Скачать Серия 1.200.1-1с Выпуск 1-1. Арматурные изделия. Рабочие чертежиДата актуализации: 01.01.2021
|
| Обозначение: | Серия 1.200.1-1с |
| Обозначение англ: | Series 1.200.1-1с |
| Статус: | не определен законодательством |
| Название рус.: | Выпуск 1-1. Арматурные изделия. Рабочие чертежи |
| Дата добавления в базу: | 01.09.2013 |
| Дата актуализации: | 01.01.2021 |
| Дата введения: | 01.10.1990 |
| Дата окончания срока действия: | 30.06.2003 |
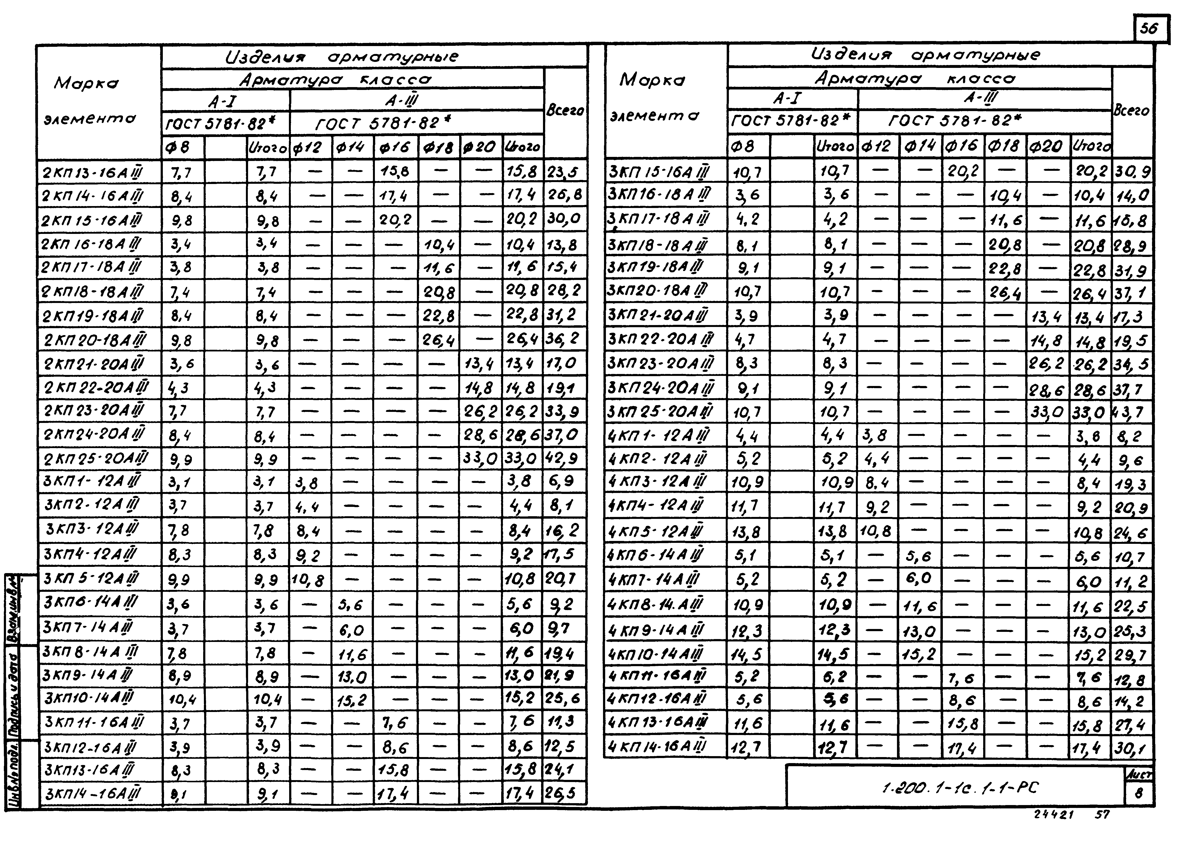
| Оглавление: | 1.200.1-1с.1-1-ПЗ Пояснительная записка 1.200.1-1с.1-1-1 Каркас пространственный КСО. Каркас пространственный 1.200.1-1с.1-1-1 СБ КСО. Сборочный чертеж 1.200.1-1с.1-1-2 Каркас плоский КС 1.200.1-1с.1-1-2 СБ Каркас плоский КС. Сборочный чертеж 1.200.1-1с.1-1-3 Каркас пространственный КВО 1.200.1-1с.1-1-3 СБ Каркас пространственный КВО. Сборочный чертеж 1.200.1-1с.1-1-4 Каркас плоский КВ 1.200.1-1с.1-1-4 СБ Каркас плоский КВ. Сборочный чертеж 1.200.1-1с.1-1-5 Каркас перемычки КП 1.200.1-1с.1-1-5 СБ Каркас перемычки КП. Сборочный чертеж 1.200.1-1с.1-1-РС Ведомость расхода стали, кг |
| Разработан: | ТашЗНИИЭП Госгражданстроя |
| Утверждён: | 07.03.1990 Госкомархитектура (42) |
| Издан: | ГУП ЦПП (CPP GUP 2000 г. ) |


























































