Скачать Серия 1.141-1 Выпуск 62. Предварительно напряженные панели с круглыми пустотами длиной 6280, 5980, 5680, 5380 и 5080 мм, шириной 1790, 1490, 1190, 990 мм, армированные канатами класса К-7 диаметром 6 мм методом непрерывного армирования. Метод натяжения электротермомеханическийДата актуализации: 01.01.2021
|
| Обозначение: | Серия 1.141-1 |
| Обозначение англ: | Series 1.141-1 |
| Статус: | действует |
| Название рус.: | Выпуск 62. Предварительно напряженные панели с круглыми пустотами длиной 6280, 5980, 5680, 5380 и 5080 мм, шириной 1790, 1490, 1190, 990 мм, армированные канатами класса К-7 диаметром 6 мм методом непрерывного армирования. Метод натяжения электротермомеханический |
| Дата добавления в базу: | 01.09.2013 |
| Дата актуализации: | 01.01.2021 |
| Дата введения: | 30.07.1984 |
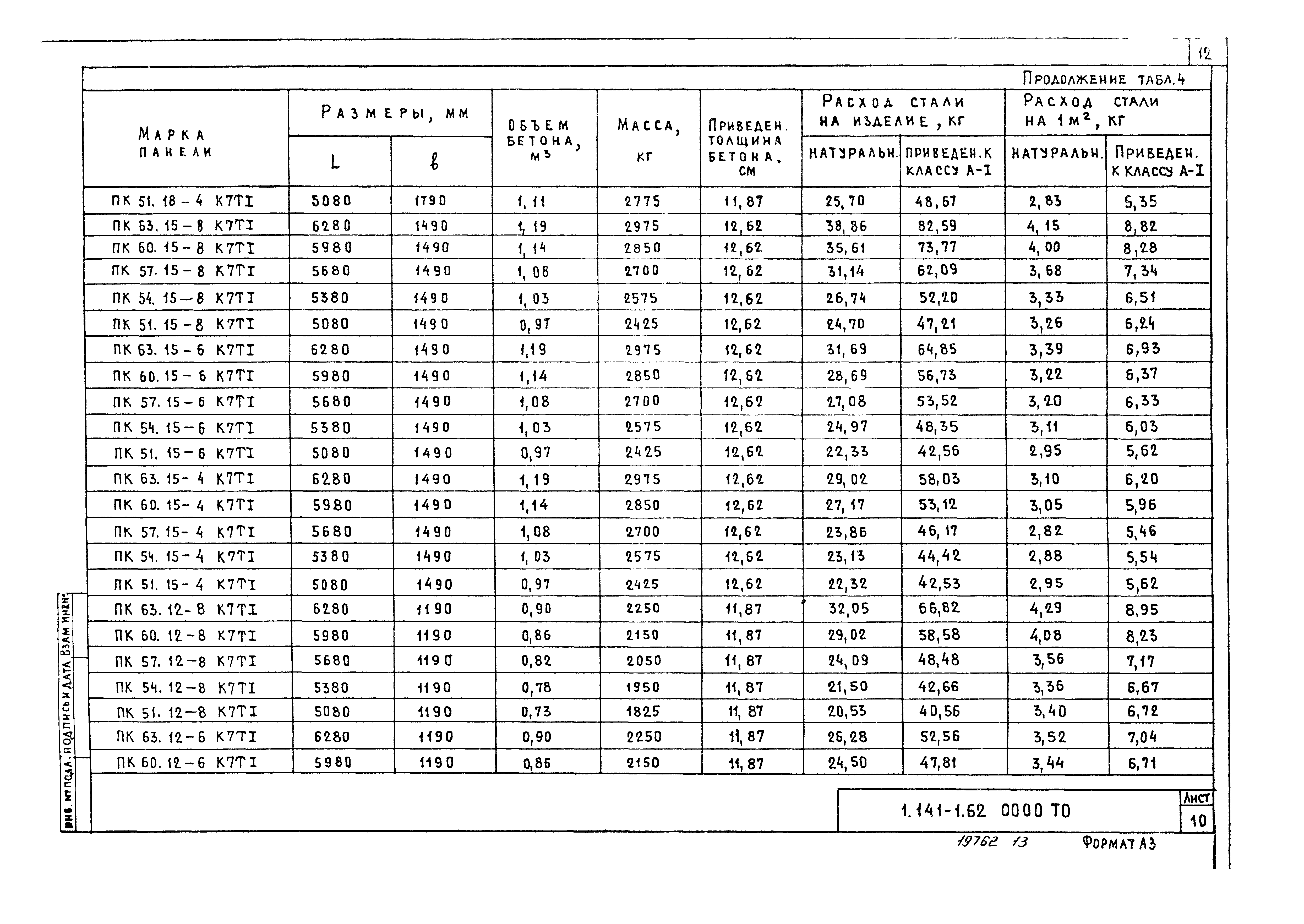
| Оглавление: | 1.141-1.62 0000ТО Техническое описание 1.141-1.62 1000 Панель перекрытия многопустотная шириной 1790 мм 1.141-1.62 1000СБ Панель перекрытия многопустотная шириной 1790 мм. Сборочный чертеж 1.141-1.62 2000 Панель перекрытия многопустотная шириной 1490 мм 1.141-1.62 2000СБ Панель перекрытия многопустотная шириной 1490 мм. Сборочный чертеж 1.141-1.62 3000 Панель перекрытия многопустотная шириной 1190 мм 1.141-1.62 3000СБ Панель перекрытия многопустотная шириной 1190 мм. Сборочный чертеж 1.141-1.62 4000 Панель перекрытия многопустотная шириной 990 мм 1.141-1.62 4000СБ Панель перекрытия многопустотная шириной 990 мм. Сборочный чертеж 1.141-1.62 0000Д1 Узел (I-V) 1.141-1.62 0000Д2 Вид А. Сечение 2-2 1.141-1.62 0100 Сетка (С1… С10) 1.141-1.62 0200 Сетка (С11… С20) 1.141-1.62 0300 Сетка (С21… С30) 1.141-1.62 0400 Каркас (КР1… КР8) 1.141-1.62 0500 Сетка С31 1.141-1.62 0001 Петля (П1… П3) 1.141-1.62 0000 ВМС Ведомость расхода стали |
| Разработан: | НИИЖБ ЦНИИЭП жилища |
| Утверждён: | 06.06.1984 Госгражданстрой (Gosgrazhdanstroy 155) |






















































