Скачать Серия 1.464.2-25.93 Выпуск 5. Механизмы открывания переплетов. Рабочие чертежиДата актуализации: 01.01.2021
|
| Обозначение: | Серия 1.464.2-25.93 |
| Обозначение англ: | Series 1.464.2-25.93 |
| Статус: | не определен законодательством |
| Название рус.: | Выпуск 5. Механизмы открывания переплетов. Рабочие чертежи |
| Дата добавления в базу: | 01.09.2013 |
| Дата актуализации: | 01.01.2021 |
| Дата введения: | 01.11.1993 |
| Дата окончания срока действия: | 30.06.2003 |
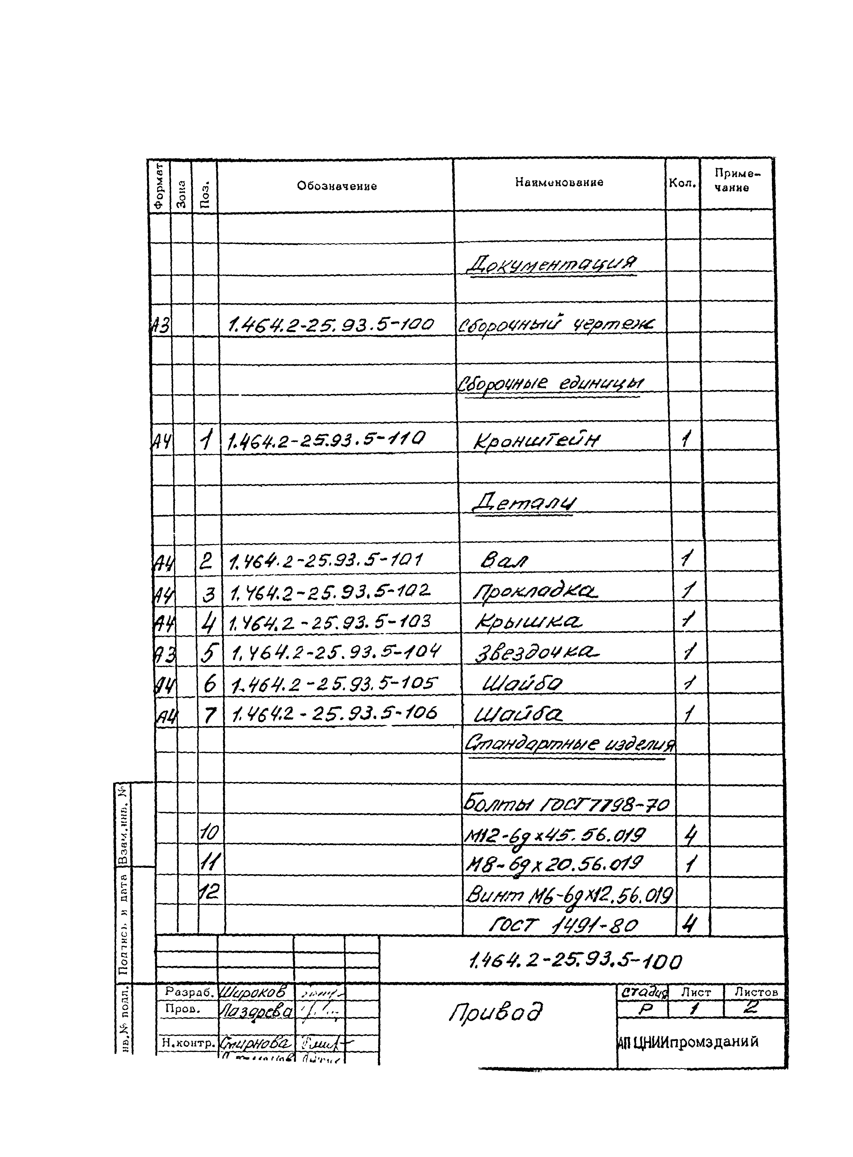
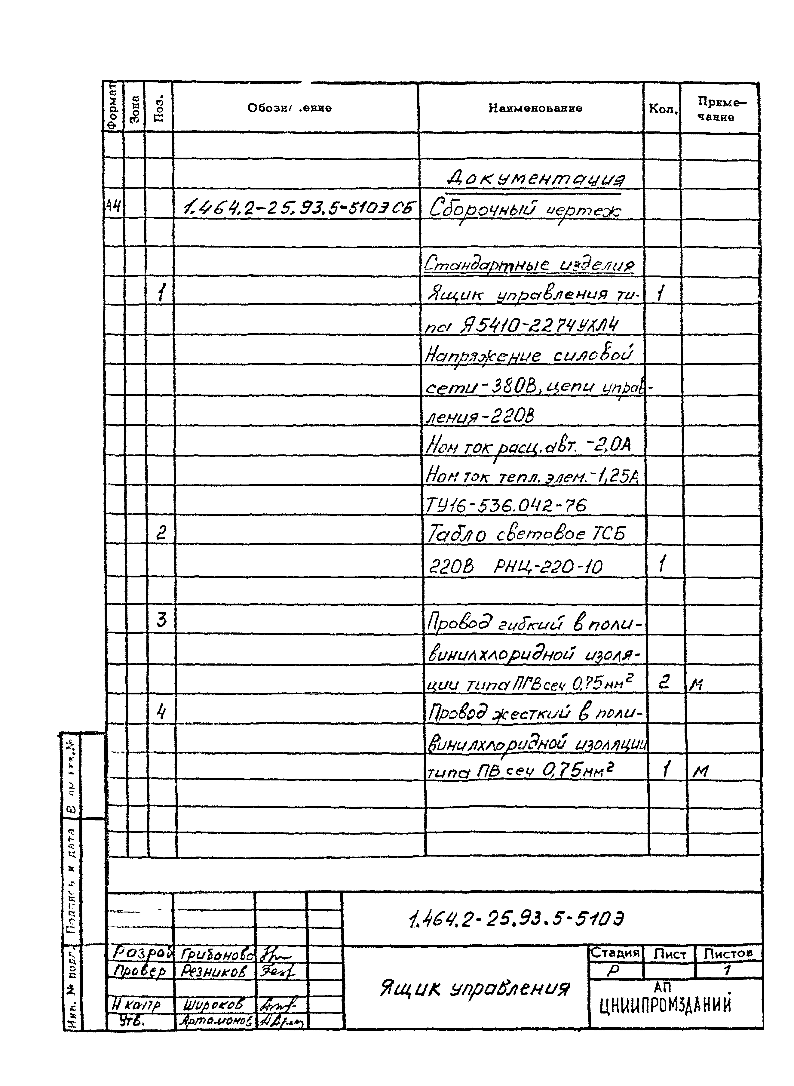
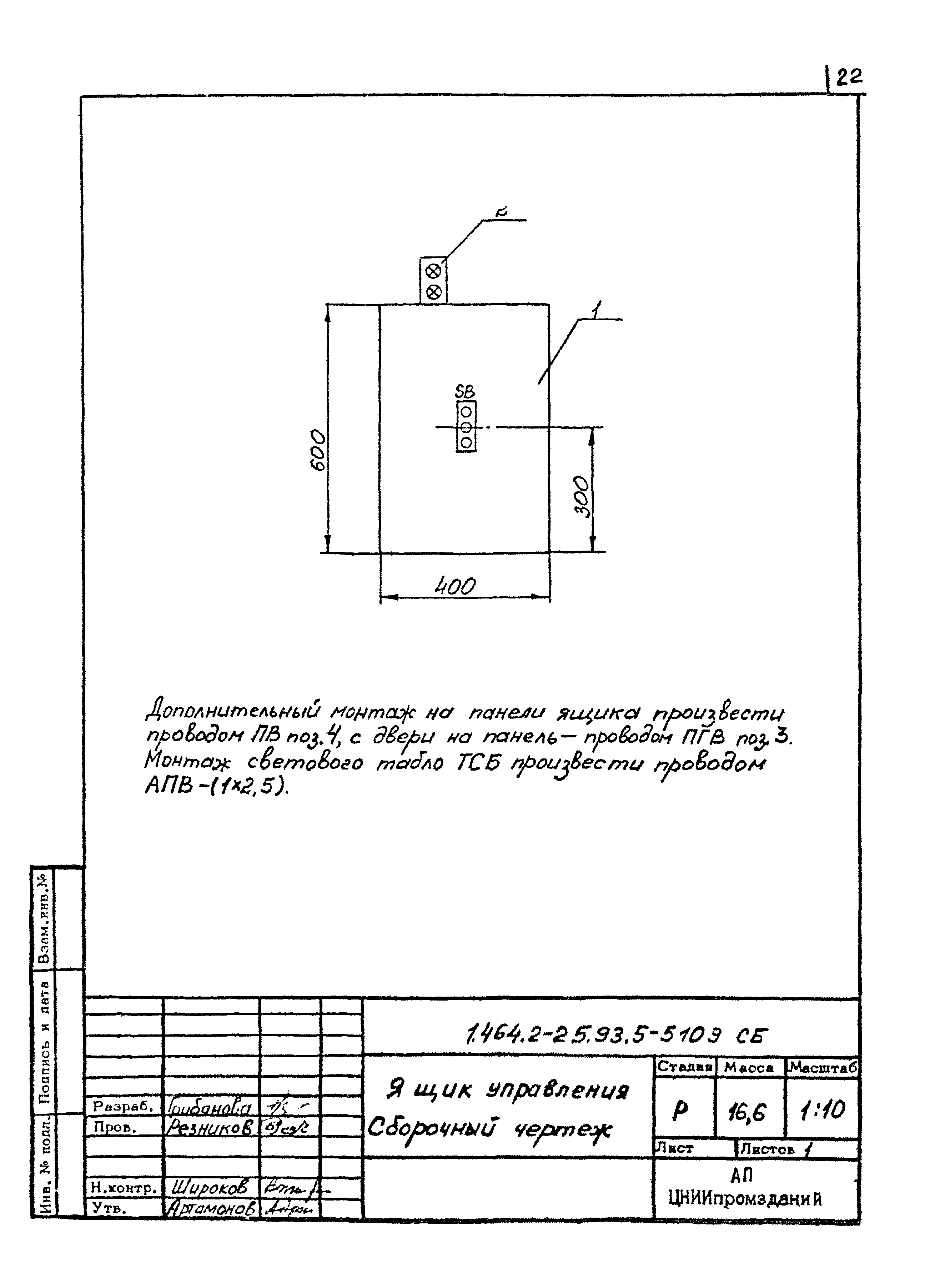
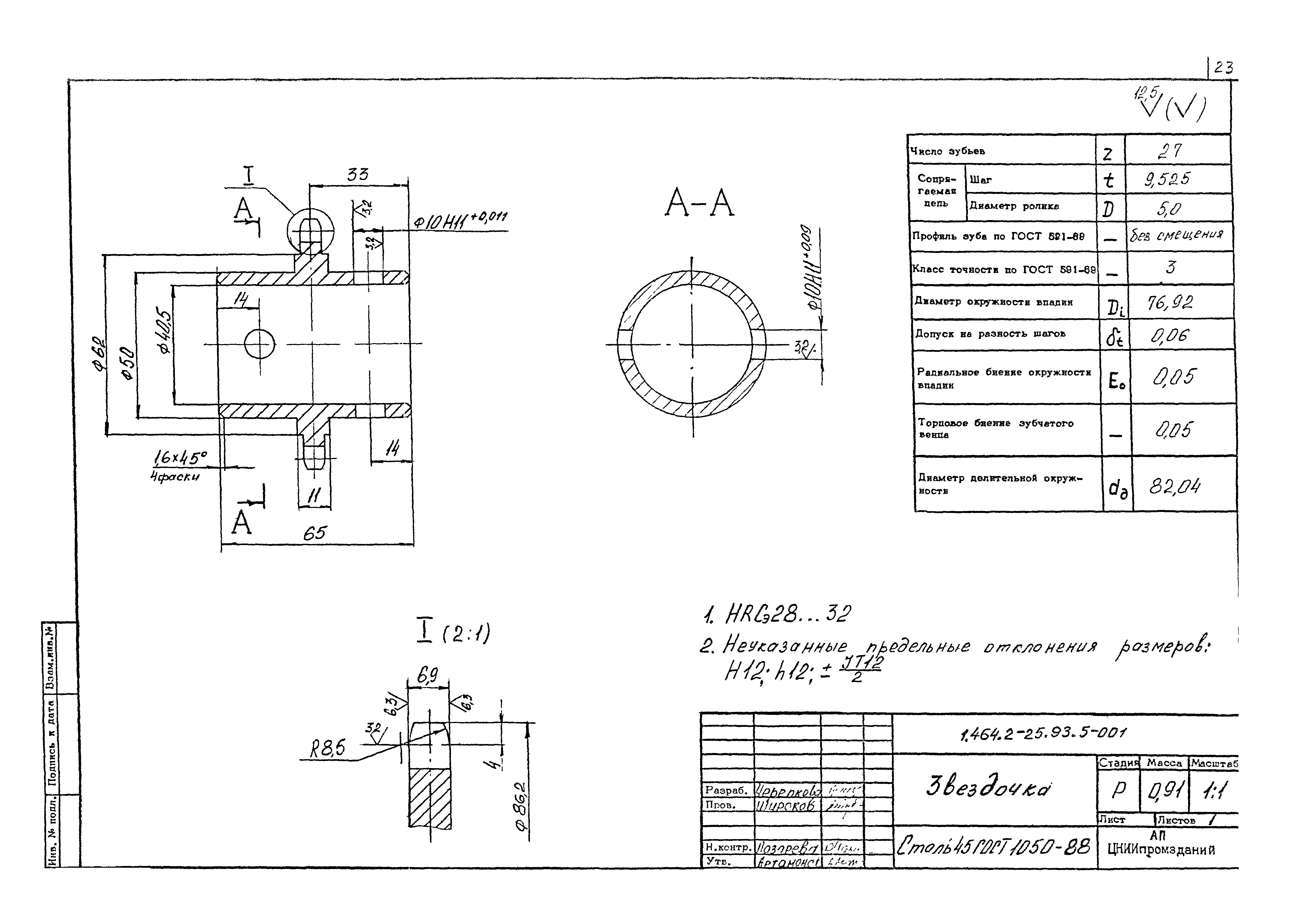
| Оглавление: | 1.464.2-25.93.5-ТТ Технические требования 1.464.2-25.93.5-000 Механизм открывания переплетов светоаэрационных фонарей 1.464.2-25.93.5-009 Основание 1.464.2-25.93.5-000 СБ Механизмы открывания переплетов светоаэрационных фонарей. Сборочный чертеж 1.464.2-25.93.5-100 Привод 1.464.2-25.93.5-100 СБ Привод. Сборочный чертеж 1.464.2-25.93.5-200 Опора 1.464.2-25.93.5-110 Кронштейн 1.464.2-25.93.5-110 СБ Кронштейн. Сборочный чертеж 1.464.2-25.93.5-200 СБ Опора. Сборочный чертеж 1.464.2-25.93.5-300 Рейка 1.464.2-25.93.5-300 СБ Рейка. Сборочный чертеж 1.464.2-25.93.5-400 Кронштейн 1.464.2-25.93.5-400 СБ Кронштейн. Сборочный чертеж 1.464.2-25.93.5-500Э Электрооборудование 1.464.2-25.93.5-500Э-МЧ Электрооборудование. Монтажный чертеж 1.464.2-25.93.5-510Э Ящик управления 1.464.2-25.93.5-510Э СБ Ящик управления. Сборочный чертеж 1.464.2-25.93.5-001 Звездочка 1.464.2-25.93.5-002 Кольцо 1.464.2-25.93.5-007 Муфта 1.464.2-25.93.5-004 Крышка 1.464.2-25.93.5-003 Хомут 1.464.2-25.93.5-005 Вал-звездочка 1.464.2-25.93.5-103 Крышка 1.464.2-25.93.5-006 Втулка 1.464.2-25.93.5-010 Скоба 1.464.2-25.93.5-008 Уголок 1.464.2-25.93.5-101 Вал 1.464.2-25.93.5-102 Прокладка 1.464.2-25.93.5-104 Звездочка 1.464.2-25.93.5-105 Шайба 1.464.2-25.93.5-100 Шайба 1.464.2-25.93.5-111 Втулка 1.464.2-25.93.5-112 Стенка 1.464.2-25.93.5-113 Основание 1.464.2-25.93.5-114 Косынка 1.464.2-25.93.5-202 Стойка 1.464.2-25.93.5-201 Втулка 1.464.2-25.93.5-301 Скоба 1.464.2-25.93.5-302 Вилка 1.464.2-25.93.5-303 Гайка 1.464.2-25.93.5-304 Пружина 1.464.2-25.93.5-305 Ось 1.464.2-25.93.5-306 Втулка 1.464.2-25.93.5-402 Основание 1.464.2-25.93.5-401 Косынка |
| Разработан: | ЦНИИпромзданий |
| Утверждён: | 18.08.1993 Госстрой России (Russian Federation Gosstroy 9-3-3/179) |
| Заменяет собой: |




























































