Скачать ОСТ 1 13704-81 Наконечники облегченные для электропроводов с обжатием изоляции. Конструкция и размеры

Дата актуализации: 01.01.2021

ОСТ 1 13704-81

Наконечники облегченные для электропроводов с обжатием изоляции. Конструкция и размеры

Обозначение: ОСТ 1 13704-81
Обозначение англ: 13704-81
Статус:действует
Название рус.:Наконечники облегченные для электропроводов с обжатием изоляции. Конструкция и размеры
Дата добавления в базу:01.09.2013
Дата актуализации:01.01.2021
Дата введения:01.01.1982
Область применения:Стандарт распространяется на облегченные наконечники для заделки двух электропроводов с площадью сечения 0,35-1,50 мм2 с обжатием изоляции, применяемые в электрических цепях летательных аппаратов.
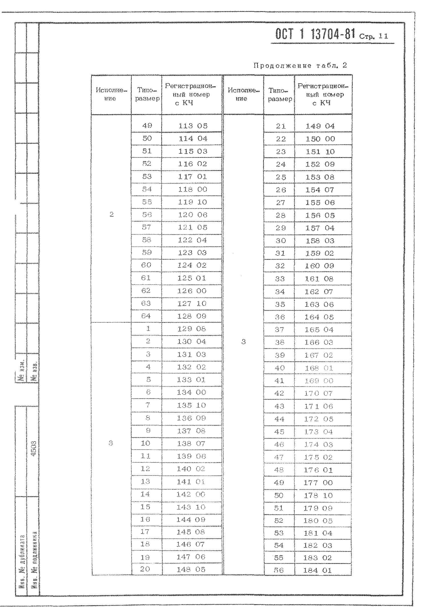
Оглавление:Приложение (обязательное). Коды ОКП наконечников
Утверждён:05.02.1981 Министерство (Ministry 087-16)
Нормативные ссылки:
ОСТ 1 13704-81ОСТ 1 13704-81ОСТ 1 13704-81ОСТ 1 13704-81ОСТ 1 13704-81ОСТ 1 13704-81ОСТ 1 13704-81ОСТ 1 13704-81ОСТ 1 13704-81ОСТ 1 13704-81ОСТ 1 13704-81ОСТ 1 13704-81ОСТ 1 13704-81ОСТ 1 13704-81ОСТ 1 13704-81ОСТ 1 13704-81ОСТ 1 13704-81