Скачать МУК 4.2.1887-04 Лабораторная диагностика менингококковой инфекции и гнойных бактериальных менингитовДата актуализации: 01.01.2021
|
| Обозначение: | МУК 4.2.1887-04 |
| Обозначение англ: | MUK 4.2.1887-04 |
| Статус: | действует |
| Название рус.: | Лабораторная диагностика менингококковой инфекции и гнойных бактериальных менингитов |
| Дата добавления в базу: | 01.09.2013 |
| Дата актуализации: | 01.01.2021 |
| Дата введения: | 04.03.2005 |
| Область применения: | В методических указаниях изложены организационные и методологические принципы лабораторной диагностики менингококковой инфекции и гнойных бактериальных менингитов. |
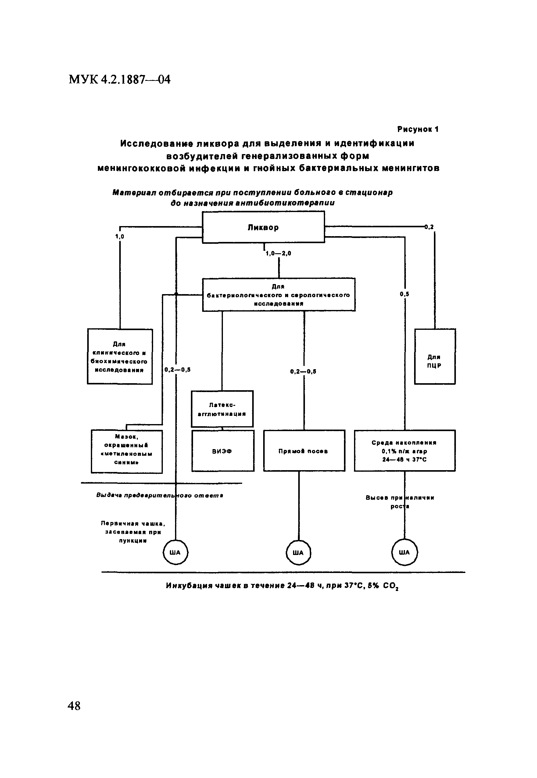
| Оглавление: | 1 Область применения 2 Общие сведения 3 Эпидемиологические особенности менингококковой инфекции и гнойных бактериальных менингитов 4 Основные принципы лабораторной диагностики менингококковой инфекции и гнойных бактериальных менингитов 5 Отбор материала для исследования 5.1 Спинно-мозговая жидкость 5.2 Кровь 5.3 Назофарингеальная слизь 6 Доставка и хранение материала 7 Методы исследования 7.1 Бактериоскопия 7.2 Бактериологический посев 7.3 Реакция латекс-агглютинации (экспресс-метод) 7.4 Встречный иммуноэлектрофорез (ВИЭФ - экспресс-метод) 7.5 Реакция непрямой гемагглютинации (РНГА) 7.6 Методы определения лекарственной чувствительности 8 Лабораторная диагностика менингококковой инфекции и гнойных бактериальных менингитов 8.1 Менингококковая инфекция 8.2 Пневмококковые менингиты 8.3 Гемофильные менингиты, обусловленные Haemophilus influenzae типа "b" 8.4 Гнойные бактериальные менингиты, обусловленные "прочими" возбудителями 9 Питательные среды и реактивы 9.1 Питательные среды 9.2 Рецепты приготовления красок |
| Разработан: | Центр Госсанэпиднадзора в г. Москве (ГЦЦСЭН в г. Москве) Департамент госсанэпиднадзора Минздрава России ЦНИИ эпидемиологии Минздрава России |
| Утверждён: | 04.03.2005 Главный государственный санитарный врач РФ (Russian Federation Chief Public Health Officer ) |



















































