Скачать ОСТ 1 52025-81 Сверла одностороннего резания с внутренним подводом СОЖ диаметром 8…30 мм, оснащенные пластинами твердого сплава, для обработки глубоких отверстий. Конструкция и размерыДата актуализации: 01.01.2021 ОСТ 1 52025-81
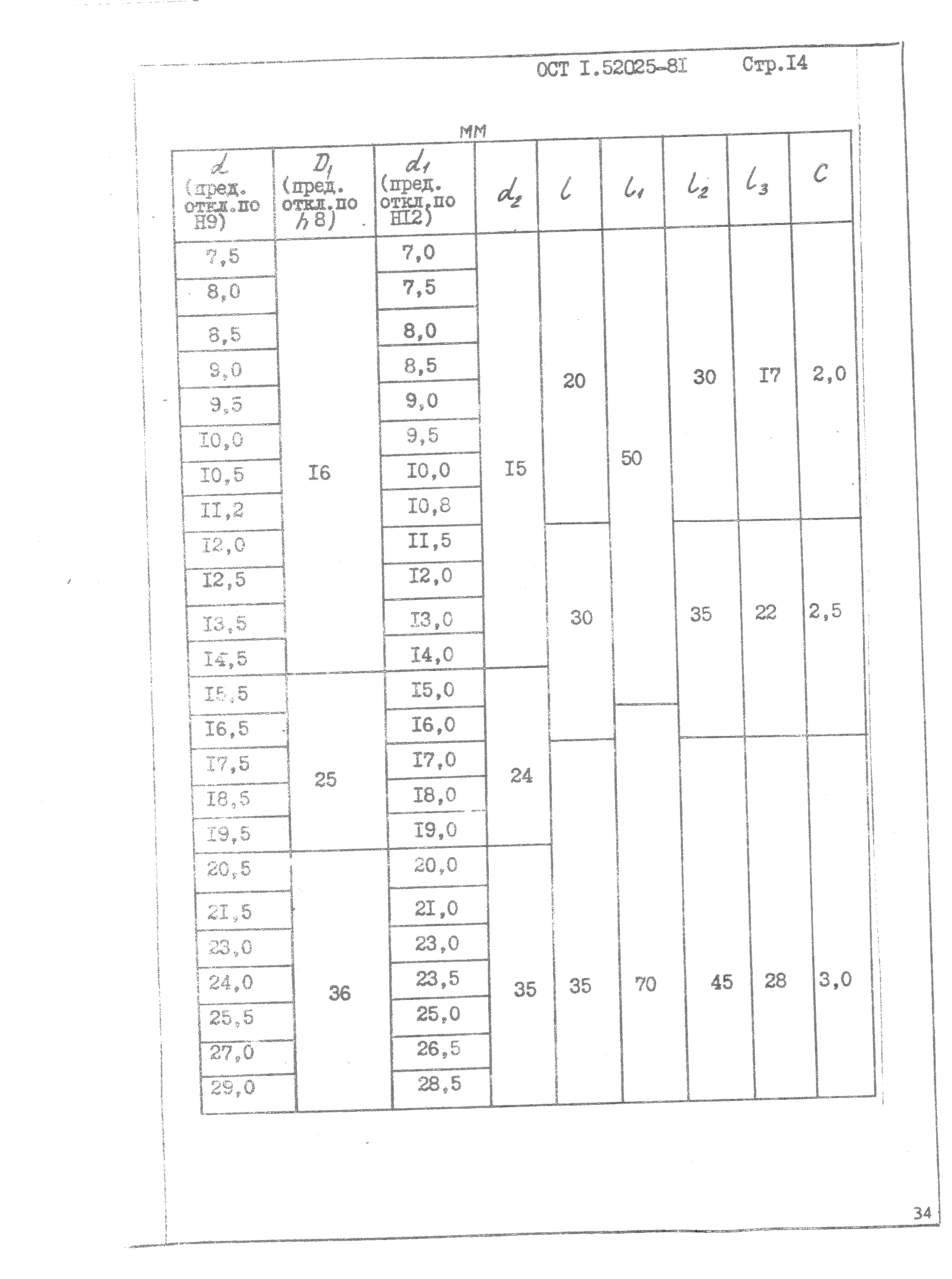
Сверла одностороннего резания с внутренним подводом СОЖ диаметром 8…30 мм, оснащенные пластинами твердого сплава, для обработки глубоких отверстий. Конструкция и размеры| Обозначение: | ОСТ 1 52025-81 | | Обозначение англ: | 52025-81 | | Статус: | действует | | Название рус.: | Сверла одностороннего резания с внутренним подводом СОЖ диаметром 8…30 мм, оснащенные пластинами твердого сплава, для обработки глубоких отверстий. Конструкция и размеры | | Дата добавления в базу: | 01.09.2013 | | Дата актуализации: | 01.01.2021 | | Дата введения: | 01.01.1982 | | Область применения: | Стандарт распространяется на сверла одностороннего резания с внутренним подводом СОЖ диаметром 8…30 мм, оснащенные пластинами твердого сплава, для обработки глубоких отверстий с отношением глубины к диаметру ( L/d ) до 100 в легированных, нержавеющих, жаропрочных сталях, титановых и алюминиевых сплавах. Сверла должны обеспечить шероховатость обработанной поверхности Ra <= 1,25 мкм при обработке отверстий 7…13 квалитетов. | | Утверждён: | 25.07.1981 Министерство (Ministry 087-16)
| | Заменяет собой: | |
               
|