79

Пружины сжатия из стальной проволоки марки 51ХФА. Конструкция и размеры

Обозначение: ОСТ 1 13554-79
Обозначение англ: 13554-79
Статус:действует
Название рус.:Пружины сжатия из стальной проволоки марки 51ХФА. Конструкция и размеры
Дата добавления в базу:01.09.2013
Дата актуализации:01.01.2021
Дата введения:01.07.1980
Область применения:Стандарт распространяется на винтовые цилиндрические пружины сжатия из стальной пружинной проволоки марки 51ХФА (в дальнейшем изложении - пружины), работающие при температуре от минус 60 до плюс 180 град. Цельсия.
Оглавление:Приложение (обязательное). Режимы термической обработки и заневоливания пружин, расчетные формулы и пример подбора пружин
Утверждён:02.11.1979 Министерство (Ministry 087-16)
Заменяет собой:
  • 1918А
ОСТ 1 13554-79ОСТ 1 13554-79ОСТ 1 13554-79ОСТ 1 13554-79ОСТ 1 13554-79ОСТ 1 13554-79ОСТ 1 13554-79ОСТ 1 13554-79ОСТ 1 13554-79ОСТ 1 13554-79ОСТ 1 13554-79ОСТ 1 13554-79ОСТ 1 13554-79ОСТ 1 13554-79