Скачать Серия 1.141-1 Выпуск 64. Предварительно напряженные панели с круглыми пустотами длиной 6280, 5980, 5680, 5380, 5080 и 4780 мм, шириной 1790, 1490, 1190 и 990 мм, армированные стержнями из стали класса А-IV. Метод натяжения - электротермический. Рабочие чертежиДата актуализации: 01.01.2021
|
| Обозначение: | Серия 1.141-1 |
| Обозначение англ: | Series 1.141-1 |
| Статус: | действует |
| Название рус.: | Выпуск 64. Предварительно напряженные панели с круглыми пустотами длиной 6280, 5980, 5680, 5380, 5080 и 4780 мм, шириной 1790, 1490, 1190 и 990 мм, армированные стержнями из стали класса А-IV. Метод натяжения - электротермический. Рабочие чертежи |
| Дата добавления в базу: | 01.09.2013 |
| Дата актуализации: | 01.01.2021 |
| Дата введения: | 30.04.1985 |
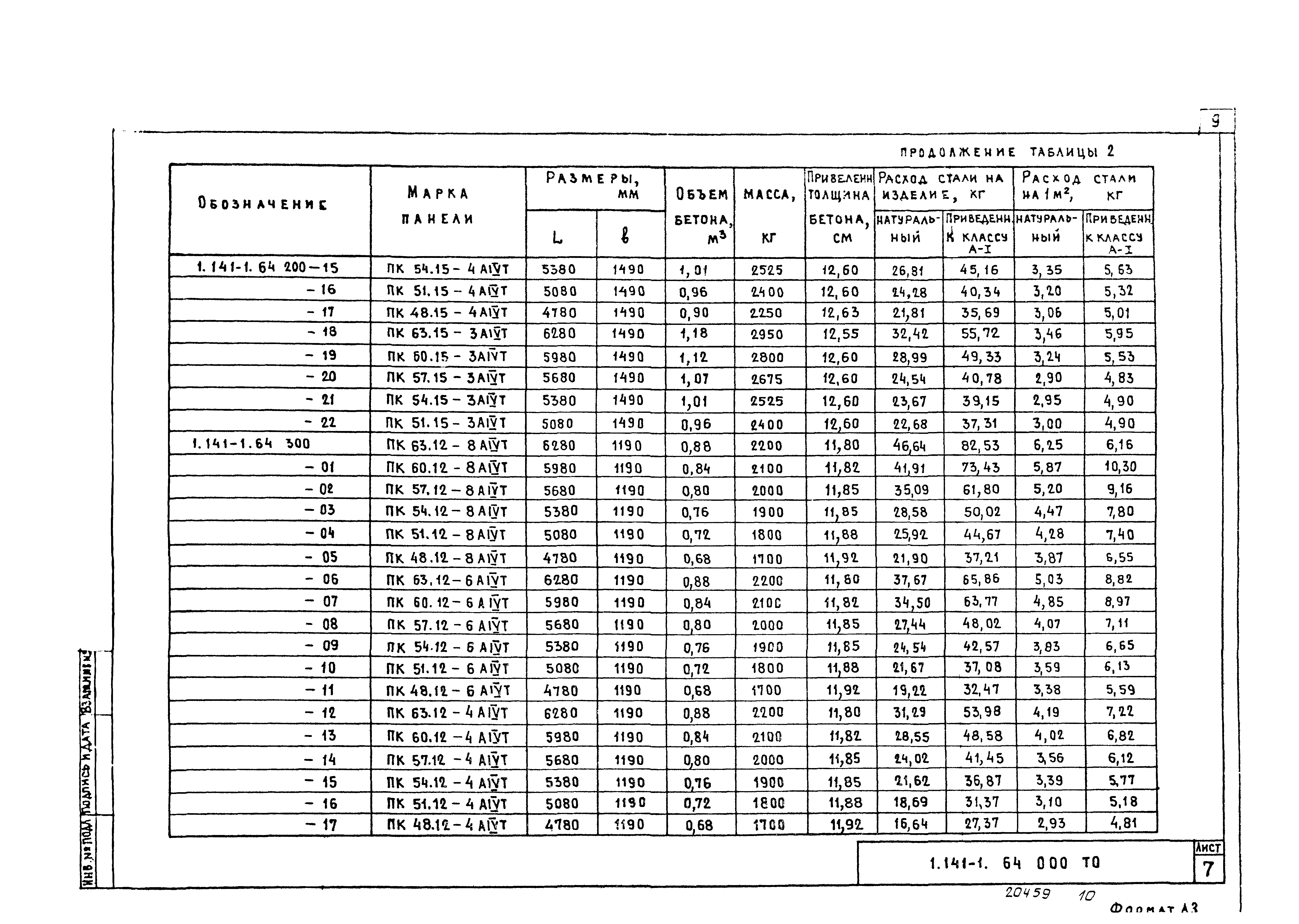
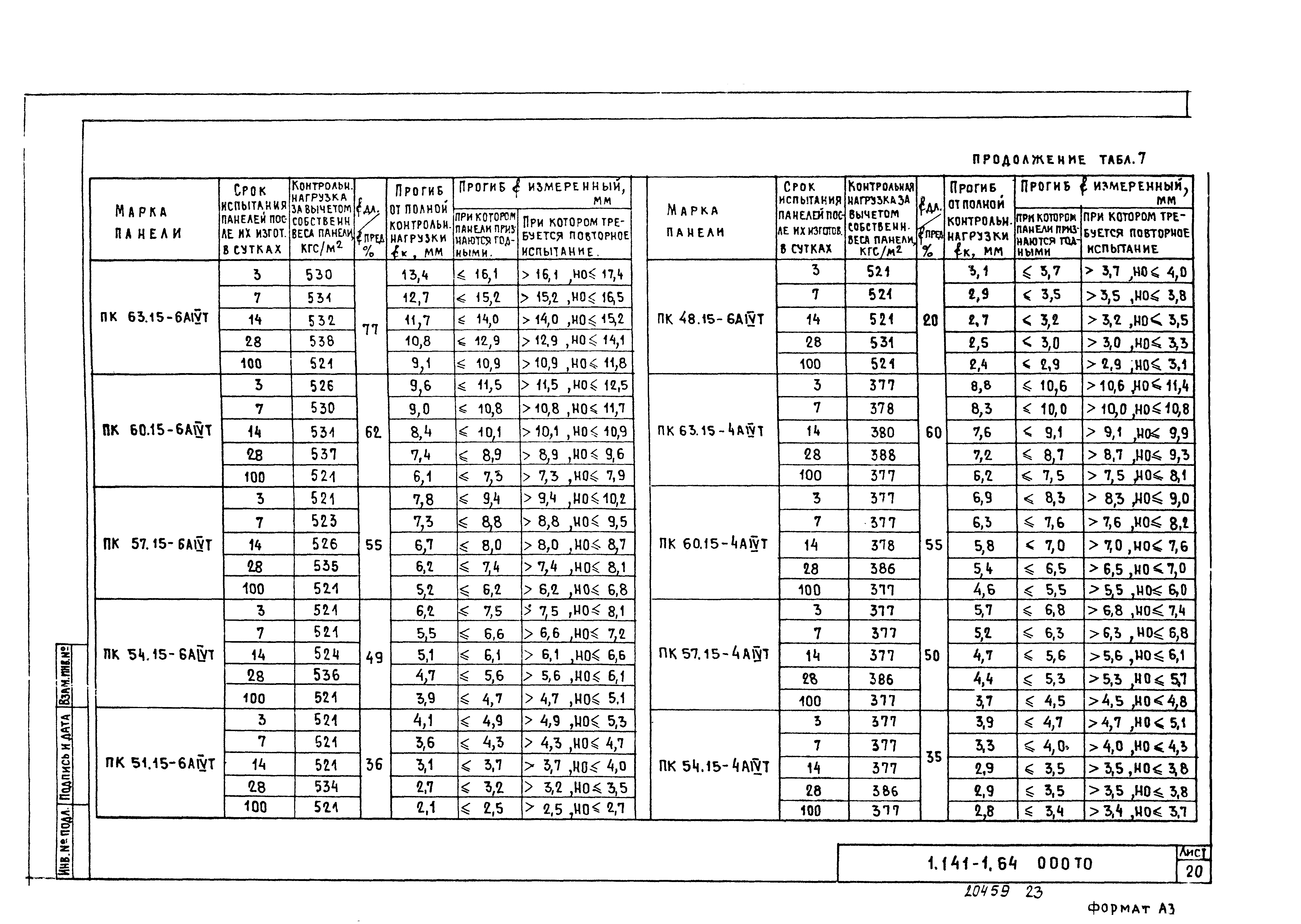
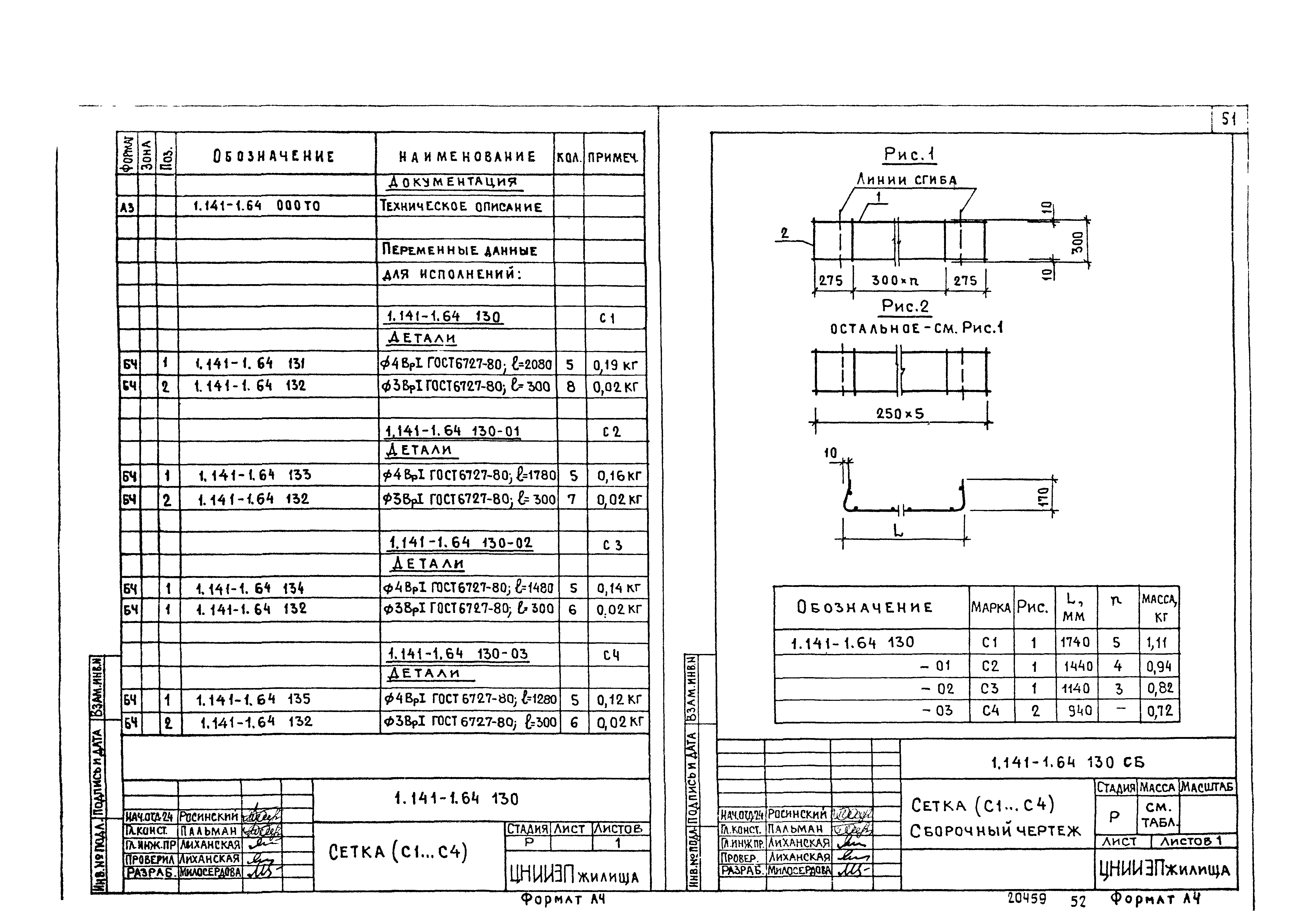
| Оглавление: | 1.141-1.64 000ТО Техническое описание 1.141-1.64 100 Панель перекрытия многопустотная шириной 1790 мм 1.141-1.64 100СБ Панель перекрытия многопустотная шириной 1790 мм. Сборочный чертеж 1.141-1.64 200 Панель перекрытия многопустотная шириной 1490 мм 1.141-1.64 200СБ Панель перекрытия многопустотная шириной 1490 мм. Сборочный чертеж 1.141-1.64 300 Панель перекрытия многопустотная шириной 1190 мм 1.141-1.64 300СБ Панель перекрытия многопустотная шириной 1190 мм. Сборочный чертеж 1.141-1.64 400 Панель перекрытия многопустотная шириной 990 мм 1.141-1.64 400СБ Панель перекрытия многопустотная шириной 990 мм. Сборочный чертеж 1.141-1.64 110 Каркас (КР1… КР3) 1.141-1.64 110СБ Каркас (КР1… КР3). Сборочный чертеж 1.141-1.64 120 Каркас (КР4… КР5) 1.141-1.64 120СБ Каркас (КР4… КР5). Сборочный чертеж 1.141-1.64 130 Сетка (С1… С4) 1.141-1.64 130СБ Сетка (С1… С4). Сборочный чертеж 1.141-1.64 140 Сетка С5 1.141-1.64 150 Сетка (С6… С11) 1.141-1.64 150СБ Сетка (С6… С11). Сборочный чертеж 1.141-1.64 210 Сетка (С12… С17) 1.141-1.64 210СБ Сетка (С12… С17). Сборочный чертеж 1.141-1.64 310 Сетка (С18… С23) 1.141-1.64 310СБ Сетка (С18… С23). Сборочный чертеж 1.141-1.64 410 Сетка (С24… С29) 1.141-1.64 410СБ Сетка (С24… С29). Сборочный чертеж 1.141-1.64 101 Стержень напрягаемый (Т1… Т16) 1.141-1.64 102 Петля (П1… П3) 1.141-1.64 000РМ Ведомость расхода материалов |
| Разработан: | НИИЖБ ЦНИИЭП жилища |
| Утверждён: | 02.04.1985 Госгражданстрой (Gosgrazhdanstroy 89) |
| Заменяет собой: |






































































