Скачать Серия 1.462.1-3/89 Выпуск 1. Балки пролетами 12 и 18 м. Рабочие чертежиДата актуализации: 01.01.2021
|
| Обозначение: | Серия 1.462.1-3/89 |
| Обозначение англ: | Series 1.462.1-3/89 |
| Статус: | не определен законодательством |
| Название рус.: | Выпуск 1. Балки пролетами 12 и 18 м. Рабочие чертежи |
| Дата добавления в базу: | 01.09.2013 |
| Дата актуализации: | 01.01.2021 |
| Дата введения: | 01.09.1989 |
| Дата окончания срока действия: | 30.06.2003 |
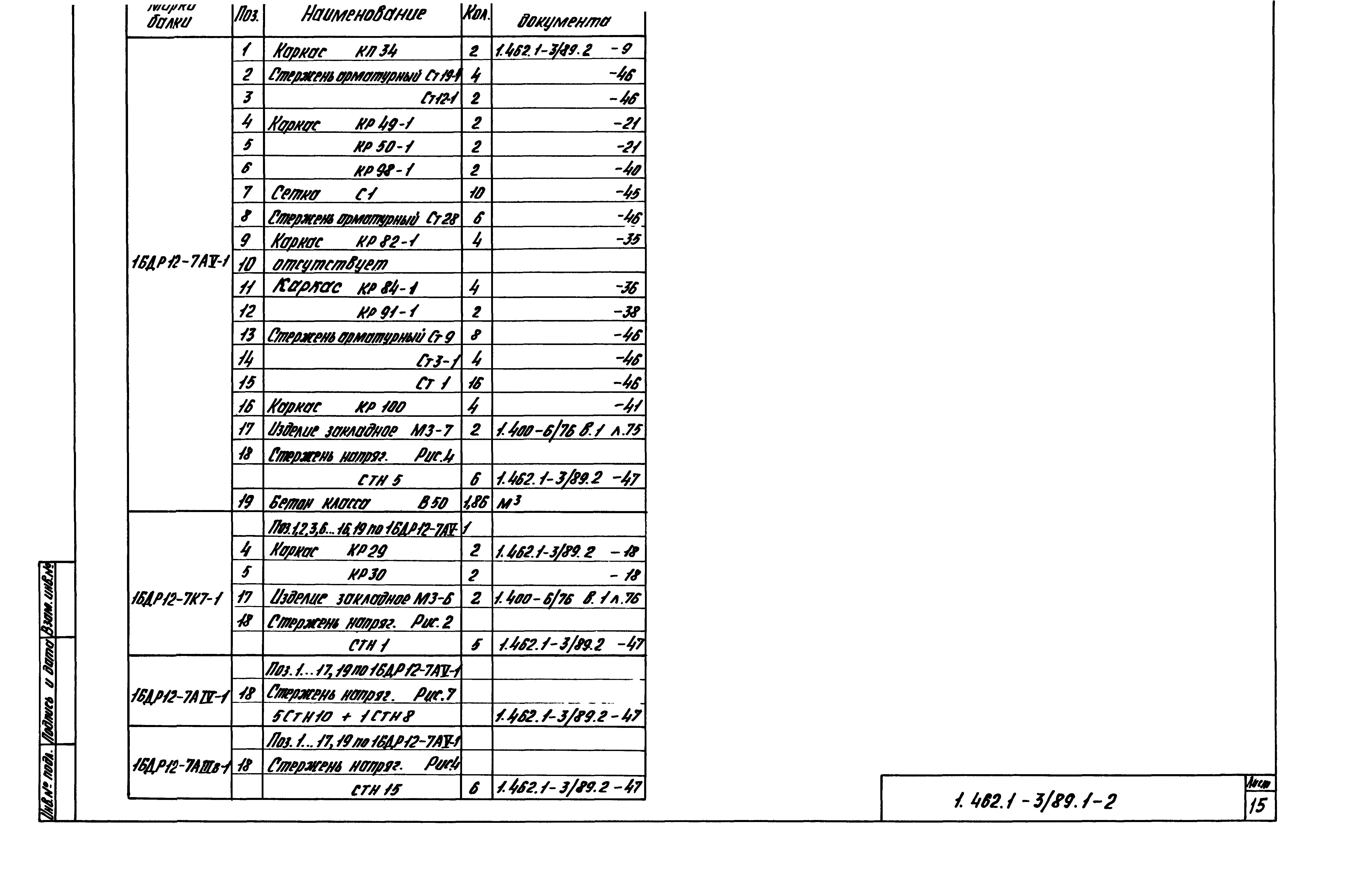
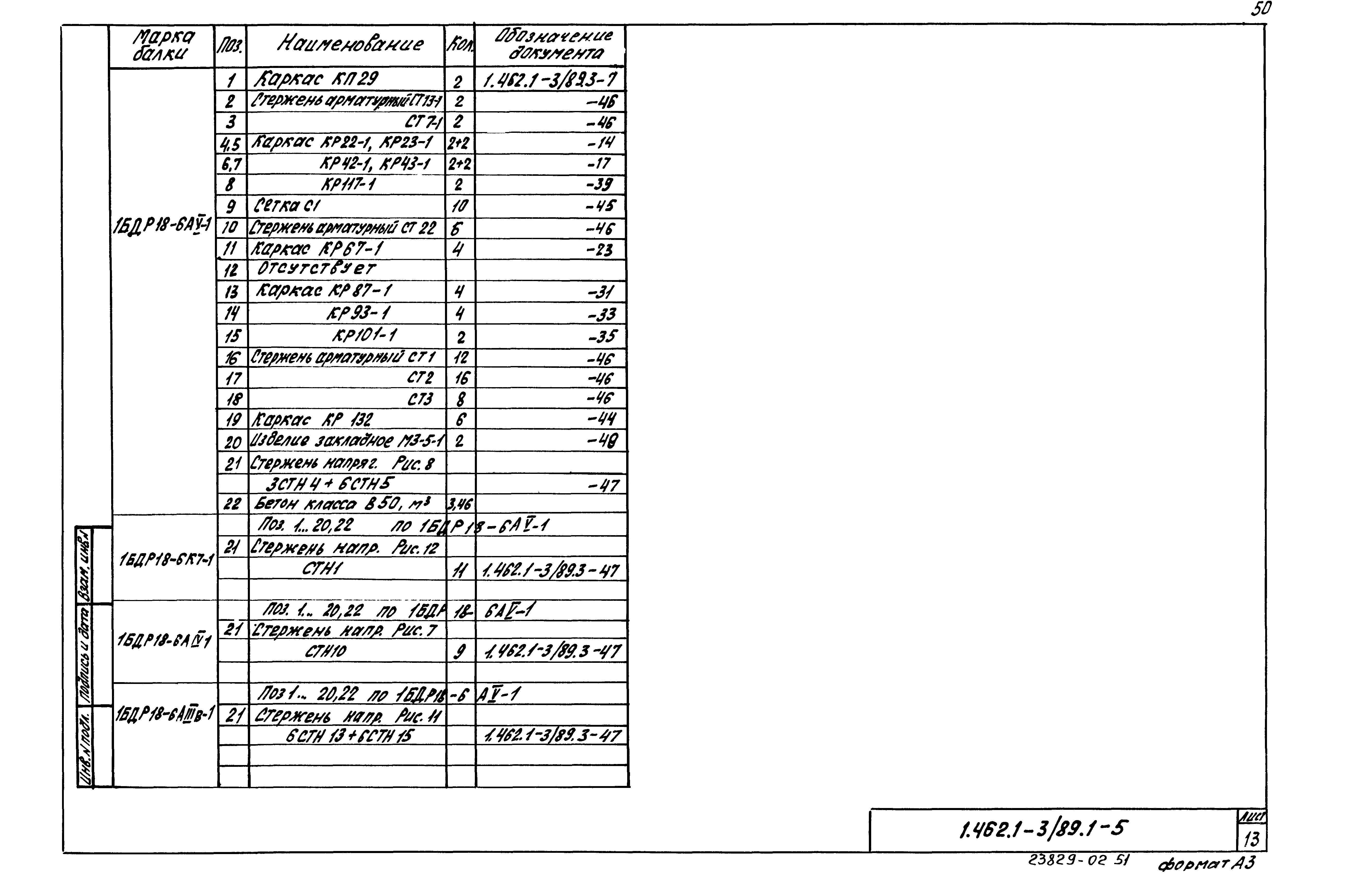
| Оглавление: | 1.462.1-3/89.1-ТУ Технические условия 1.462.1-3/89.1-1ФЧ Балка типа БДР12. Чертеж формы 1.462.1-3/89.1-2 Балка 1БДР12 1.462.1-3/89.1-3 Балка 2БДР12 1.462.1-3/89.1-4ФЧ Балка типа БДР18. Чертеж формы 1.462.1-3/89.1-5 Балка 1БДР18 1.462.1-3/89.1-6 Балка 2БДР18 1.462.1-3/89.1-7 Балка 3БДР18 1.462.1-3/89.1-8СМ Контрольные нагрузки и схемы испытаний балок |
| Разработан: | ПИ № 1 Госстроя СССР НИИЖБ |
| Утверждён: | 06.02.1989 Главпроект Госстроя СССР (4/6-173) |
| Издан: | ЦИТП Госстроя СССР (CITP, Gosstroy (USSR) 1989 г. ) |
| Заменяет собой: |
















































































