Скачать РД 45.075-99 Средства измерений электросвязи. Методические указания по поверке межсетевых анализаторов протоколов J2302AДата актуализации: 01.01.2021
|
| Обозначение: | РД 45.075-99 |
| Обозначение англ: | RD 45.075-99 |
| Статус: | введен впервые |
| Название рус.: | Средства измерений электросвязи. Методические указания по поверке межсетевых анализаторов протоколов J2302A |
| Дата добавления в базу: | 01.09.2013 |
| Дата актуализации: | 01.01.2021 |
| Дата введения: | 01.02.2000 |
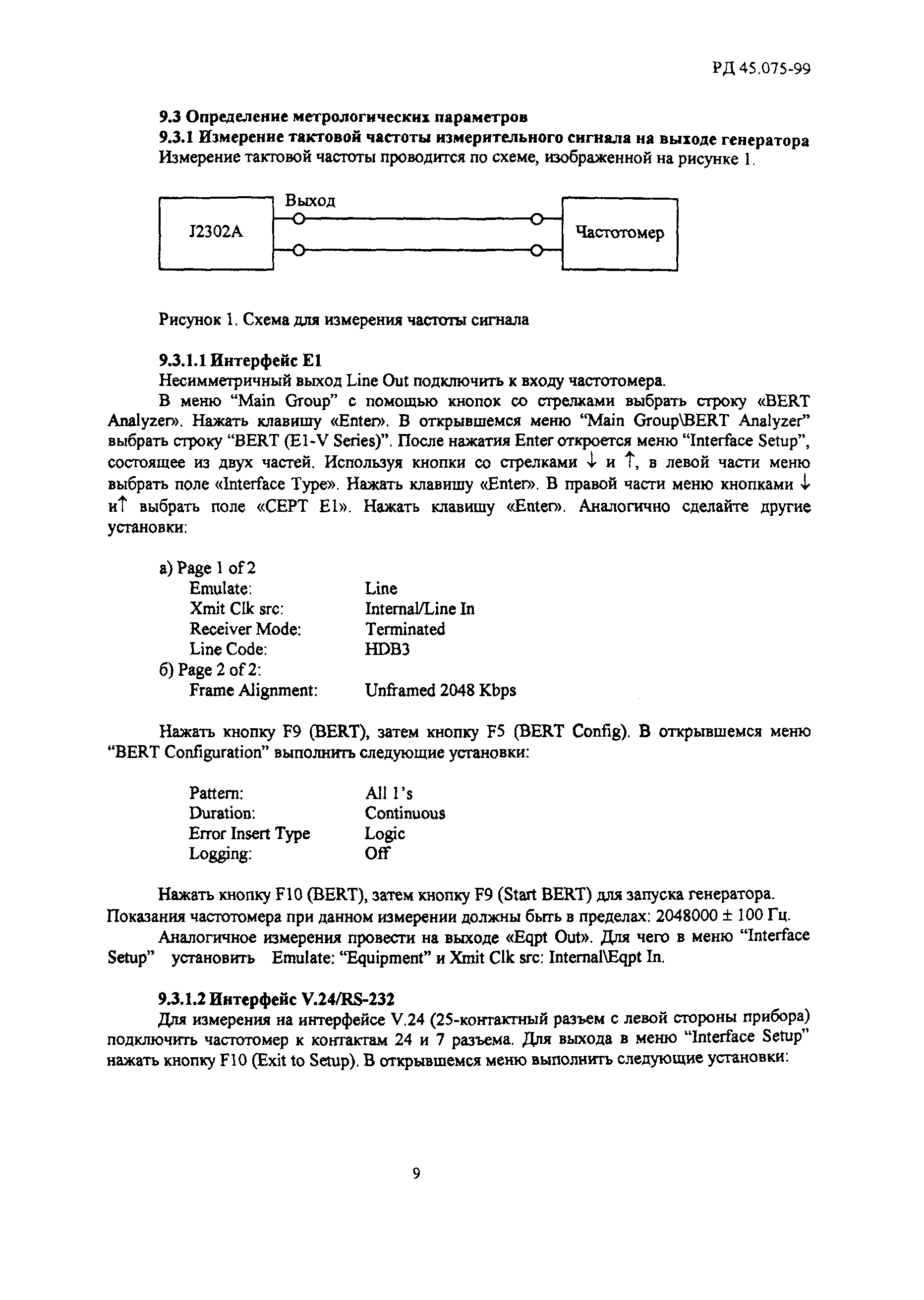
| Область применения: | Руководящий документ устанавливает порядок поверки межсетевых анализаторов протоколов J2302A. Требования РД обязательны для выполнения специалистами метрологической службы отрасли, занимающихся поверкой данного типа средств измерений. |
| Оглавление: | 1 Область применения 2 Нормативные ссылки 3 Определения 4 Операции поверки 5 Средствак поверки 6 Условия поверки 7 Требования к квалификации поверителя 8 Требования безопасности 9 Проведение поверки 10 Оформление результатов поверки Приложение А Библиография |
| Разработан: | МТУСиИ |
| Утверждён: | 27.01.2000 Минсвязи России (Russian Federation Minsvyazi 327) |
| Издан: | ЦНТИ Информсвязь (1999 г. ) |
| Нормативные ссылки: |
|

















