Скачать Руководство по проектированию железобетонных конструкций с жесткой арматуройДата актуализации: 01.01.2021 |
| Статус: | справочные материалы, мп, тпр |
| Название рус.: | Руководство по проектированию железобетонных конструкций с жесткой арматурой |
| Дата добавления в базу: | 01.09.2013 |
| Дата актуализации: | 01.01.2021 |
| Область применения: | Руководство распространяется на проектирование железобетонных конструкций с жесткой арматурой из профильной или листовой стали, защищенной бетоном. |
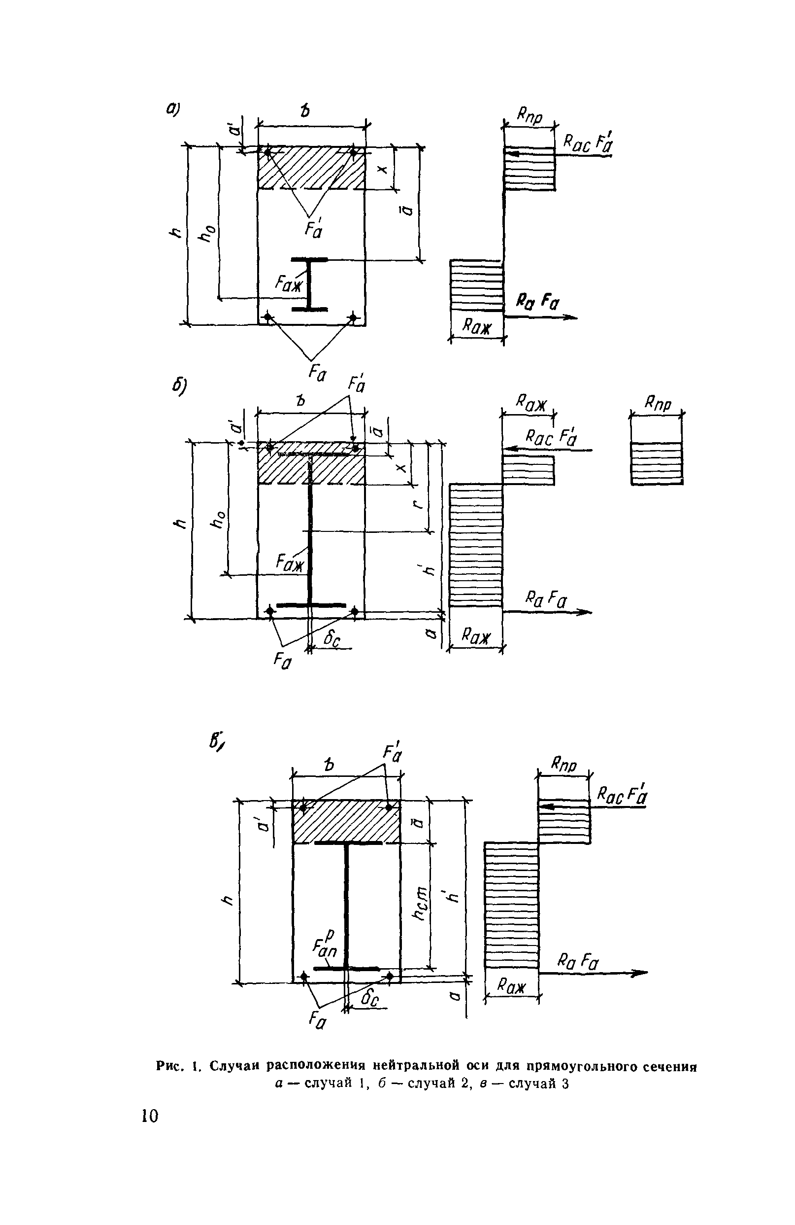
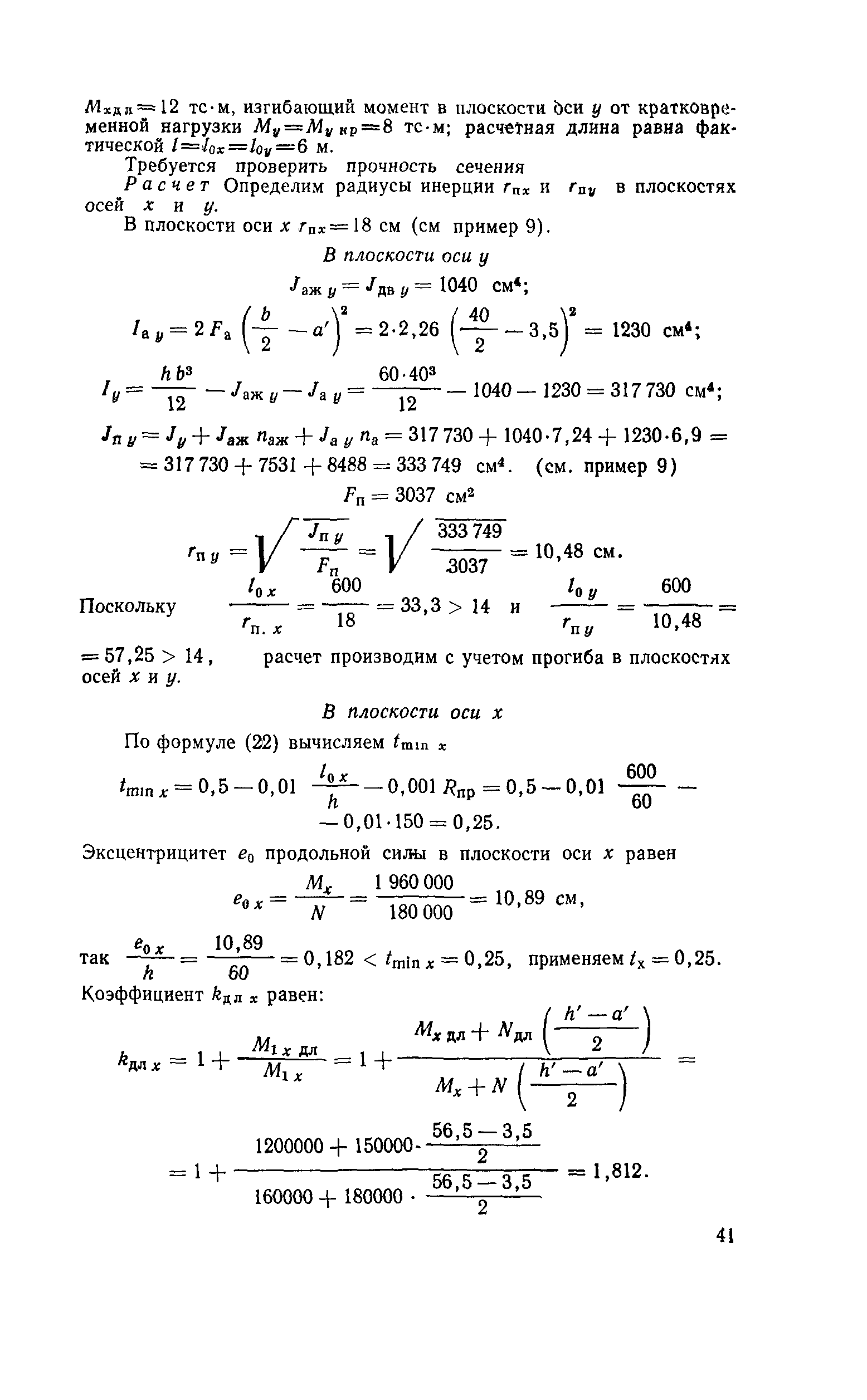
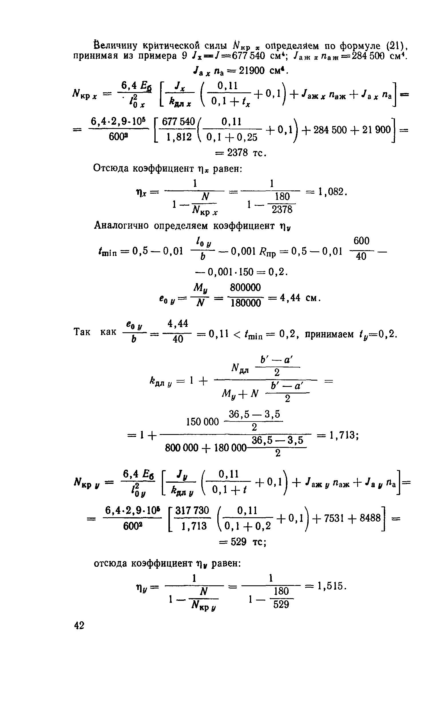
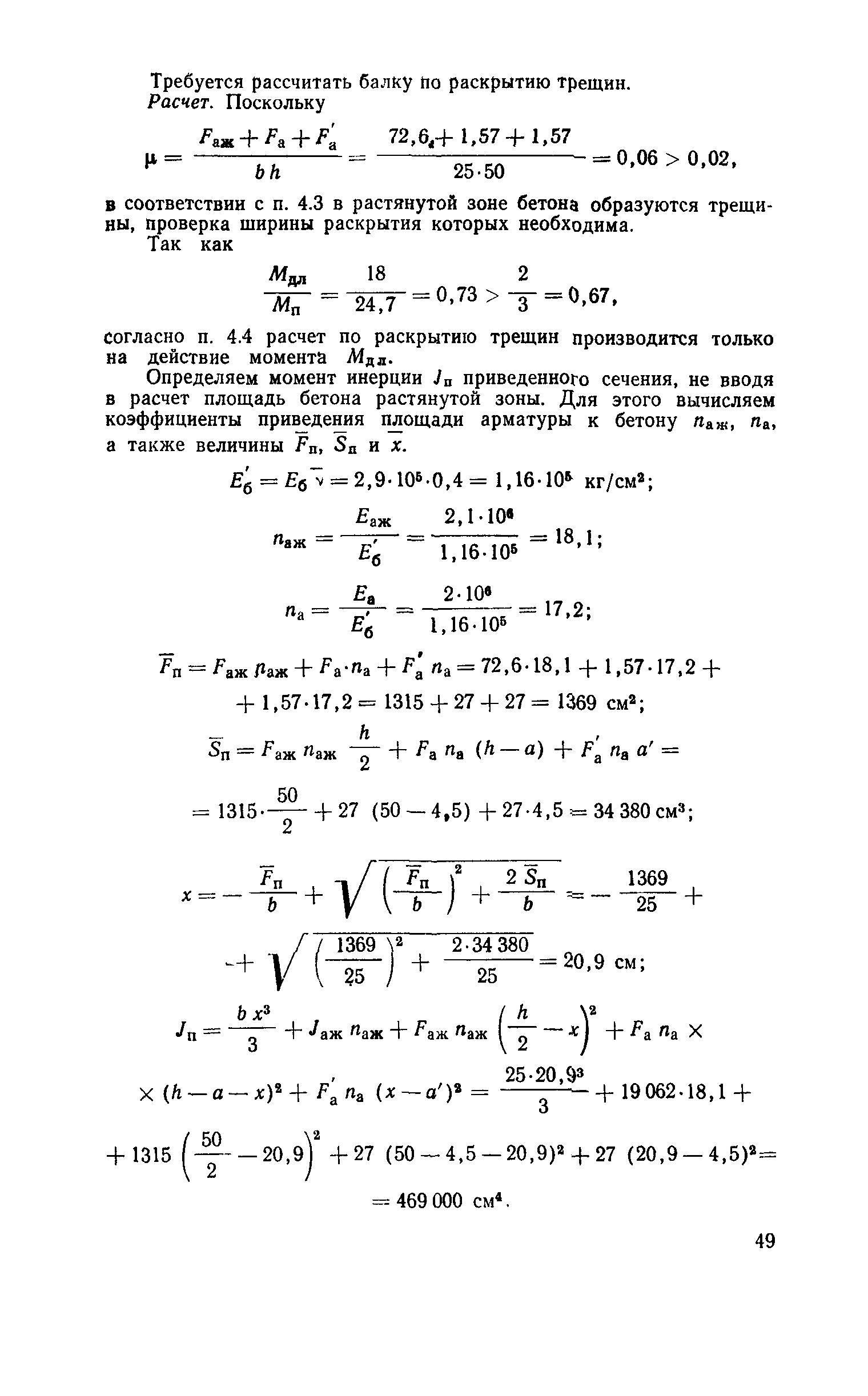
| Оглавление: | Предисловие Основные буквенные обозначения 1. Основные положения 2. Материалы 3. Расчет по прочности железобетонных элементов с жесткой арматурой 4. Расчет изгибаемых железобетонных элементов с жесткой арматурой по предельным состояниям второй группы 5. Конструктивные требования |
| Разработан: | ЦНИИпромзданий НИИЖБ |
| Утверждён: | 01.01.1978 НИИЖБ Госстроя СССР (NIIZhB, USSR Gosstroy ) |
| Издан: | Стройиздат (1978 г. ) |
| Нормативные ссылки: |
|
























































