Скачать Том III. Сборник средних сметных цен на материалы, изделия и конструкции, применяемые в строительстве, в разрезе субъектов Российской Федерации. В текущем уровне цен (I квартал 2007 г.)Дата актуализации: 01.01.2021
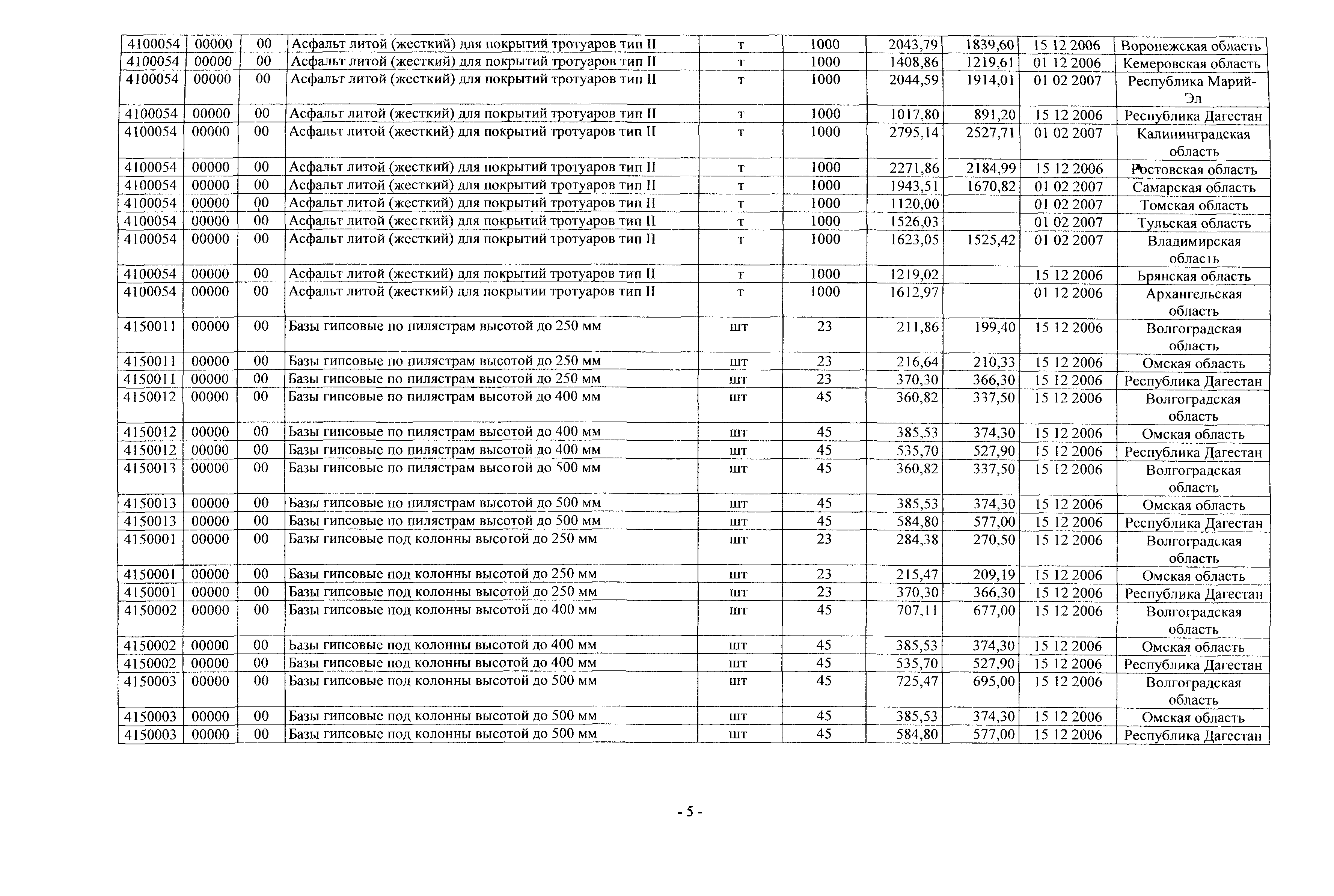
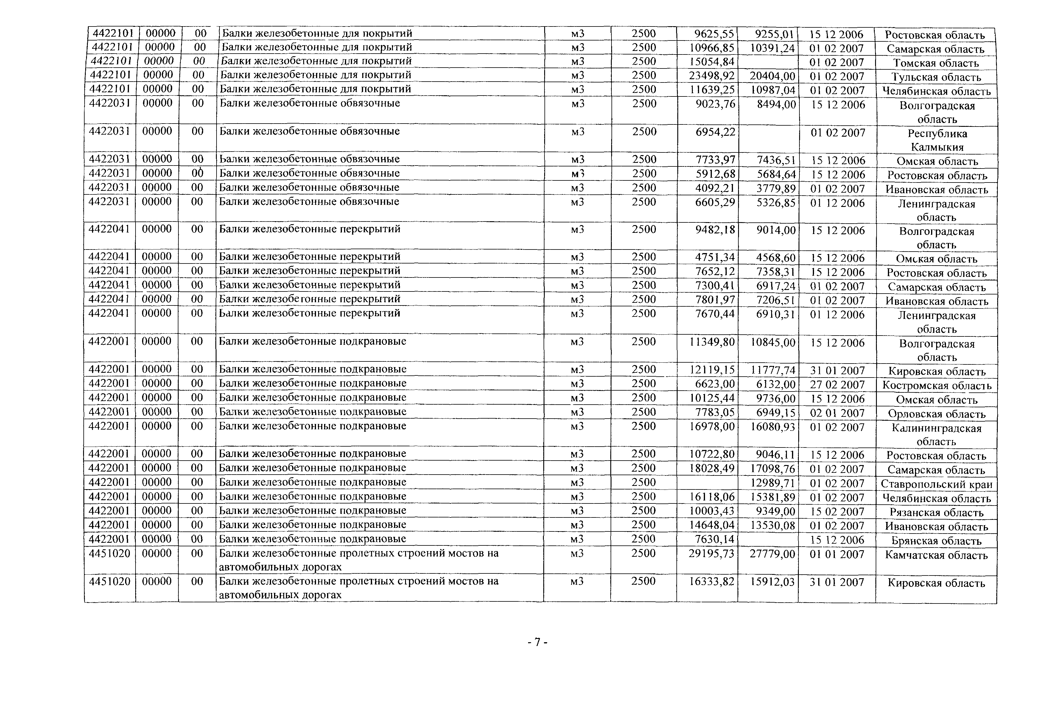
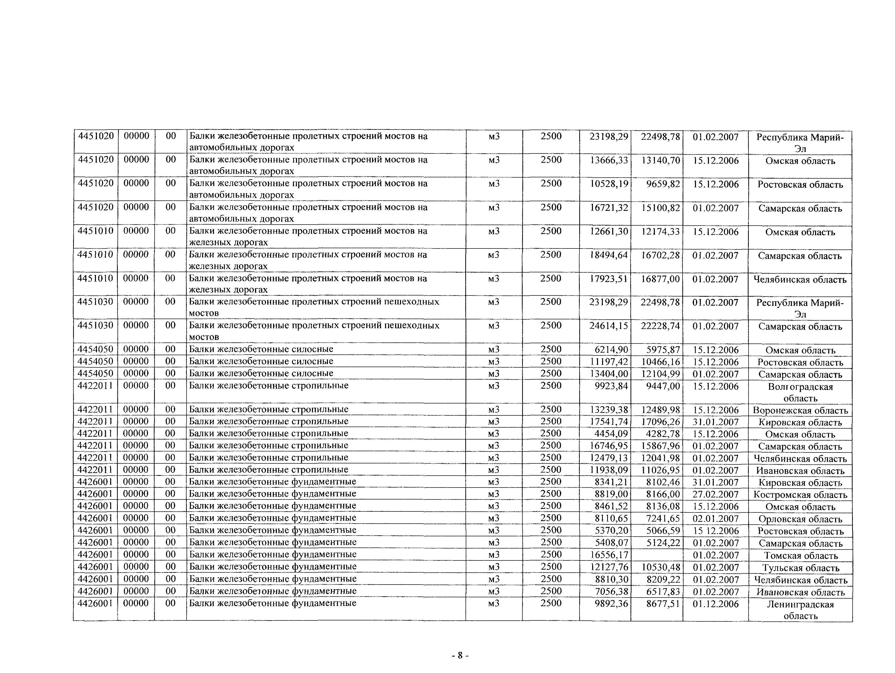
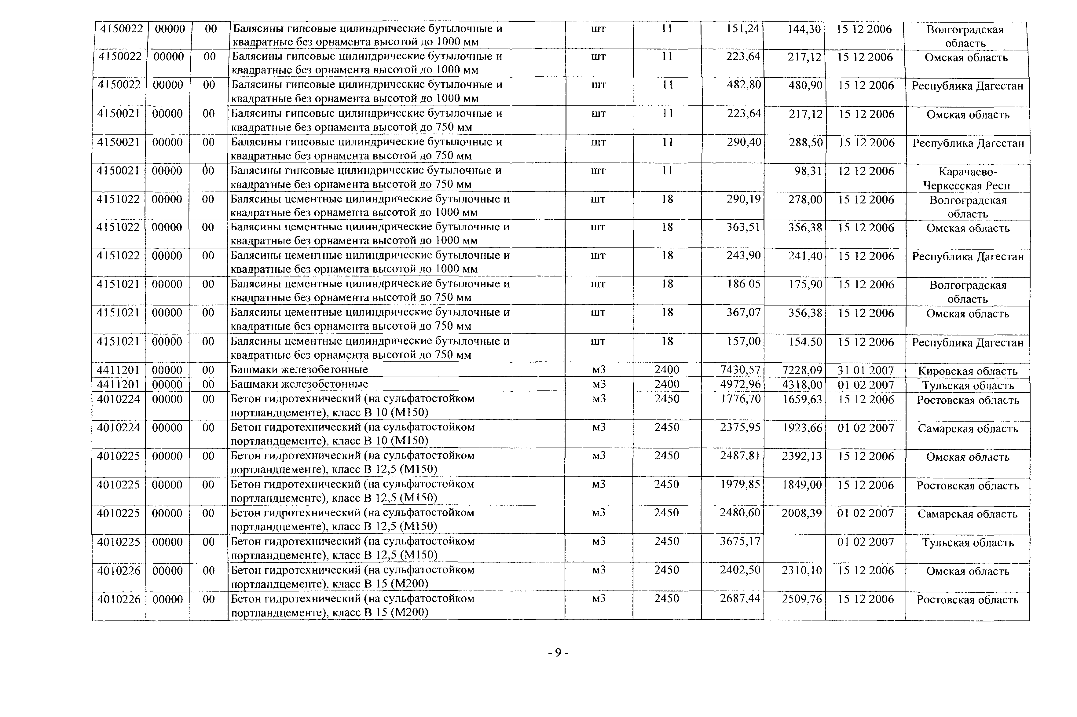
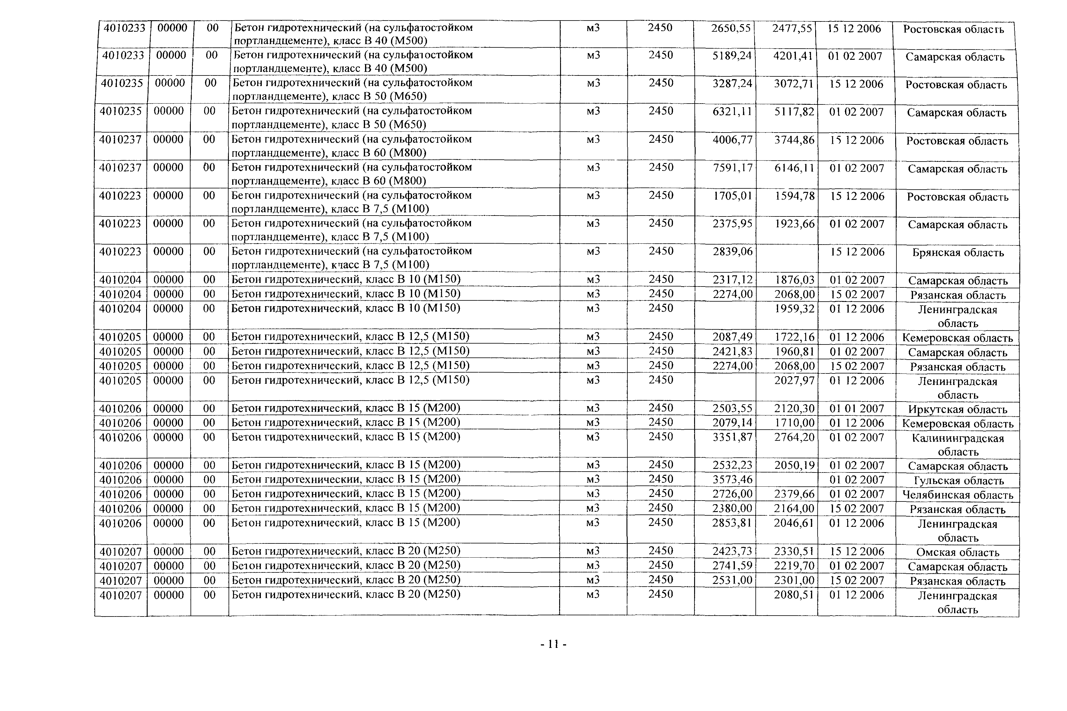
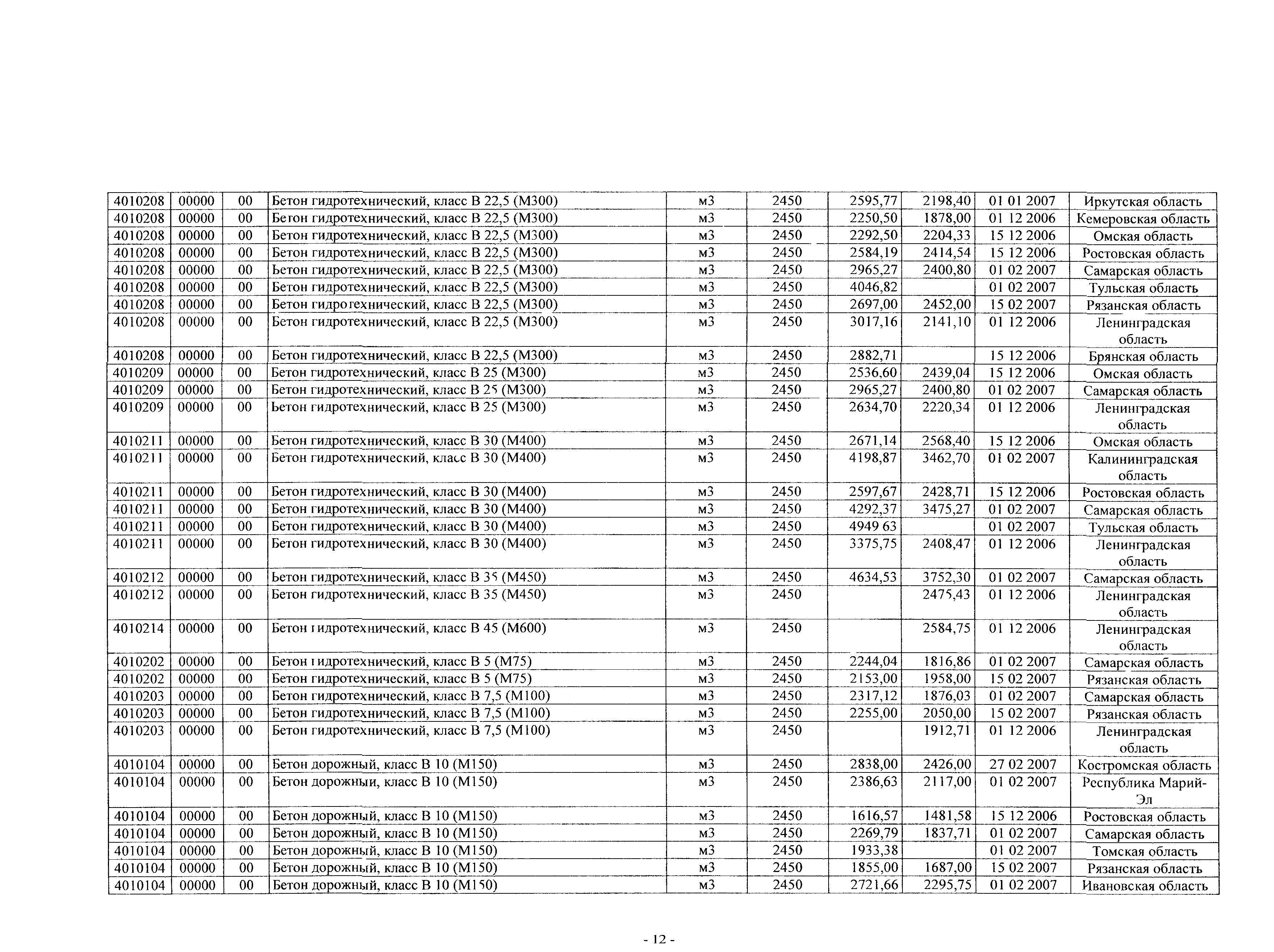
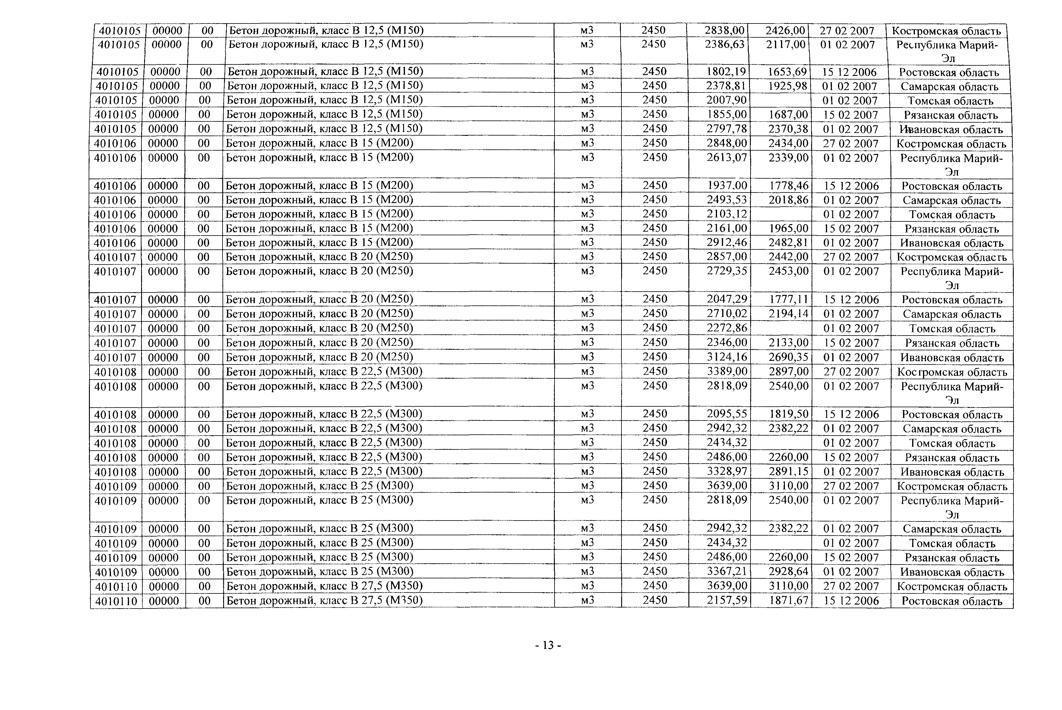
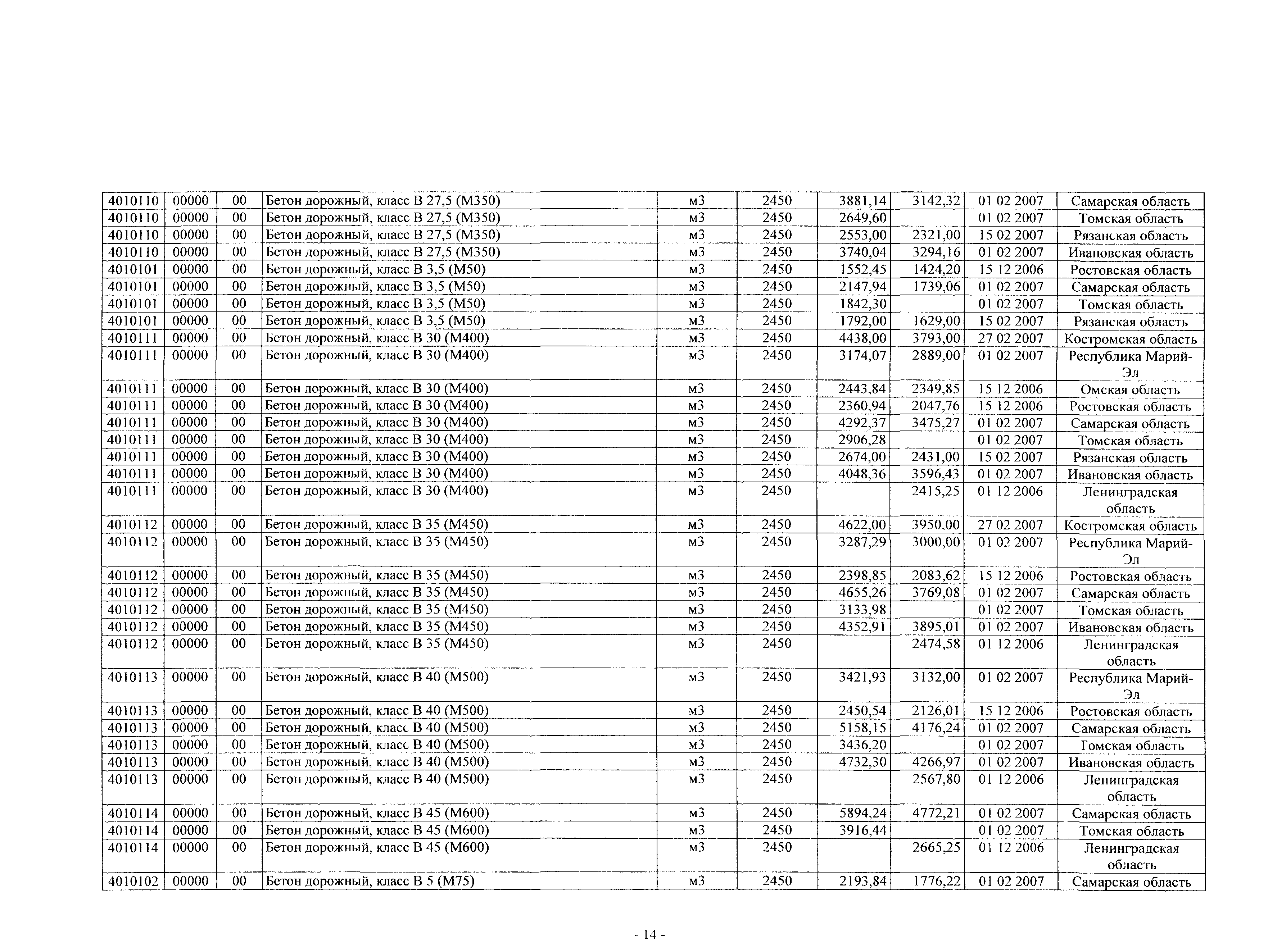
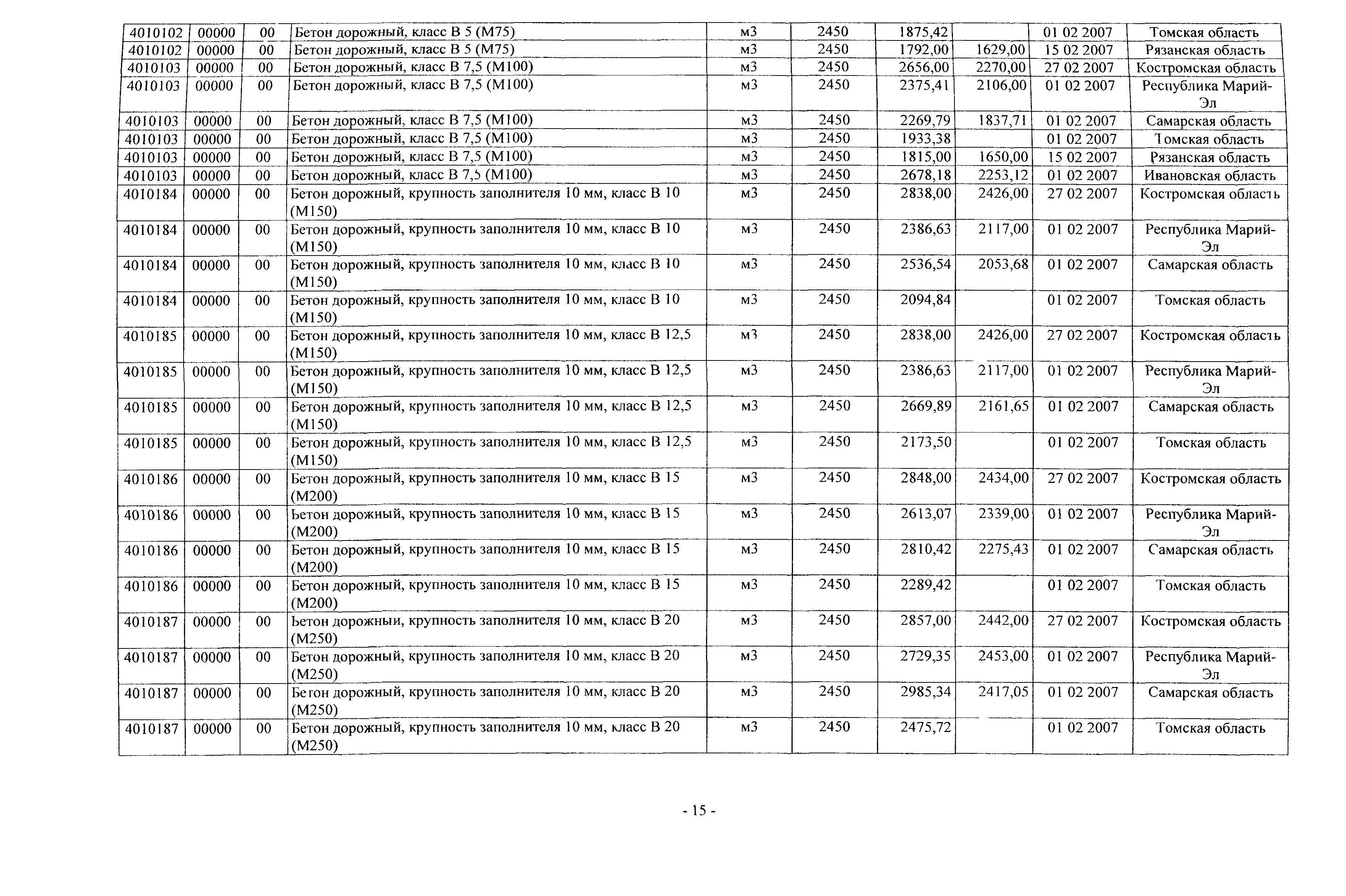
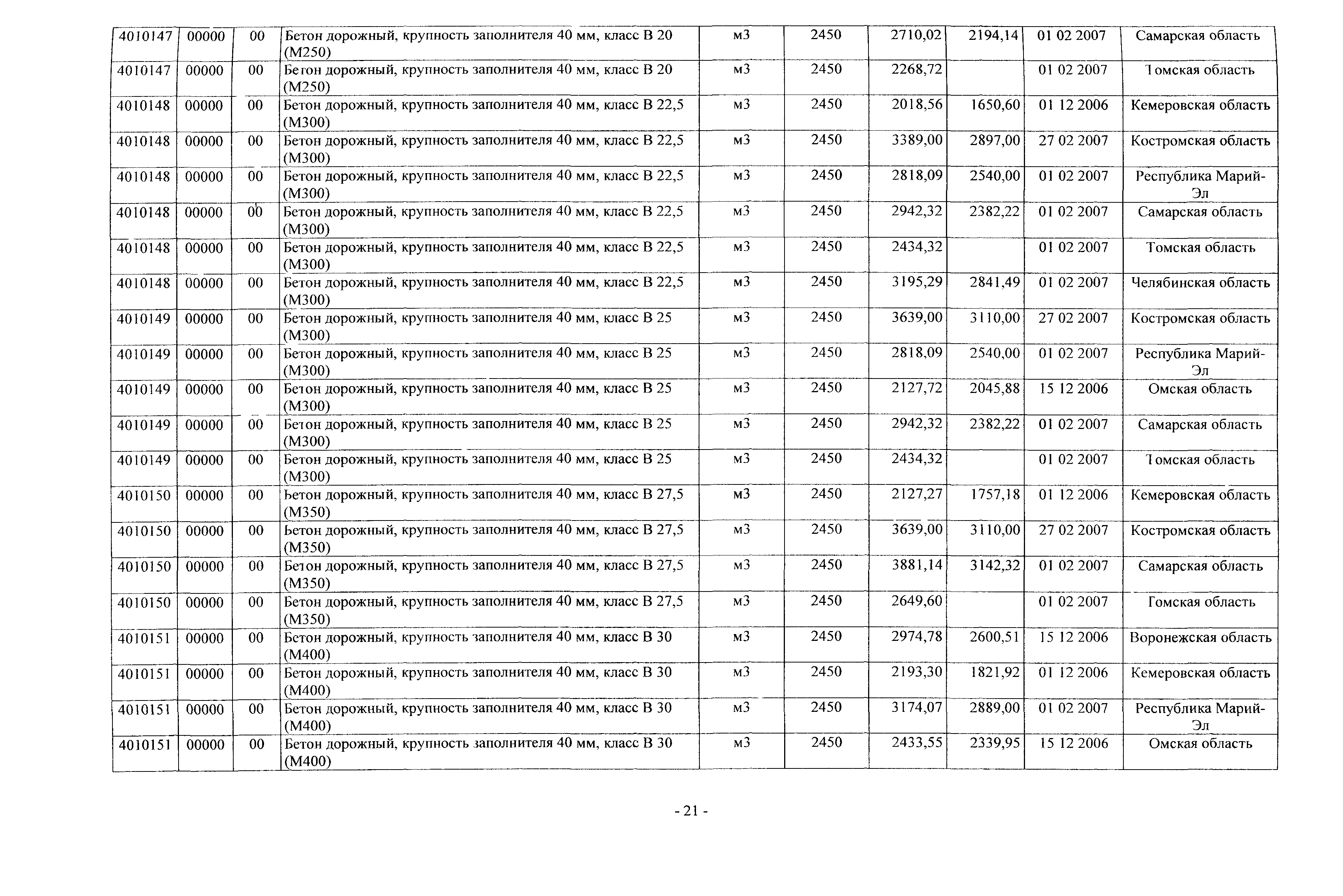
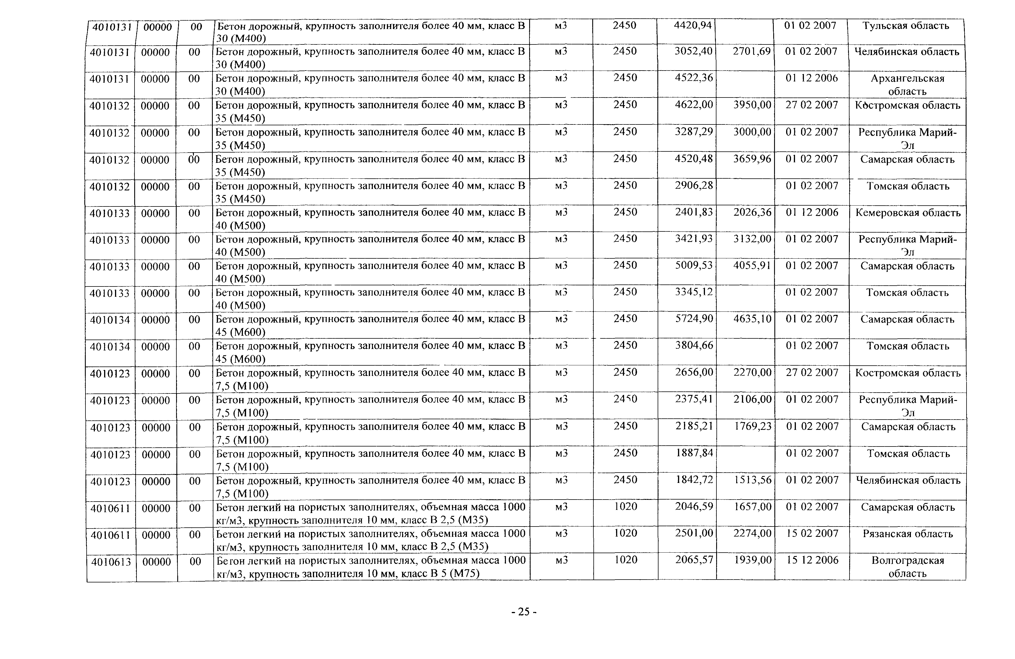
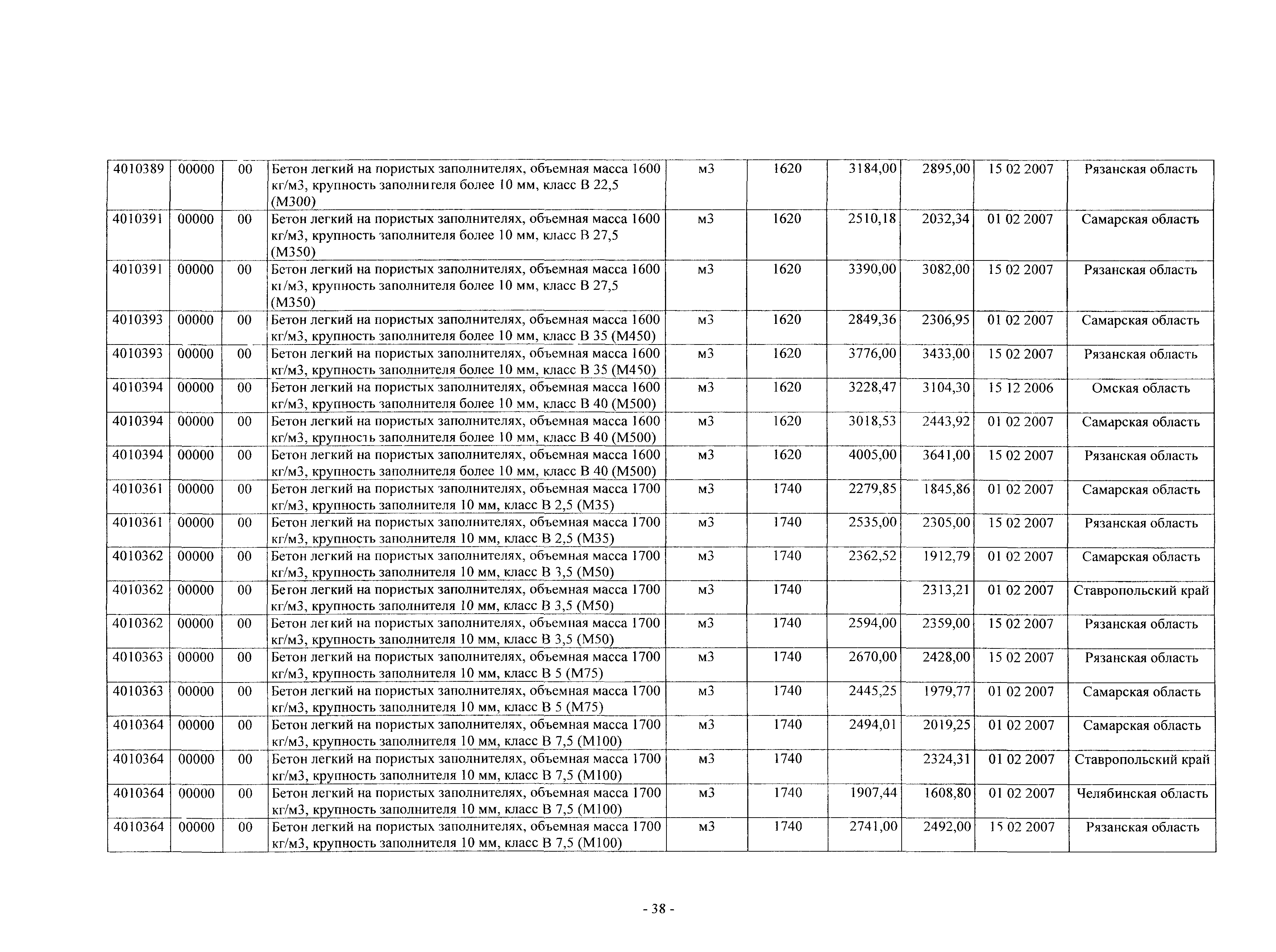
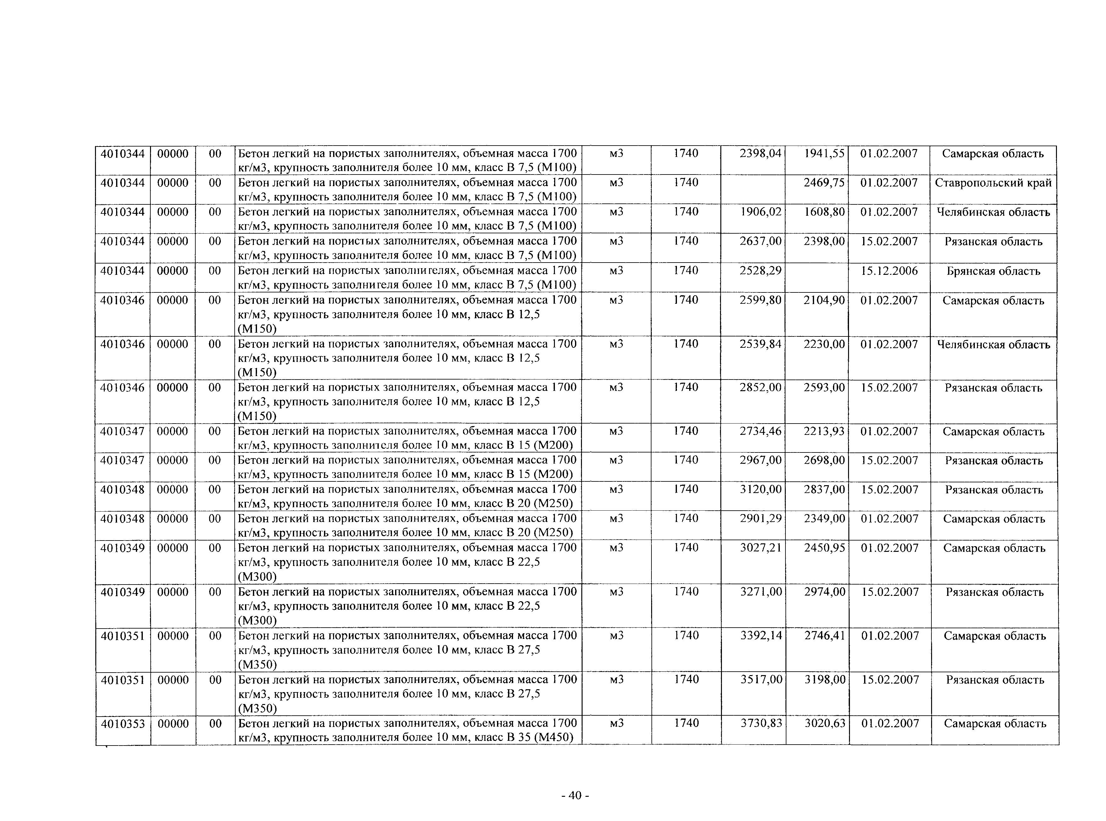
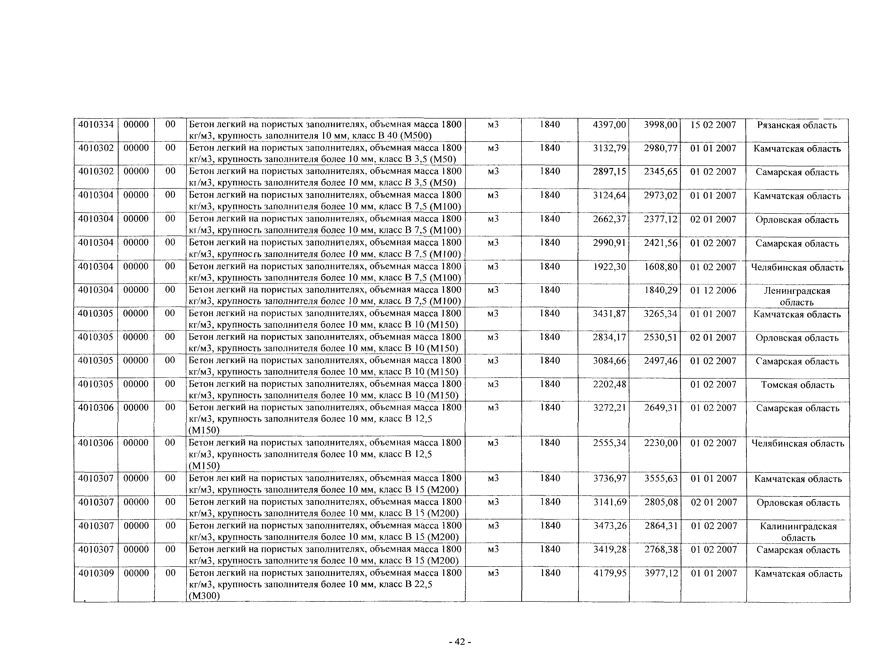
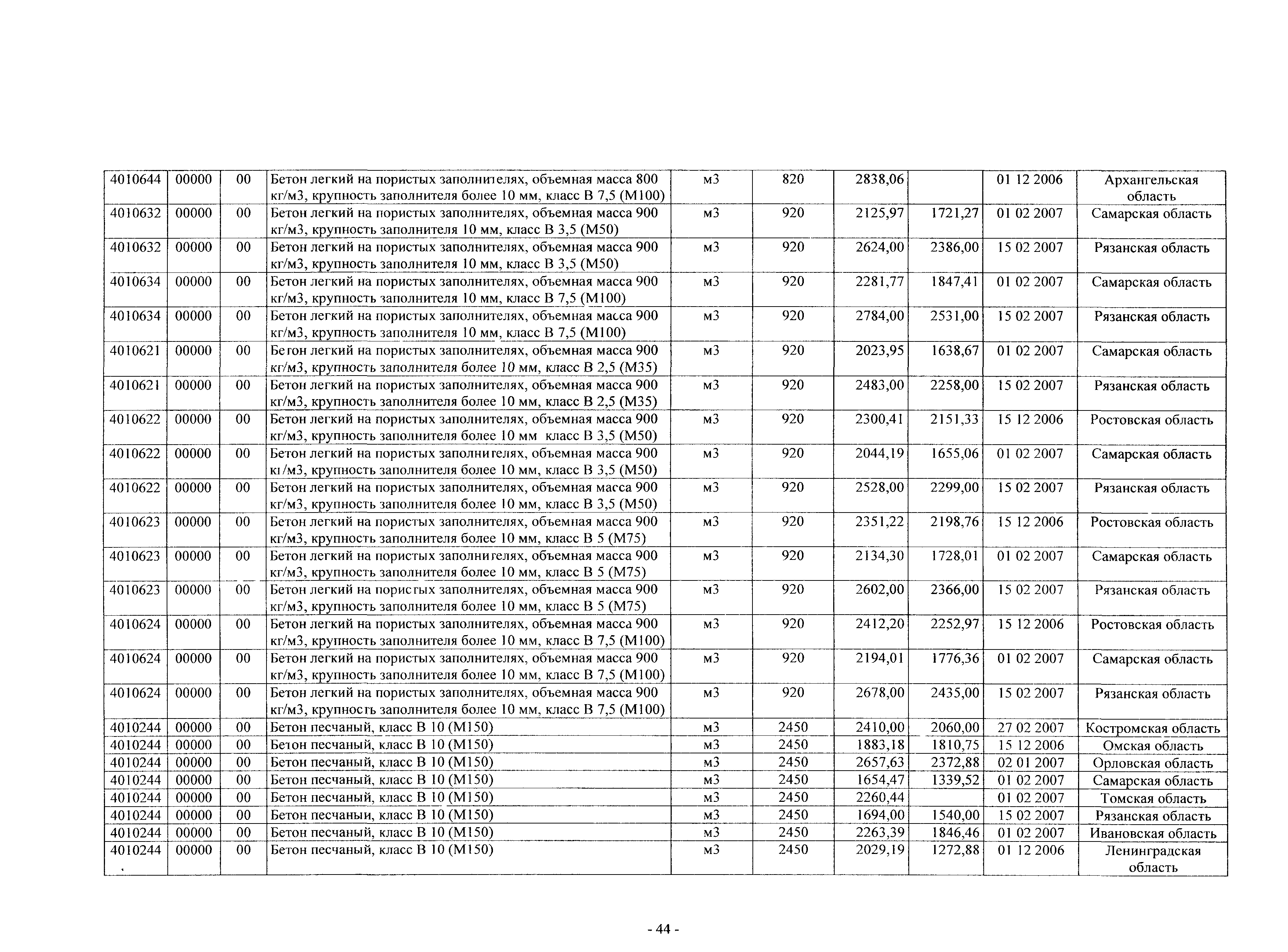
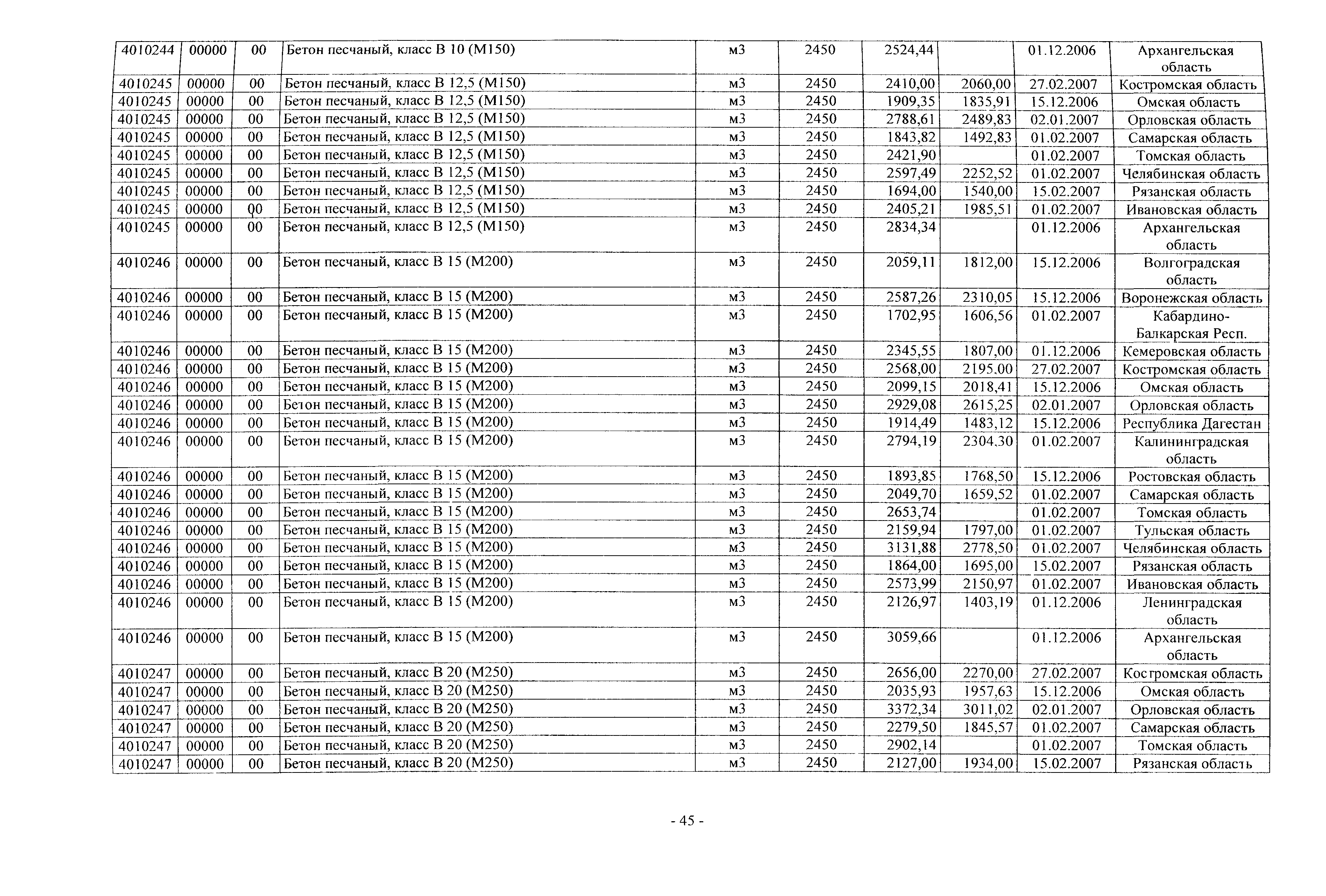
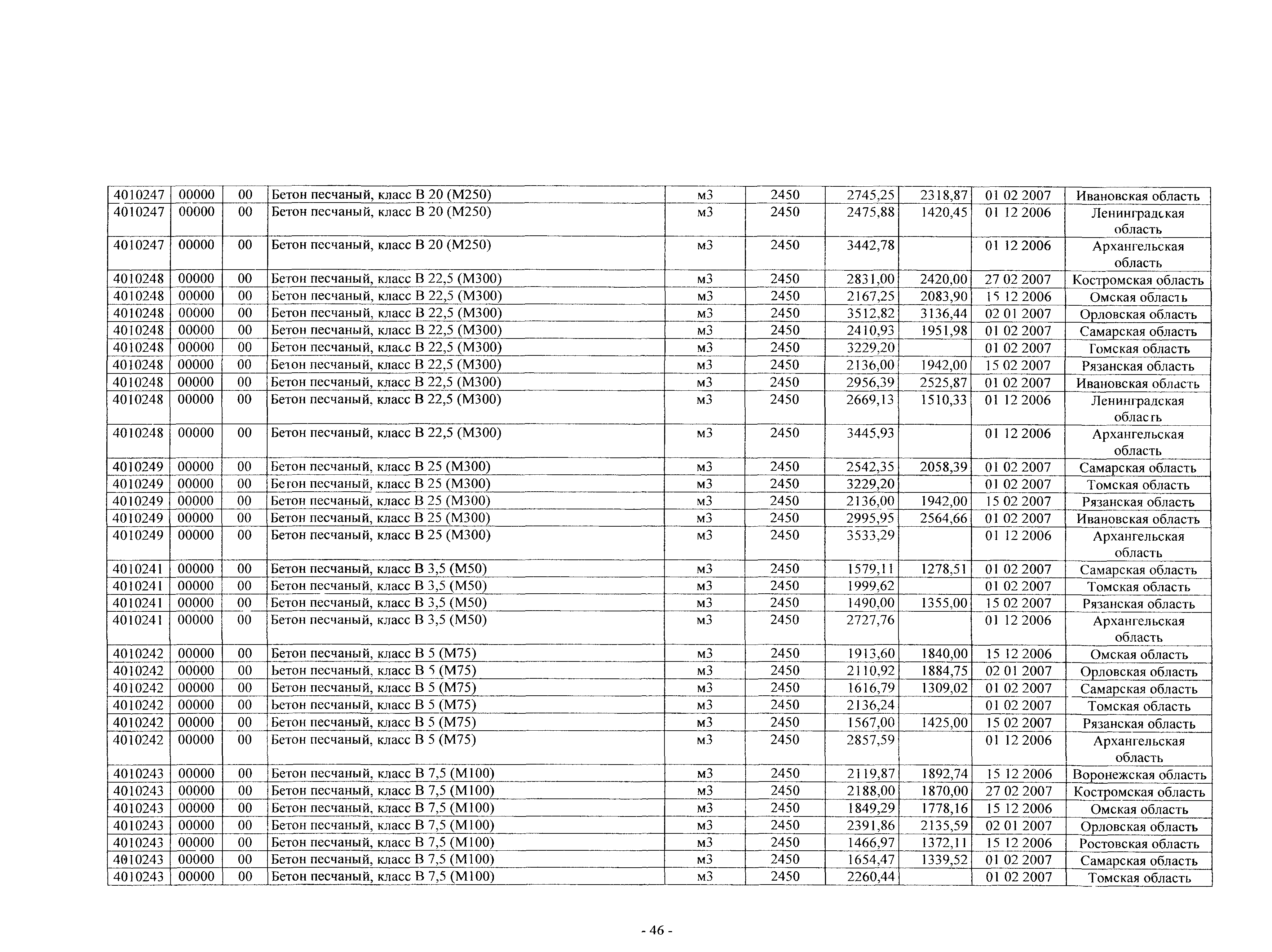
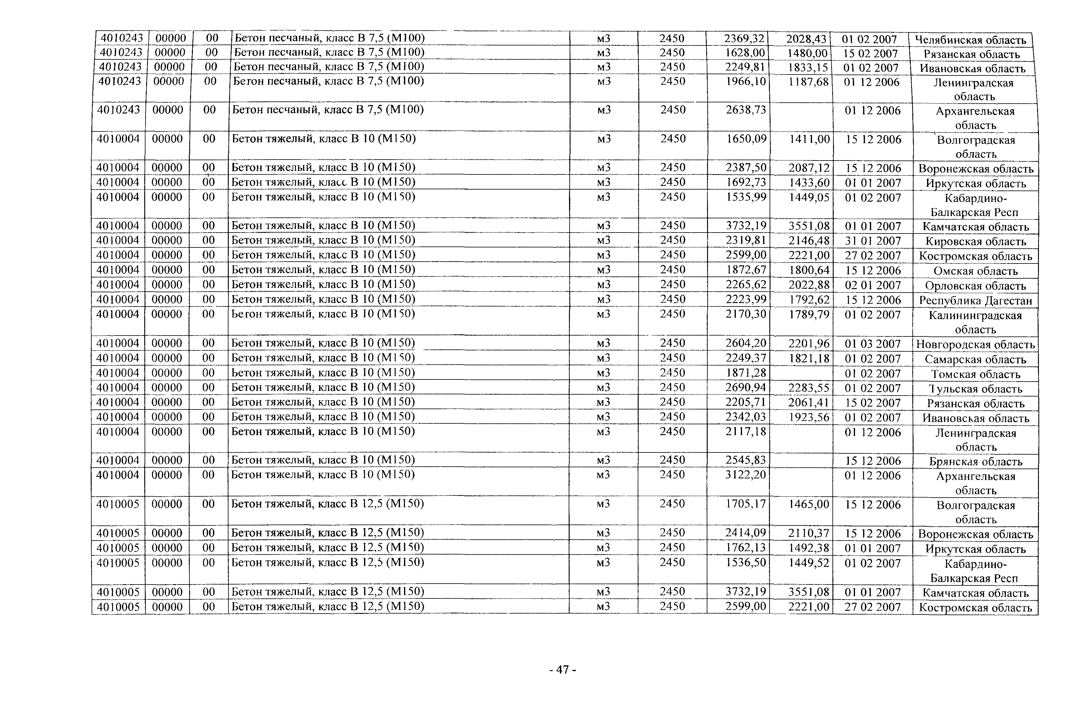
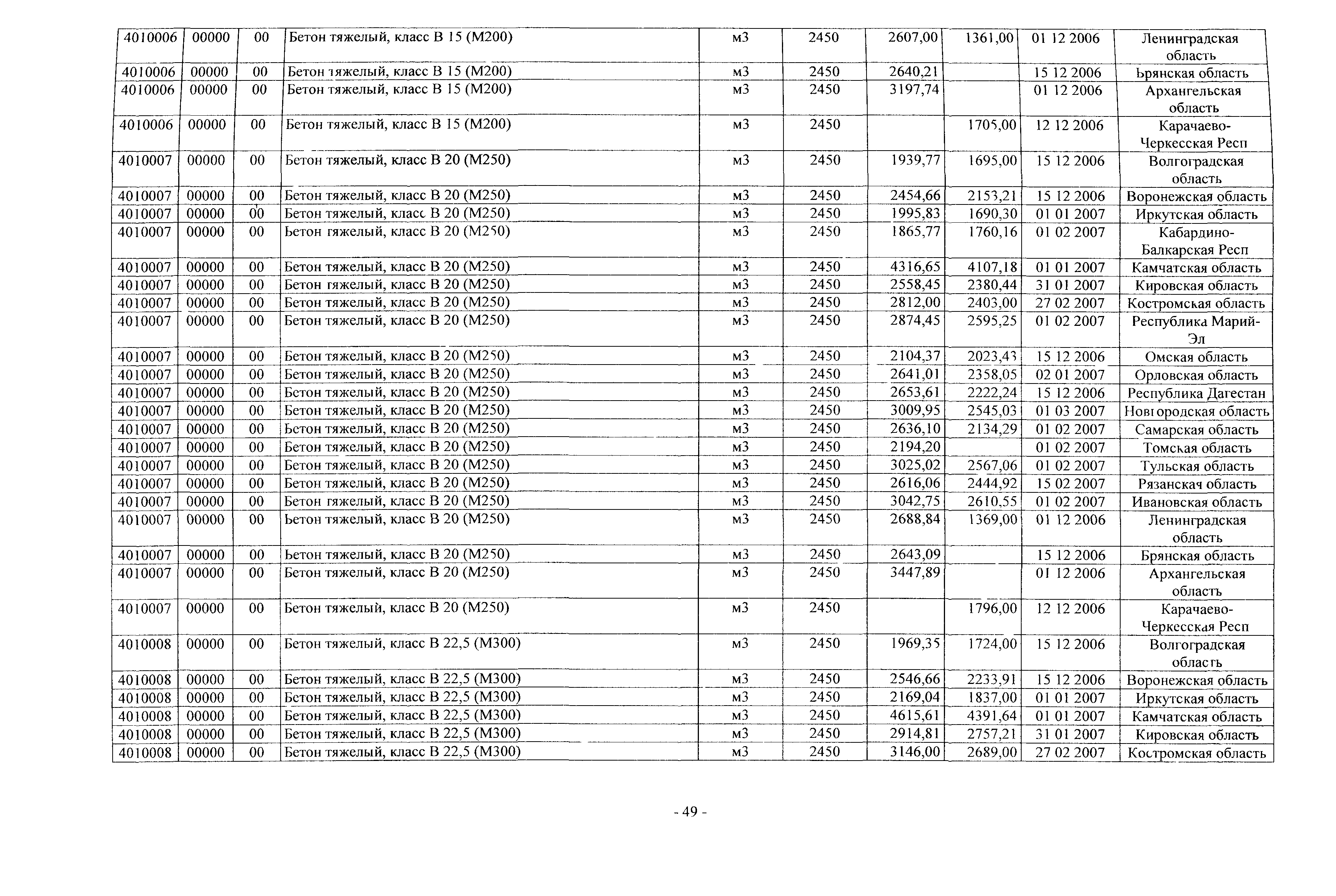
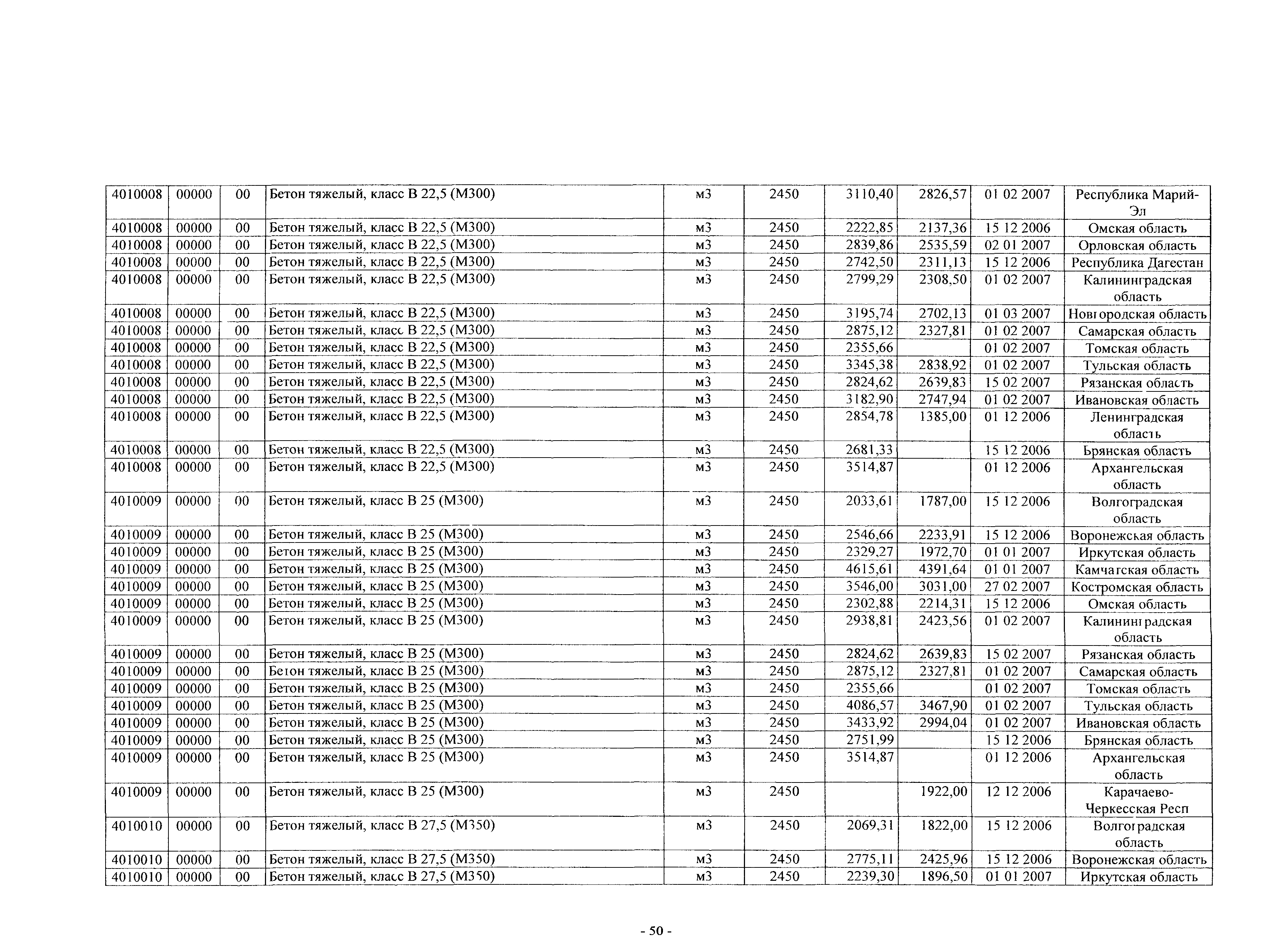
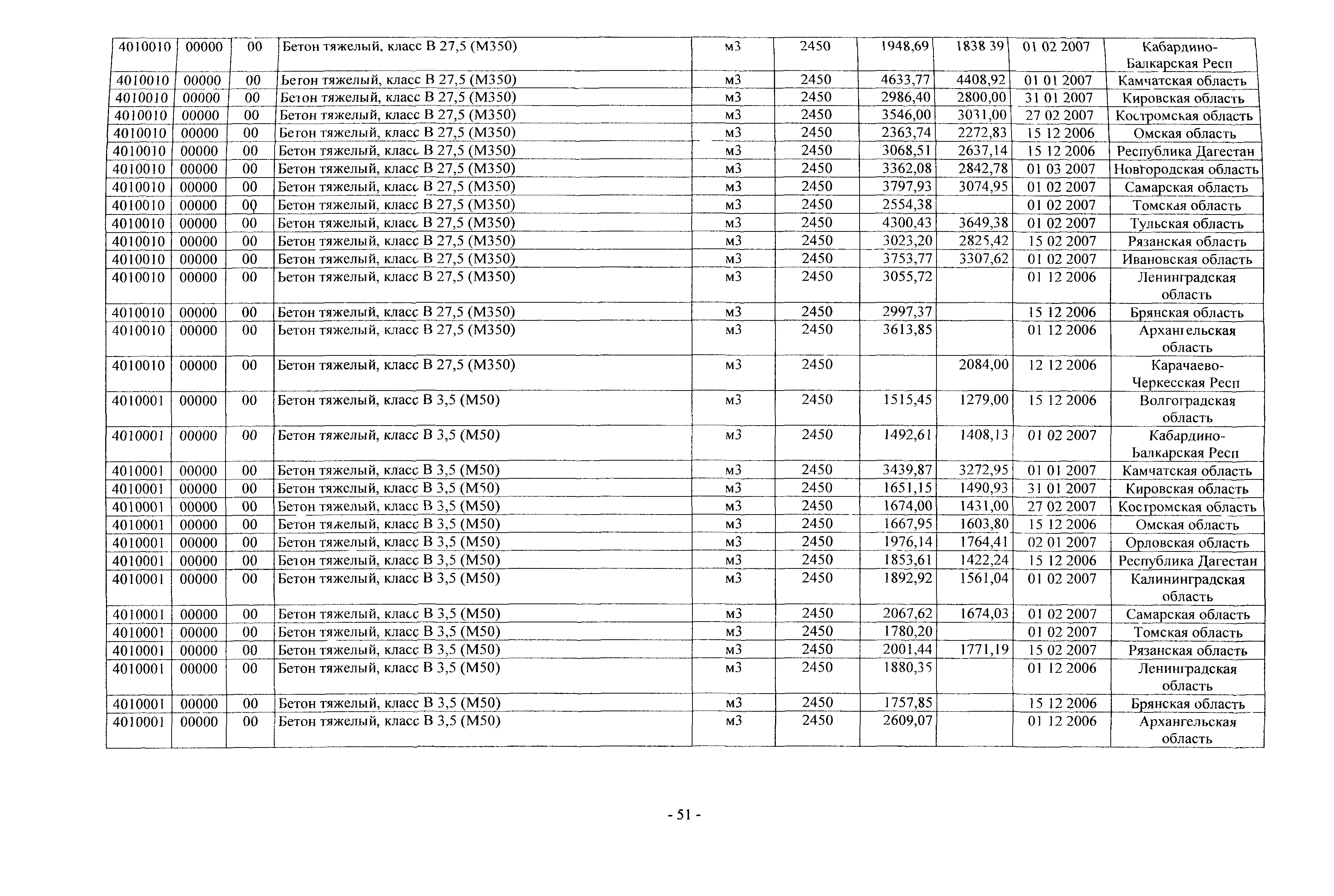
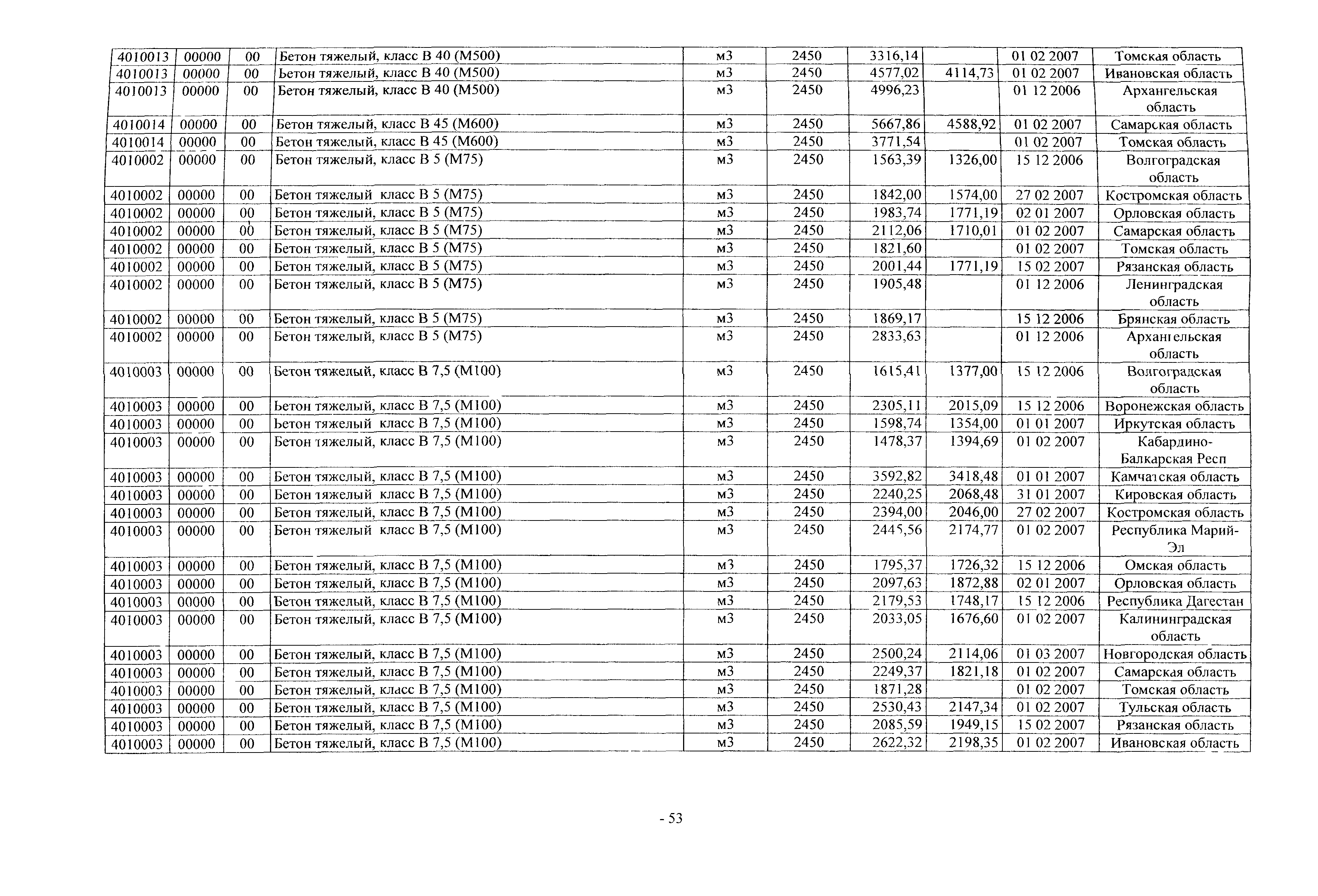
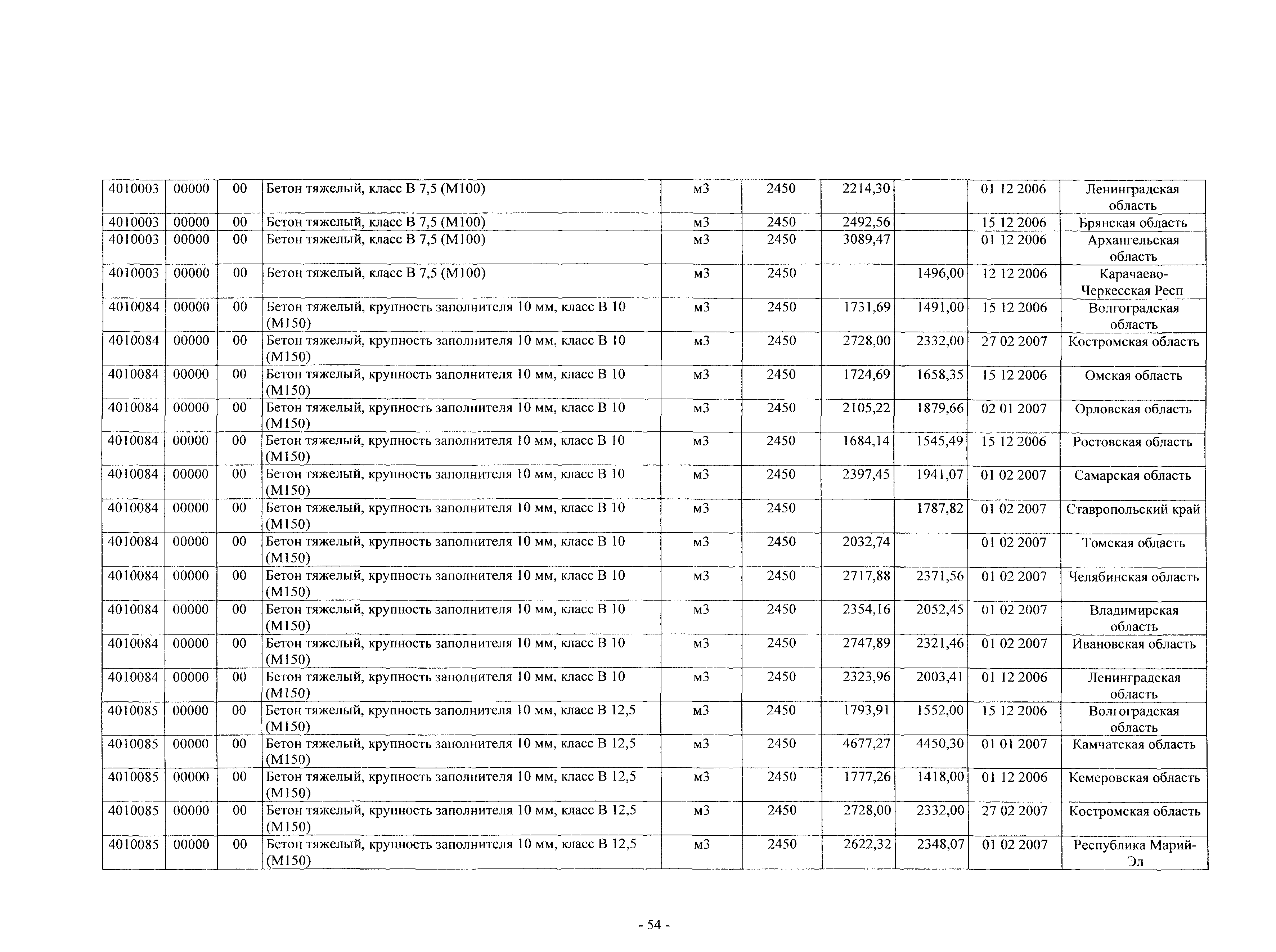
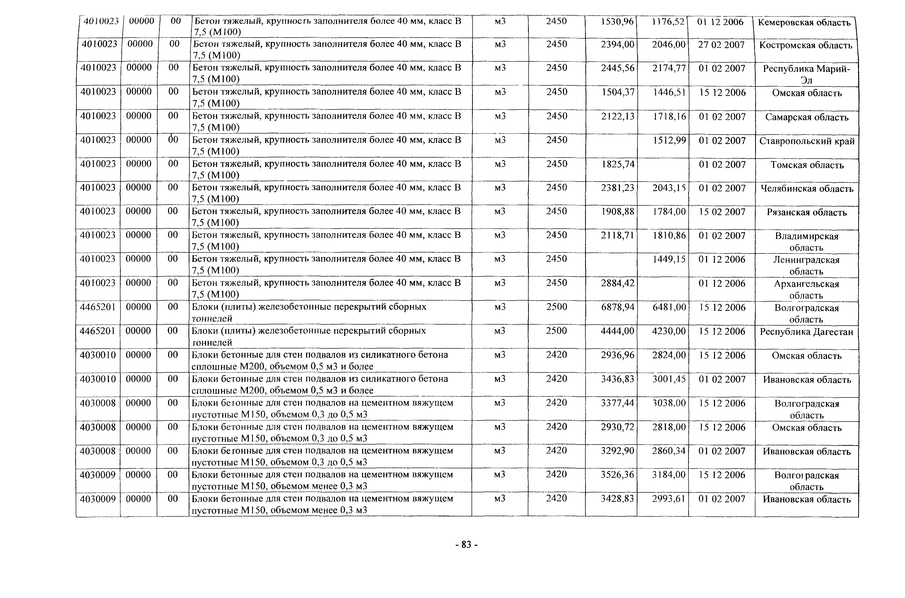
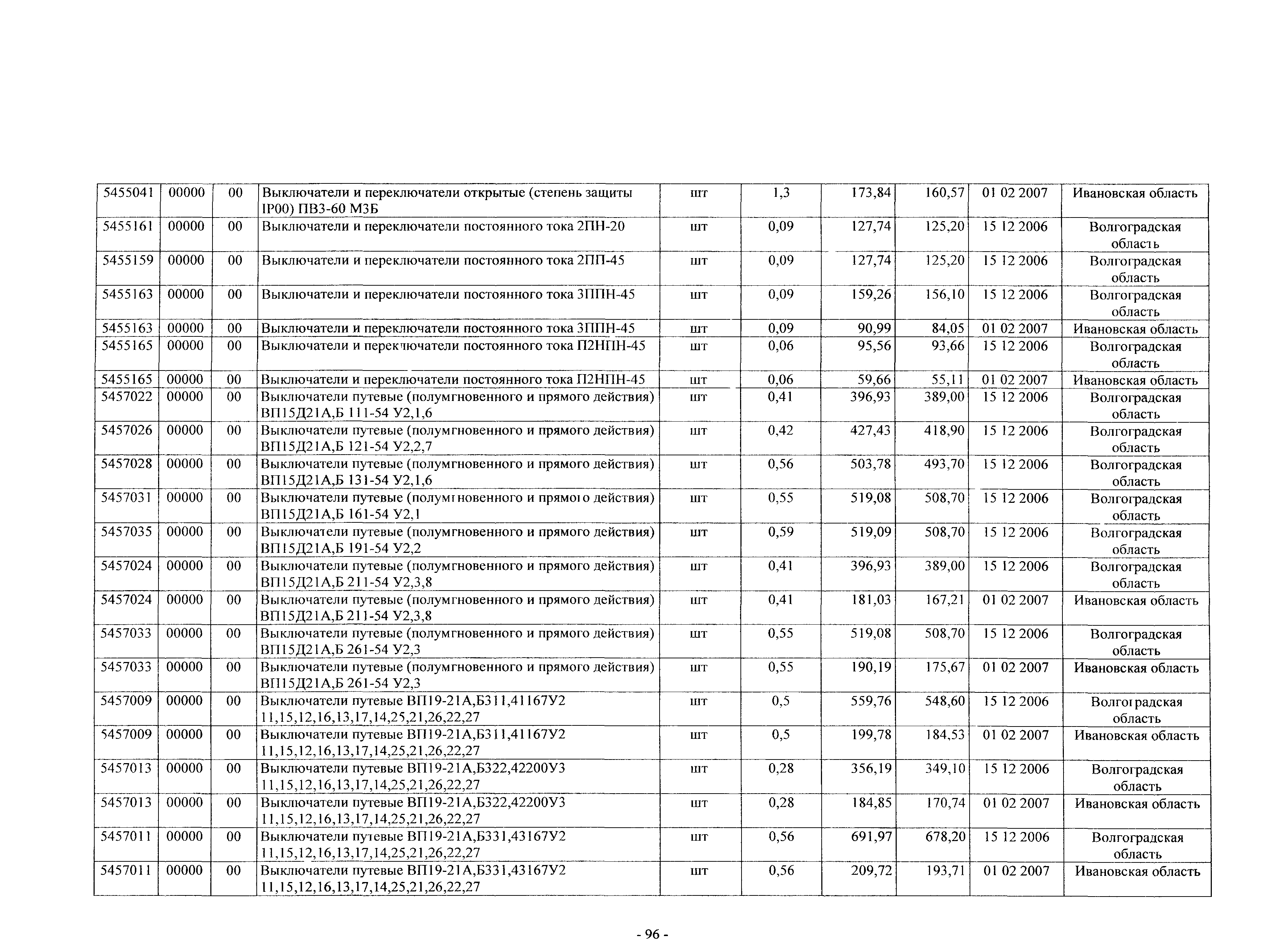
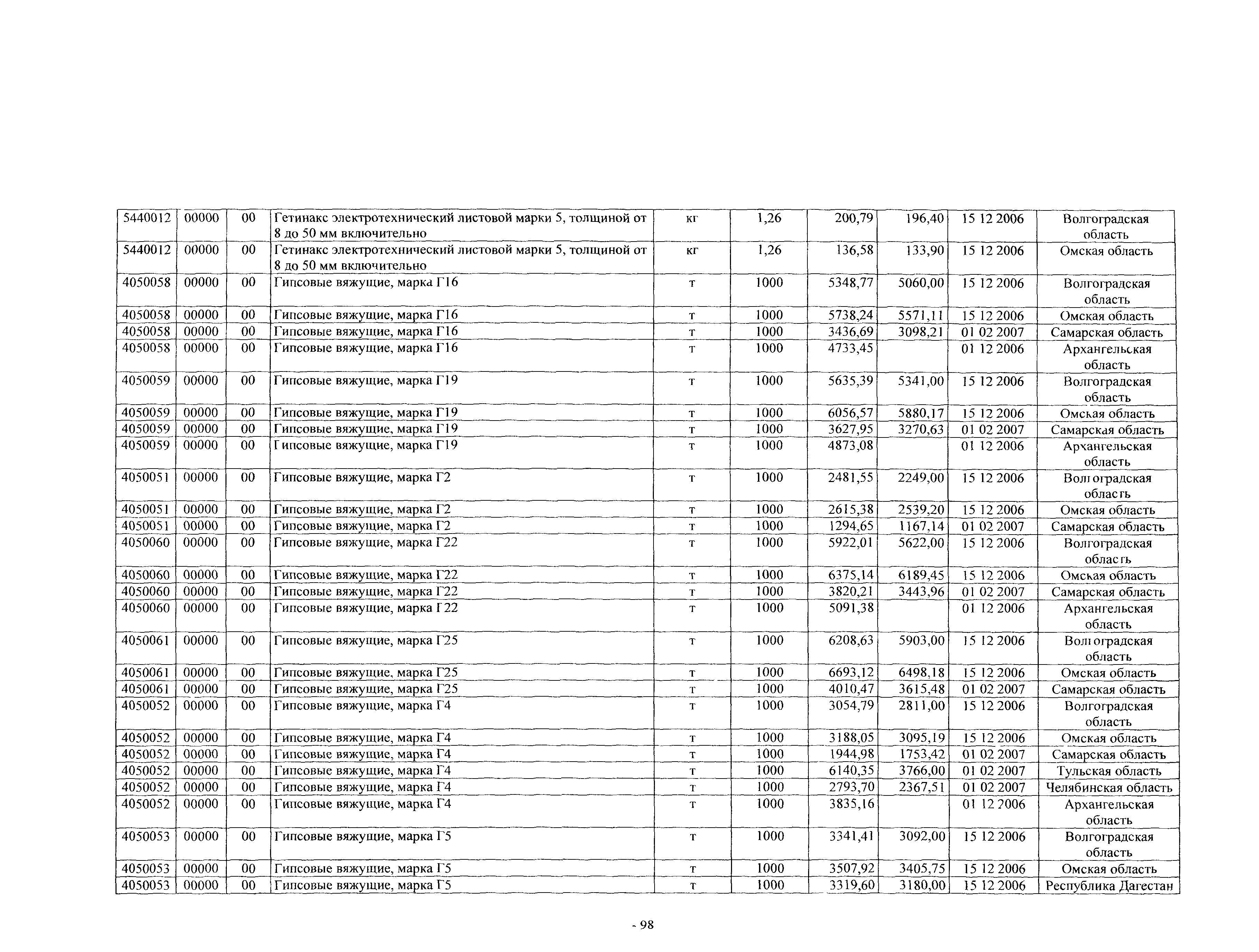
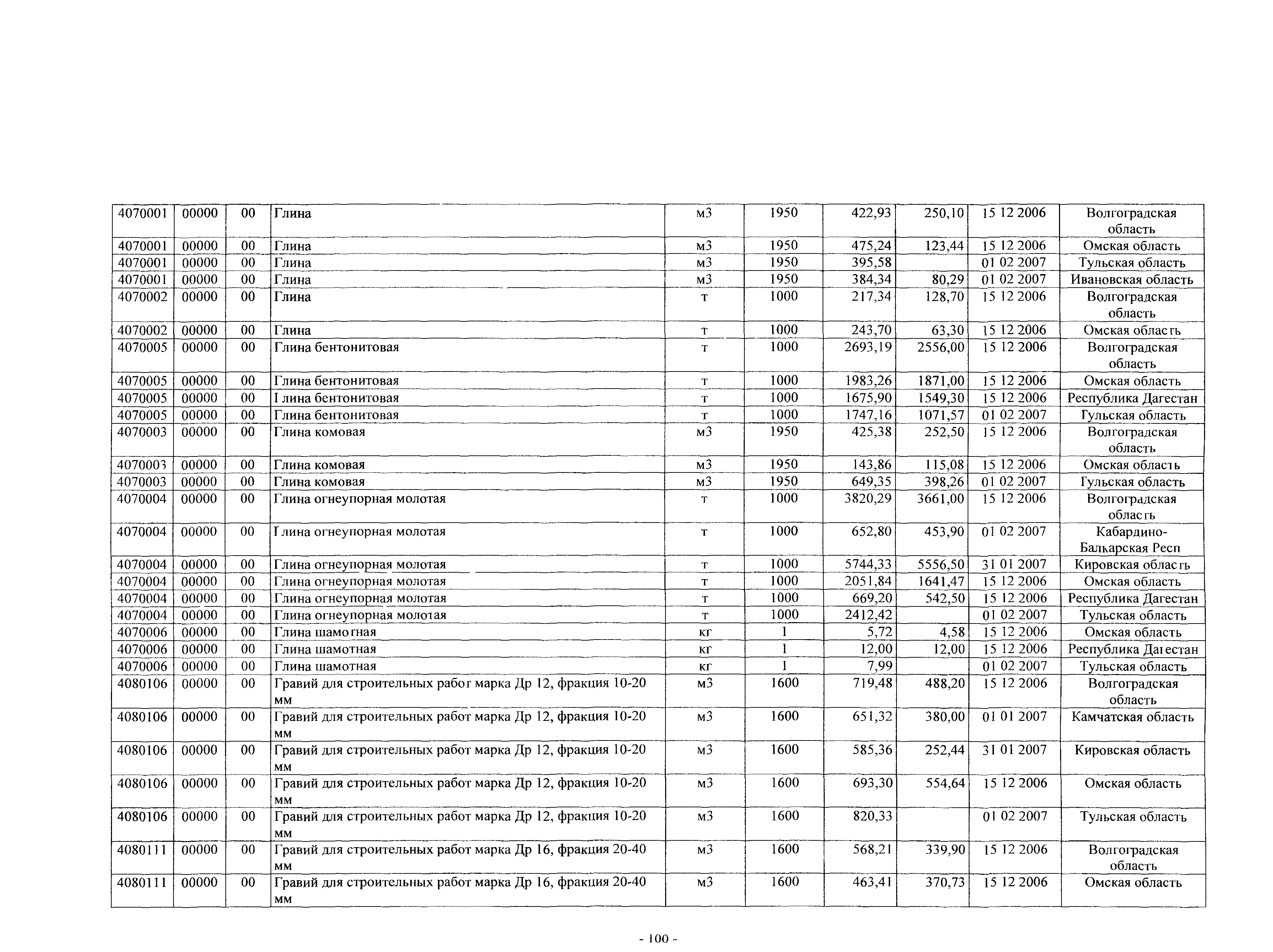
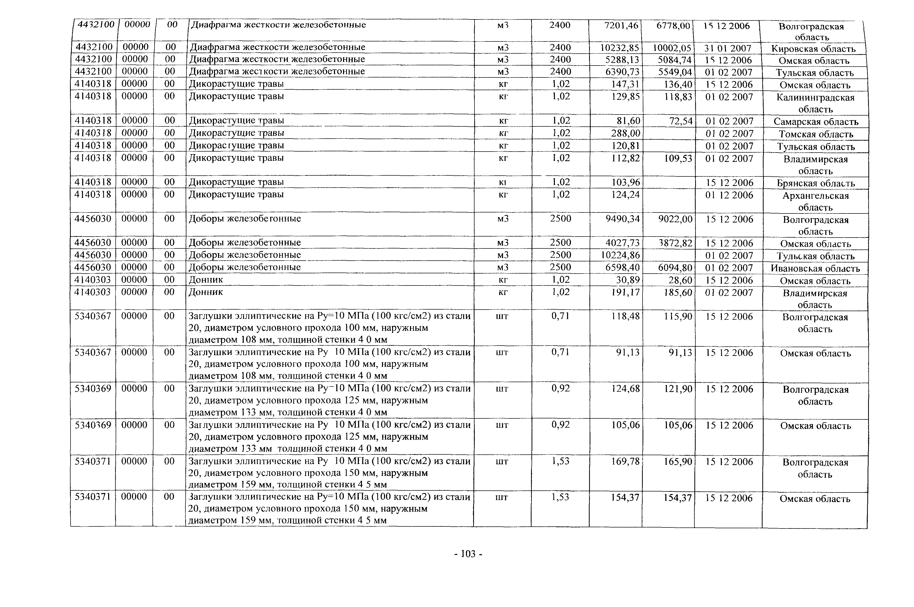
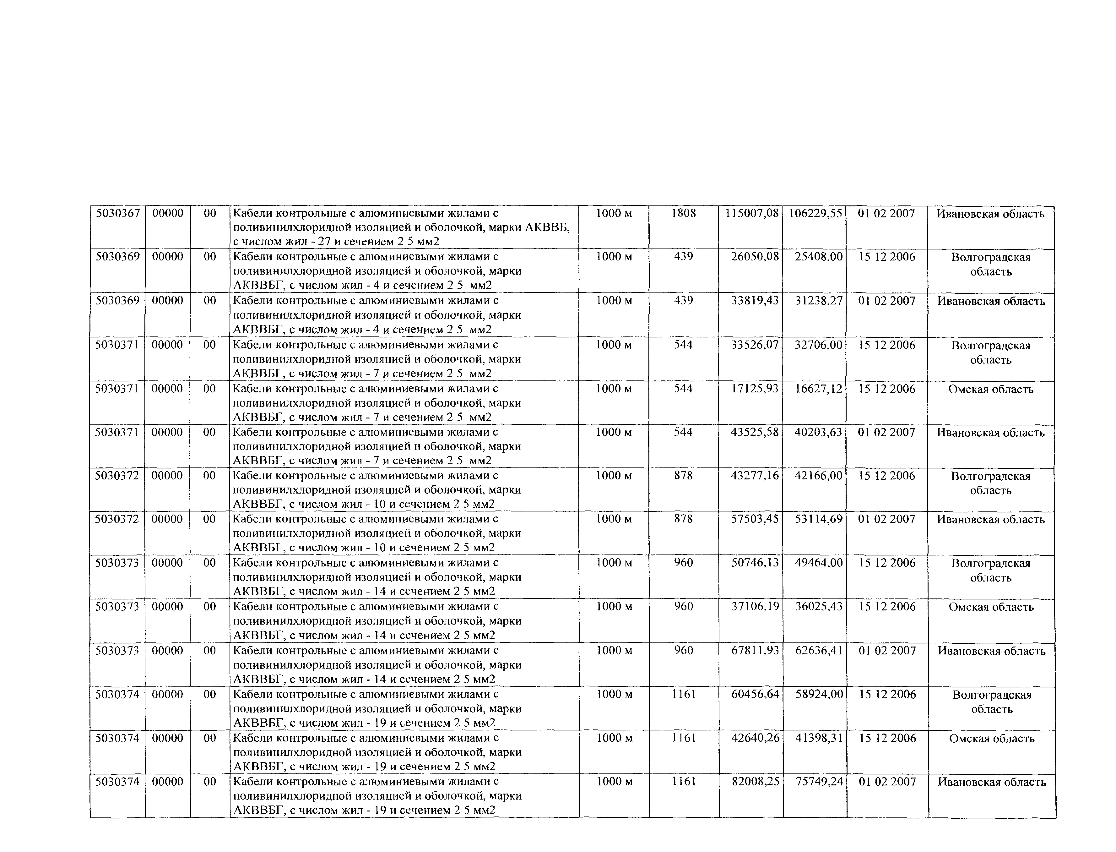
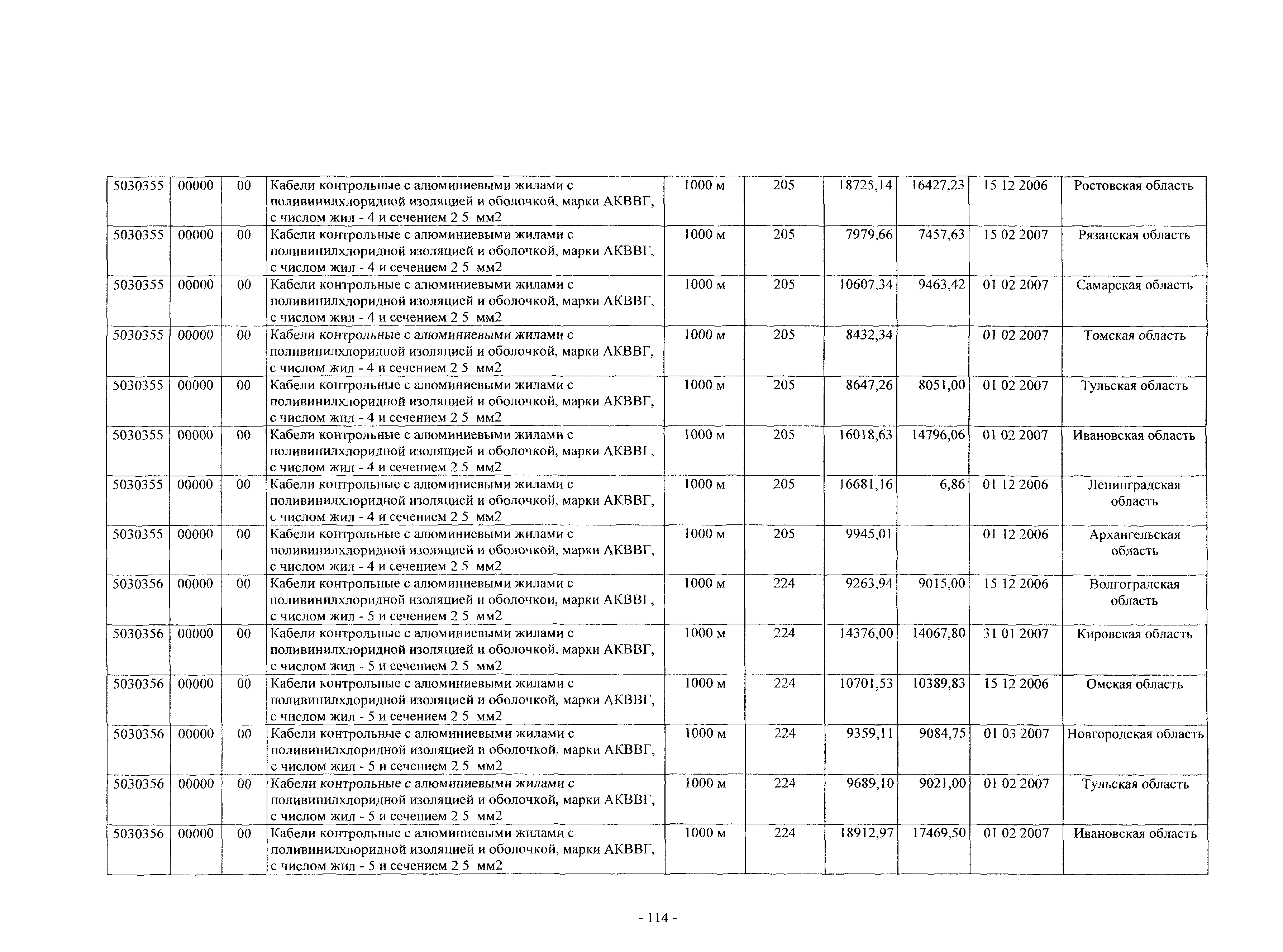
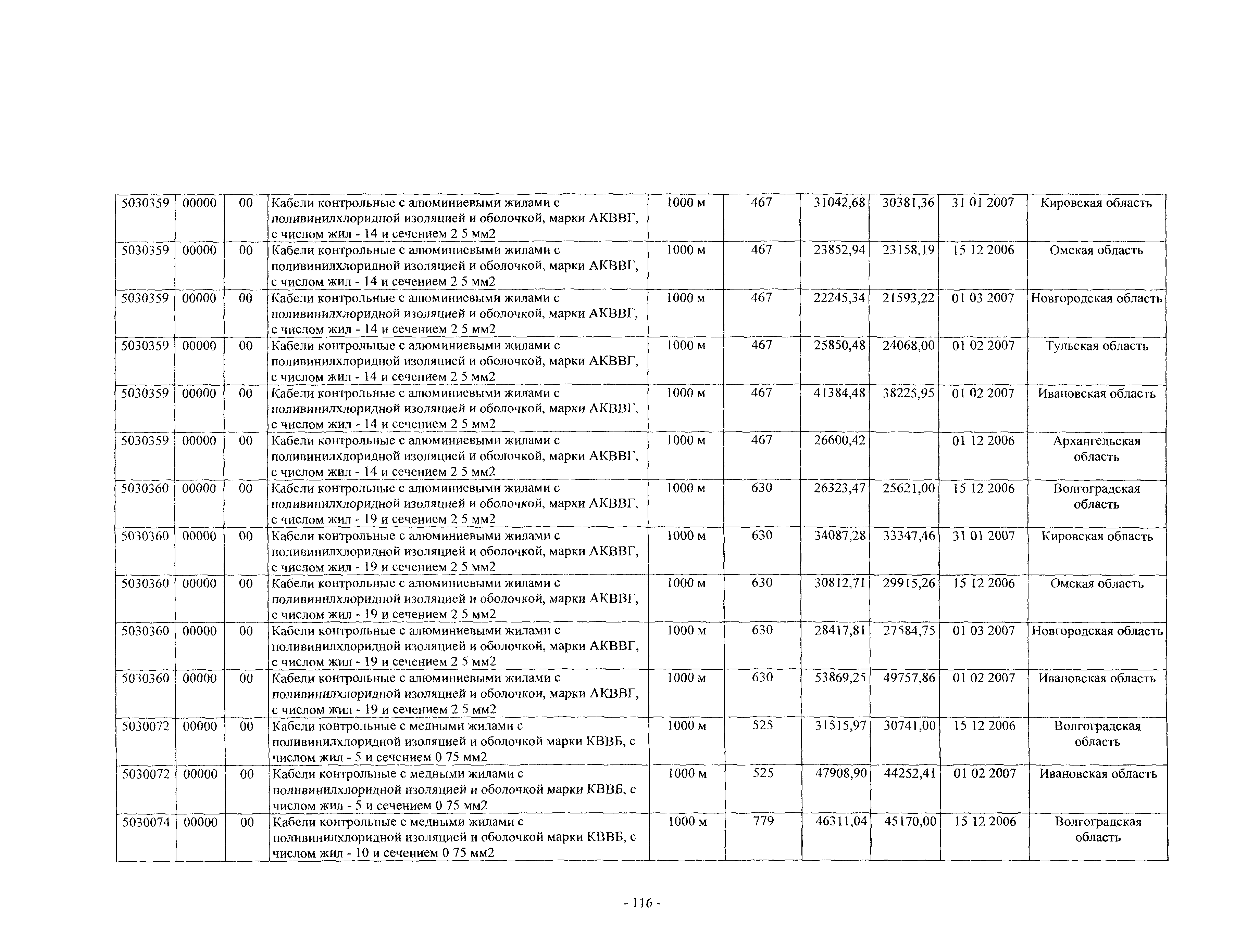
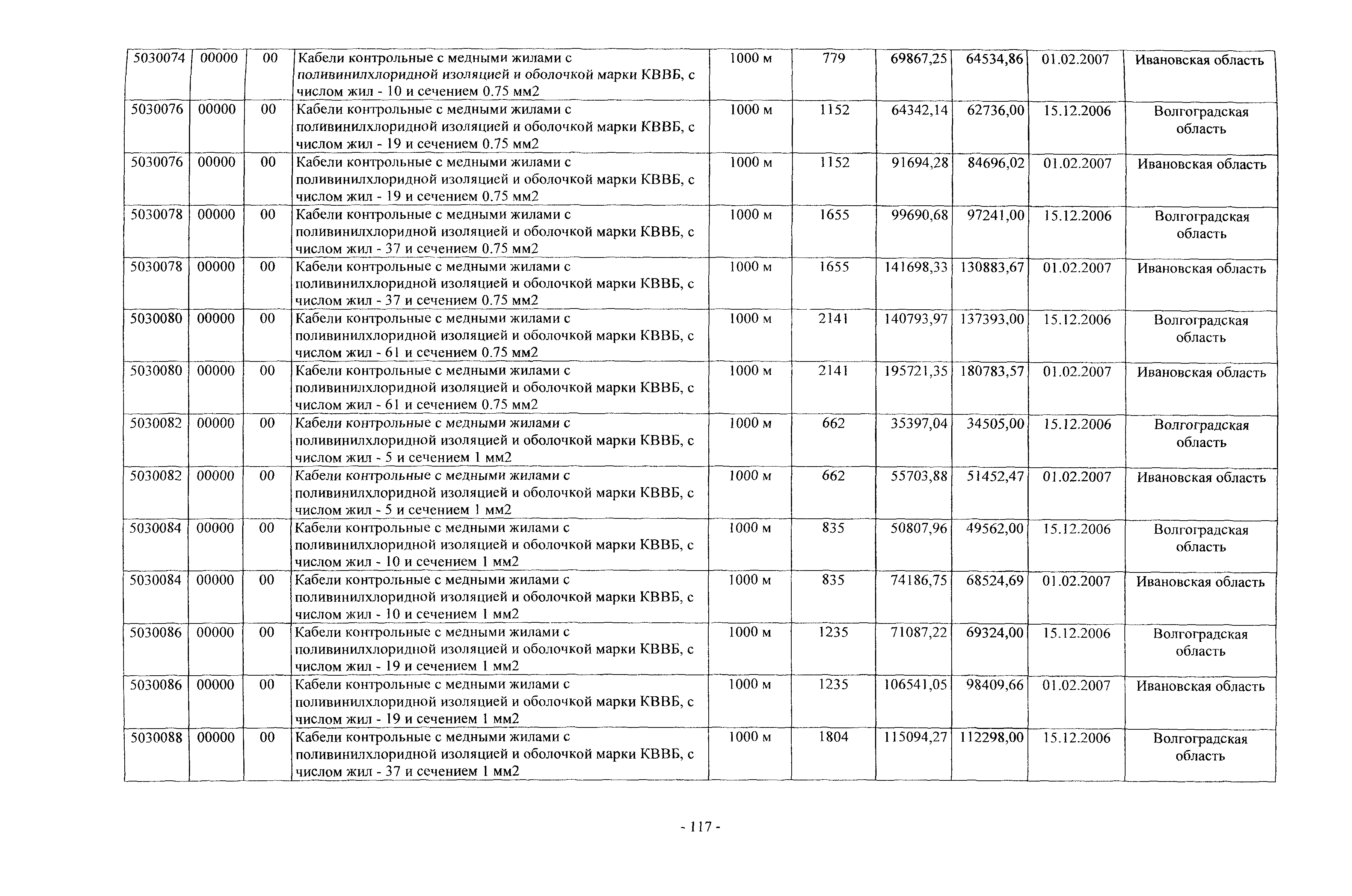
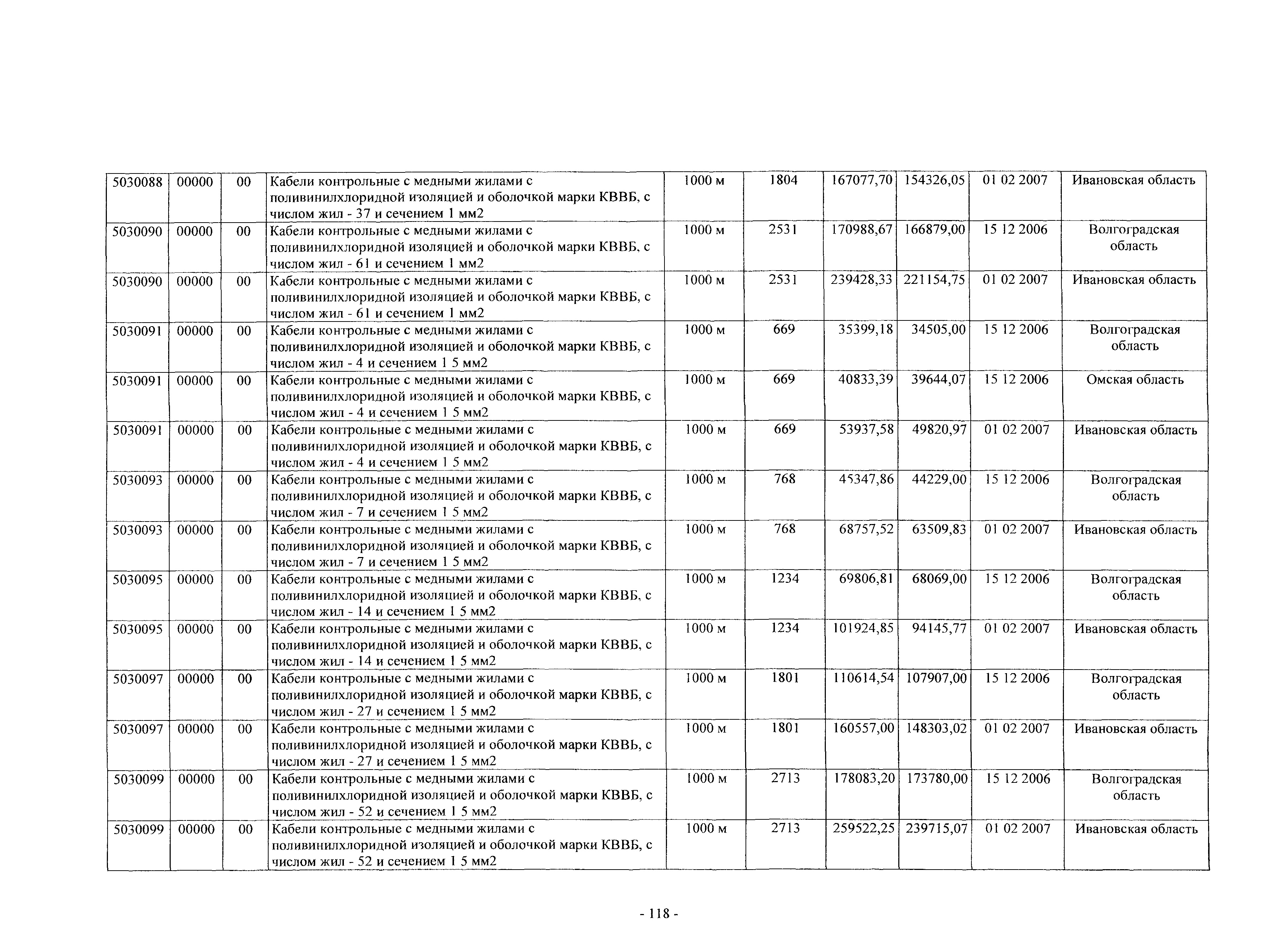
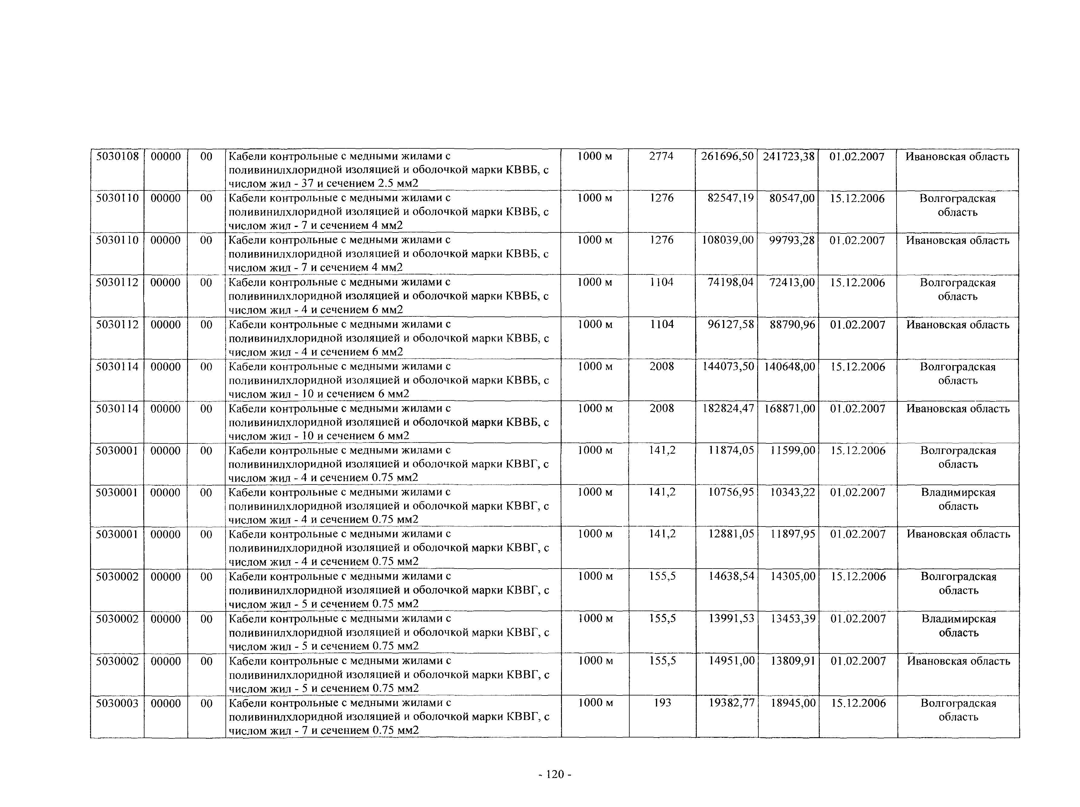
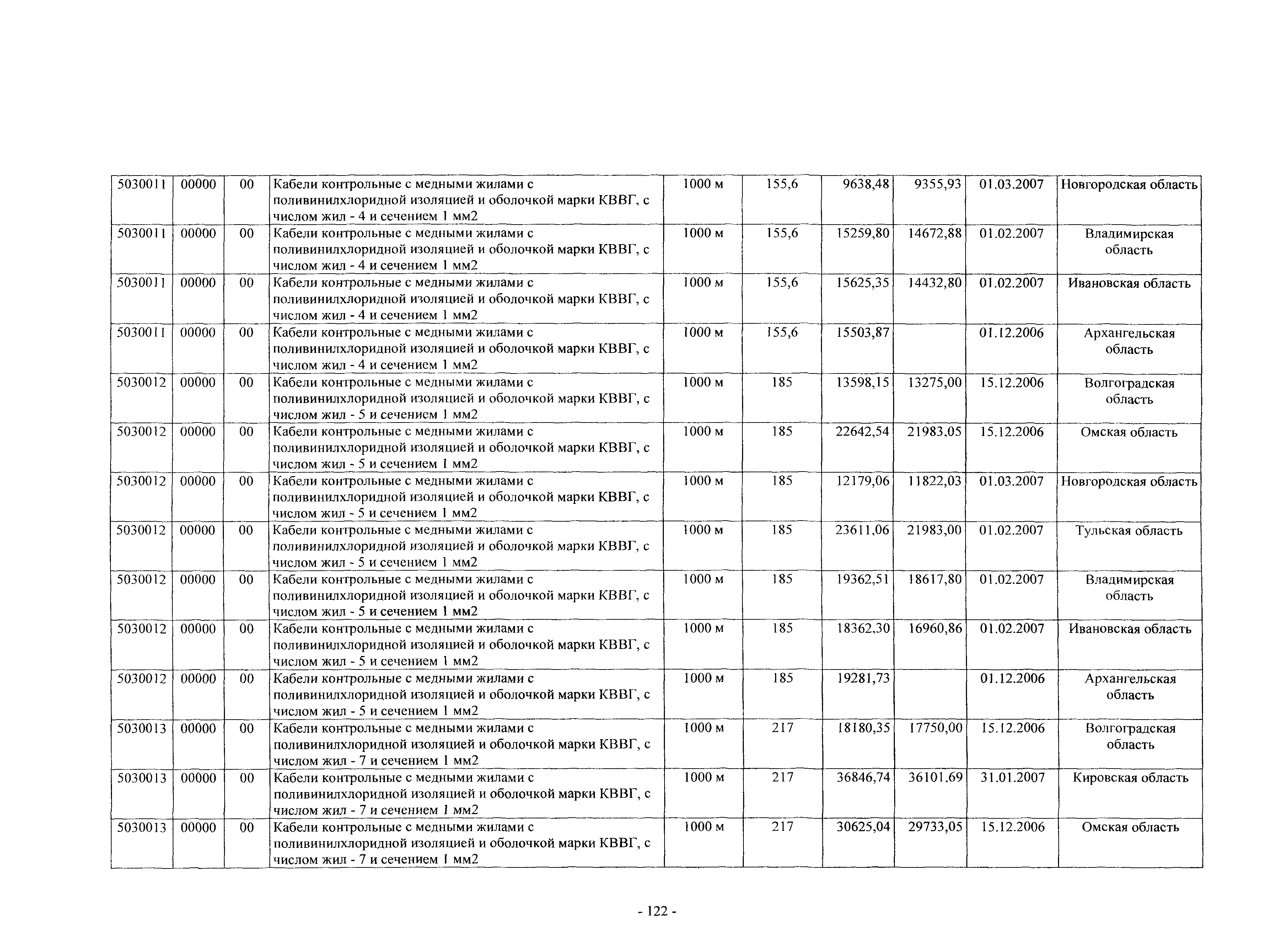
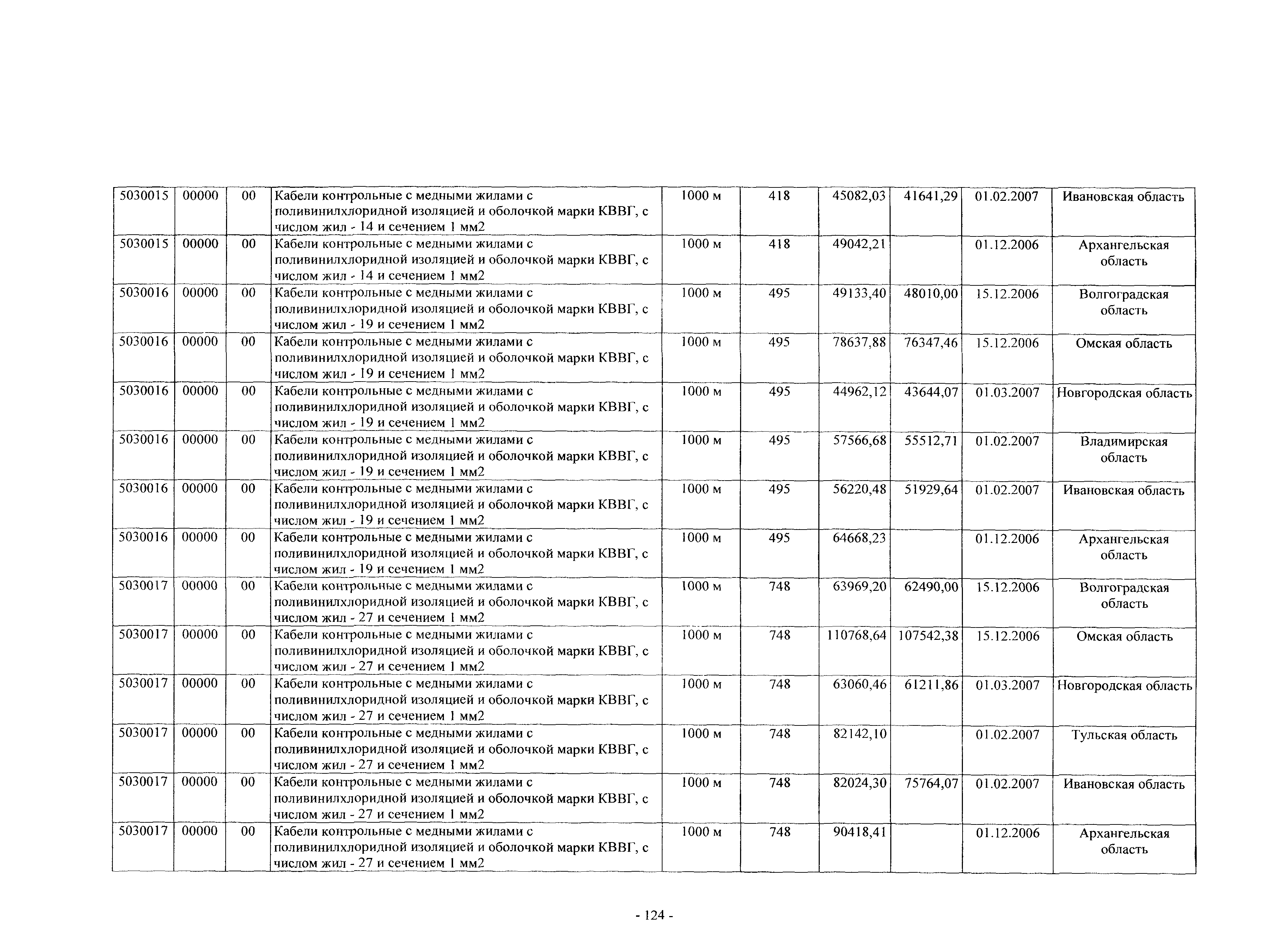
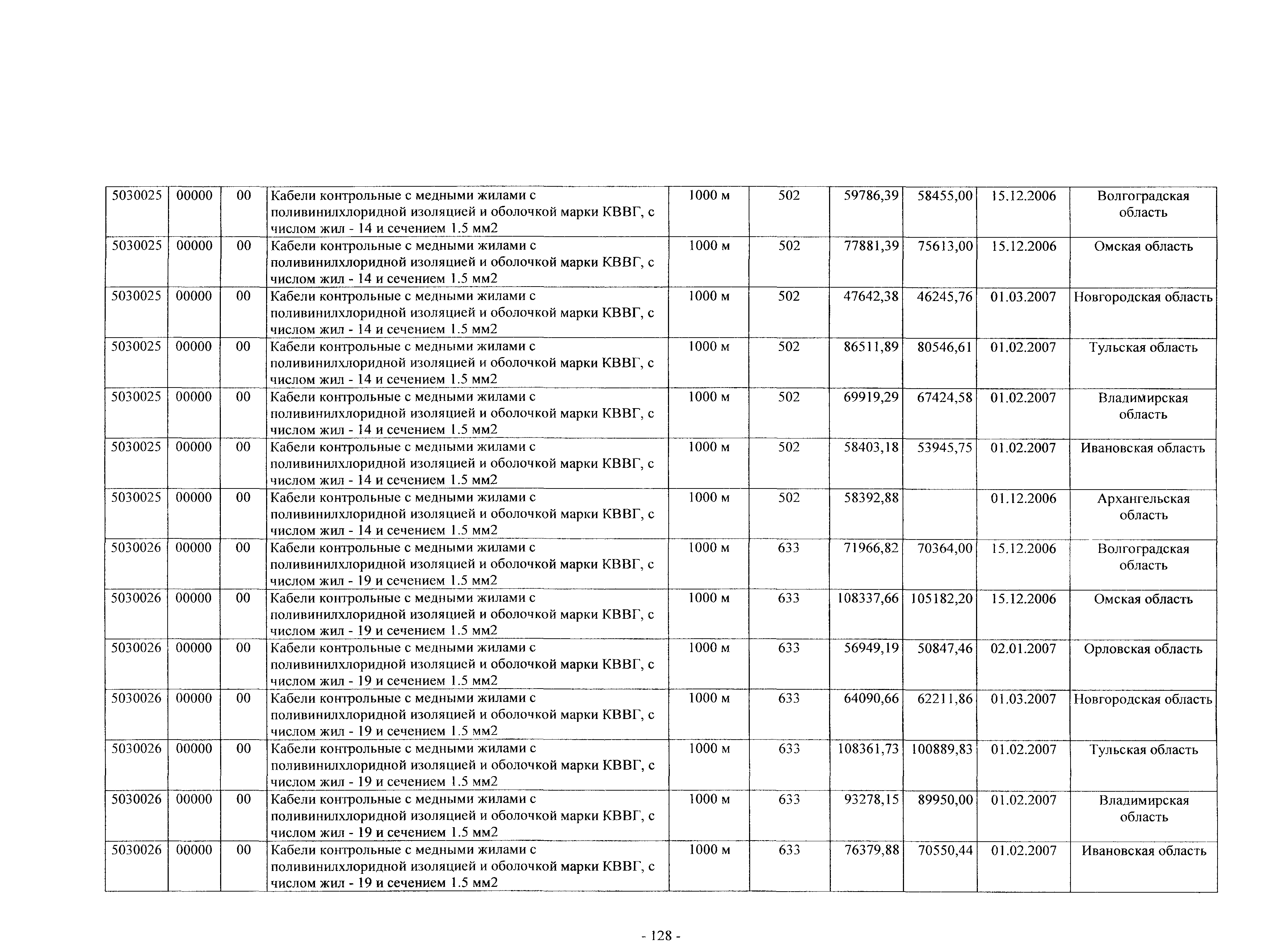
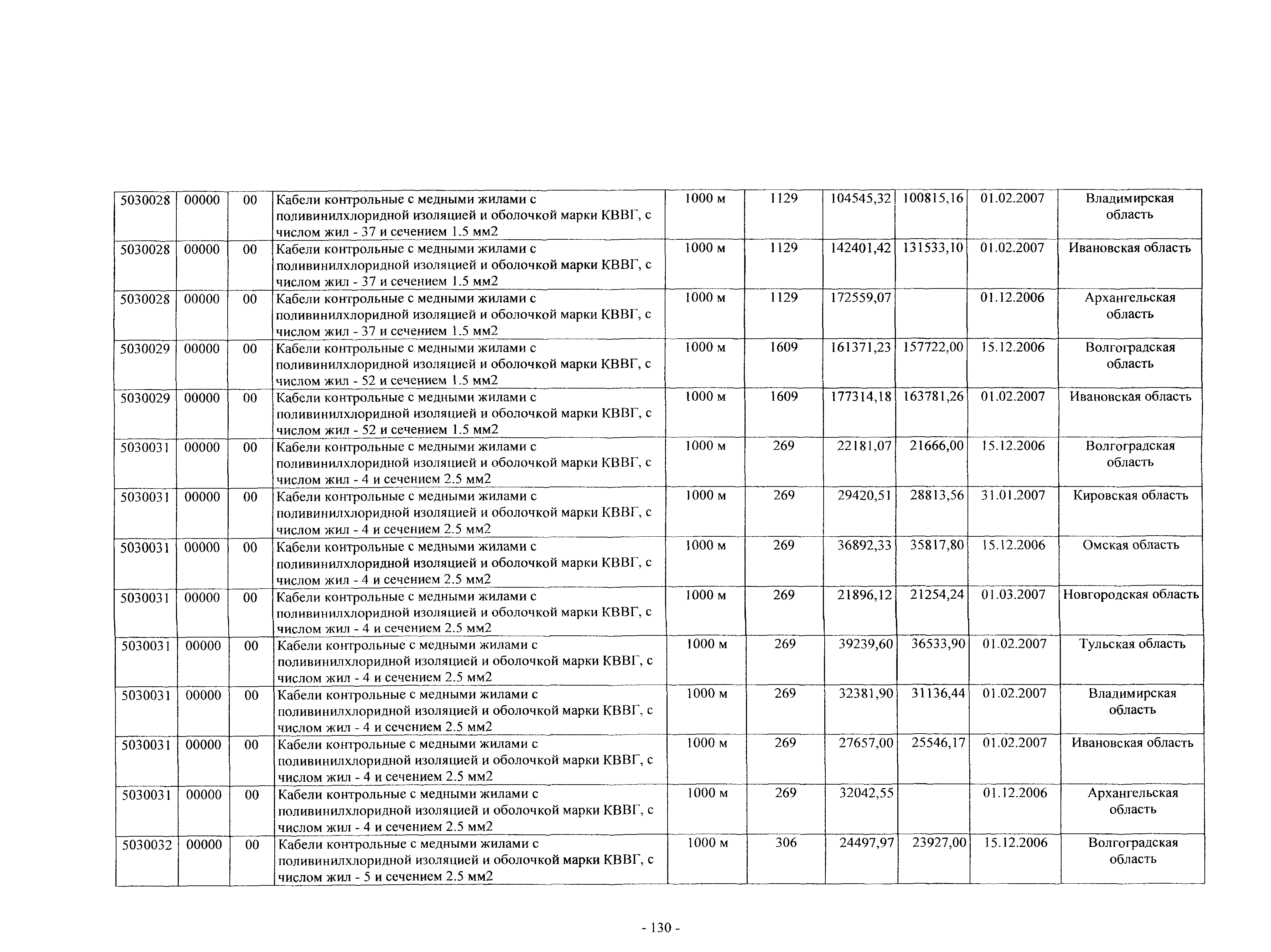
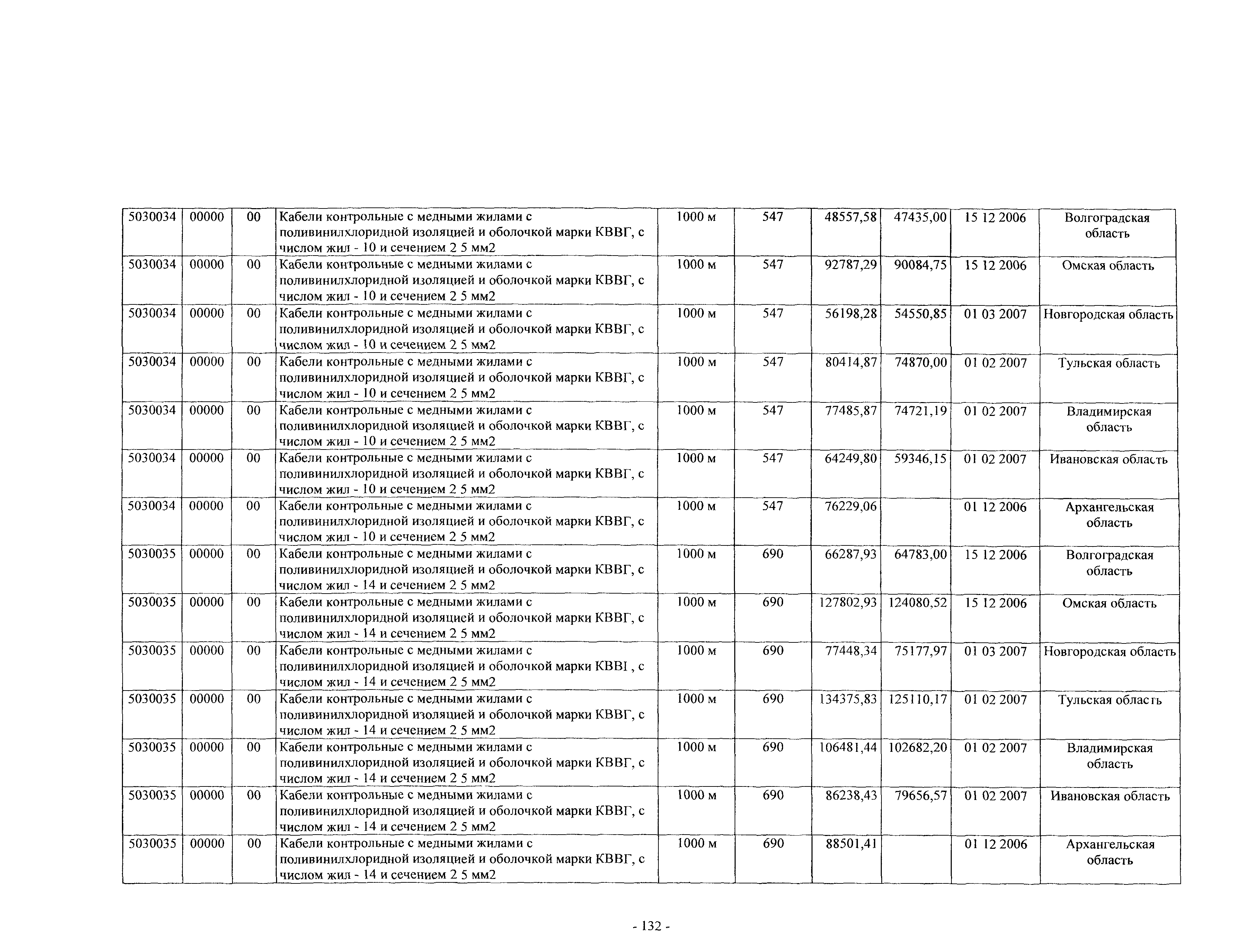
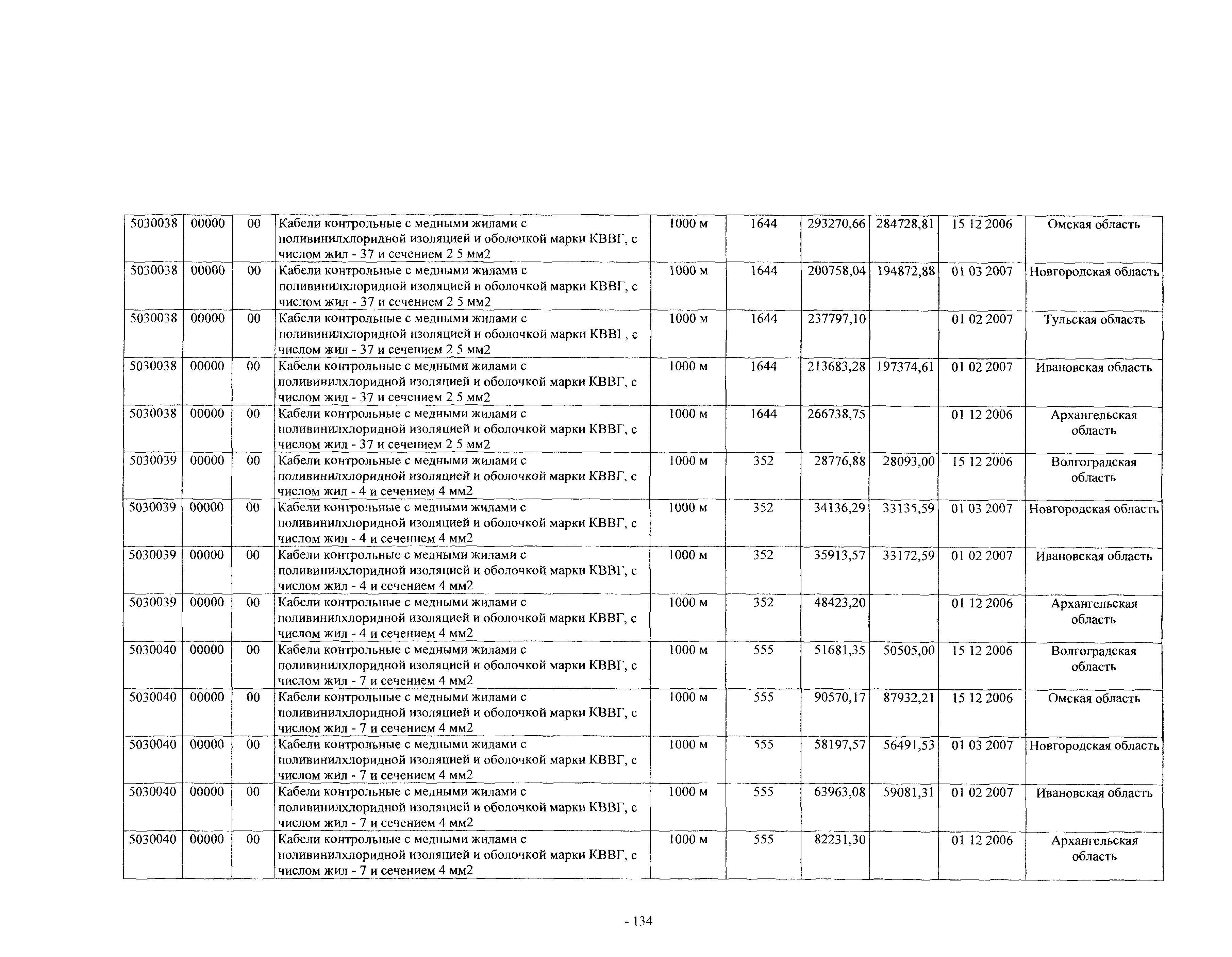
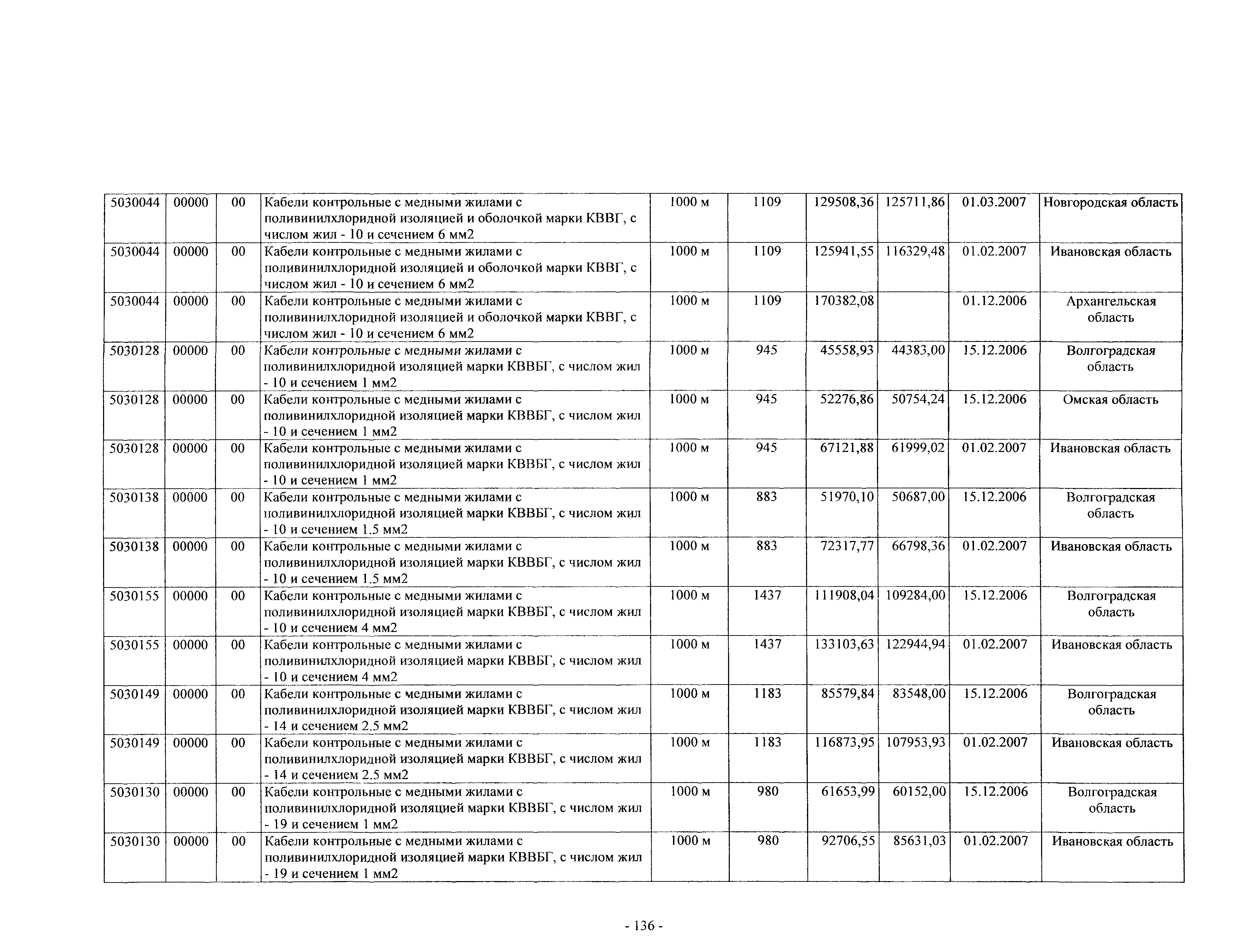
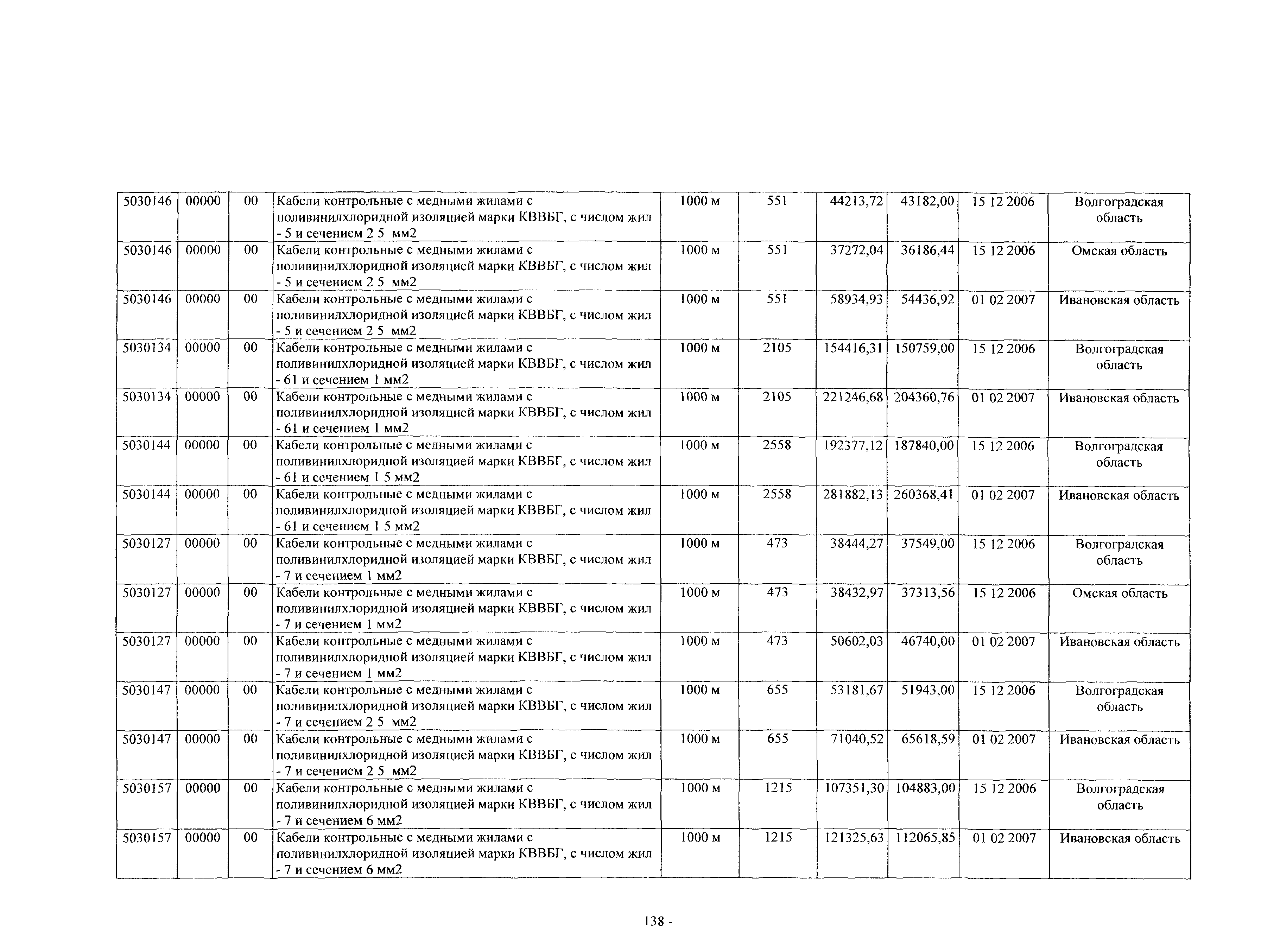
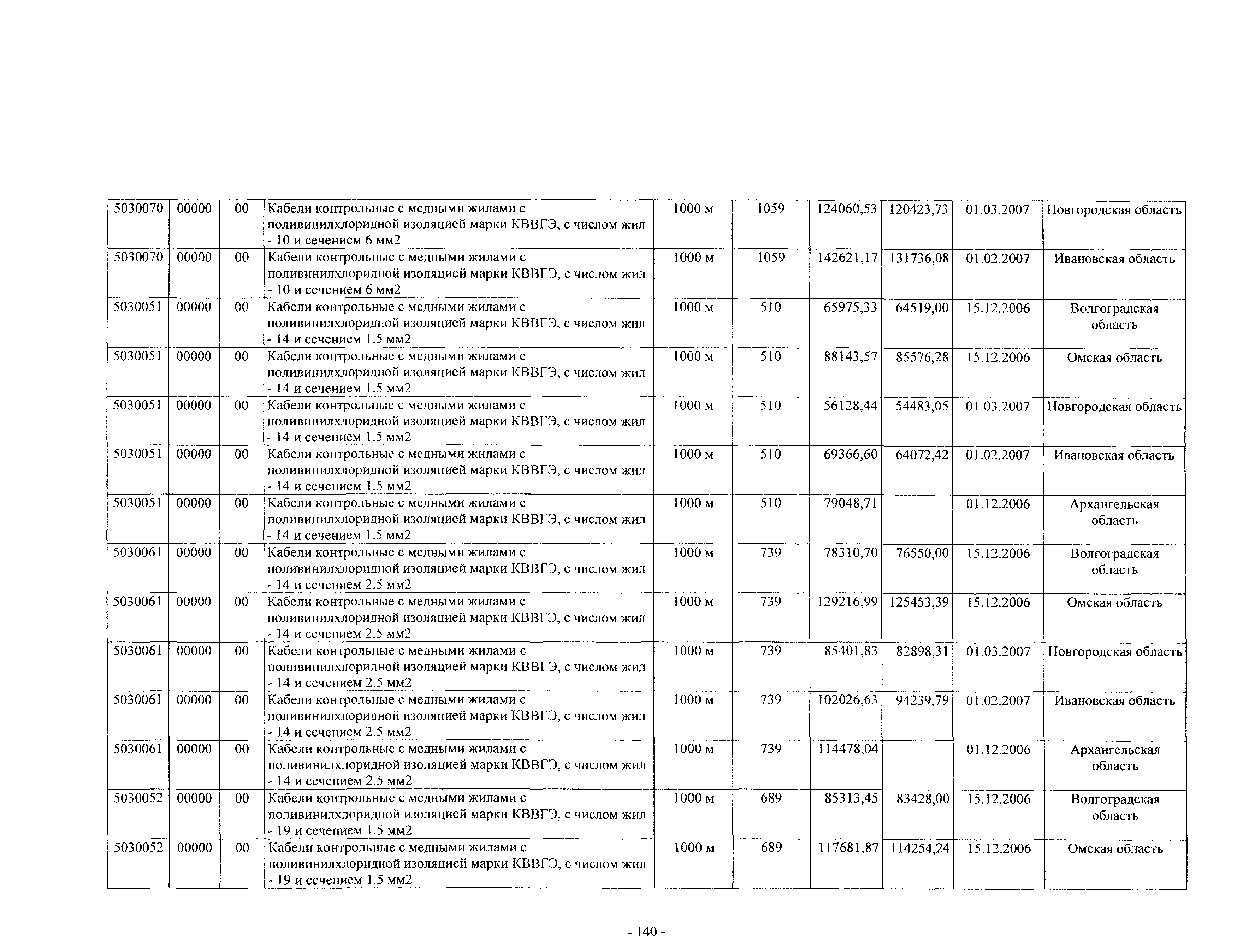
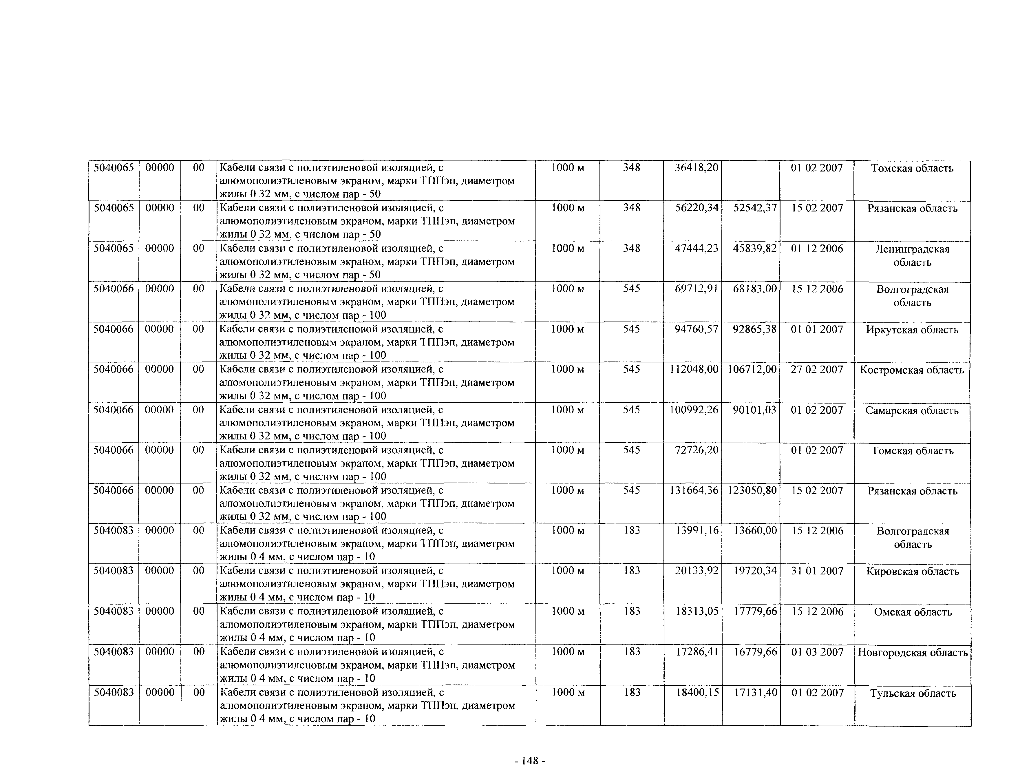
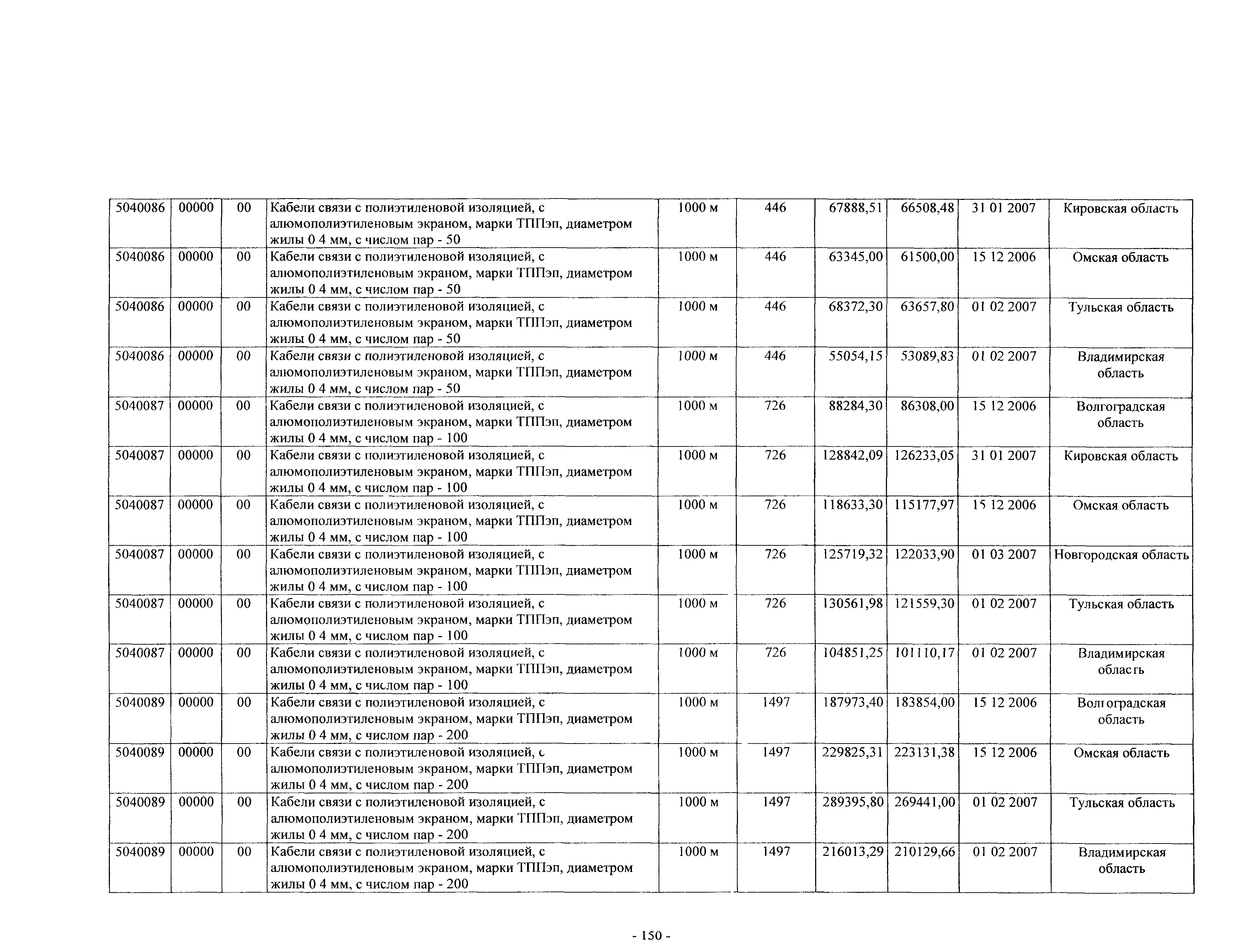
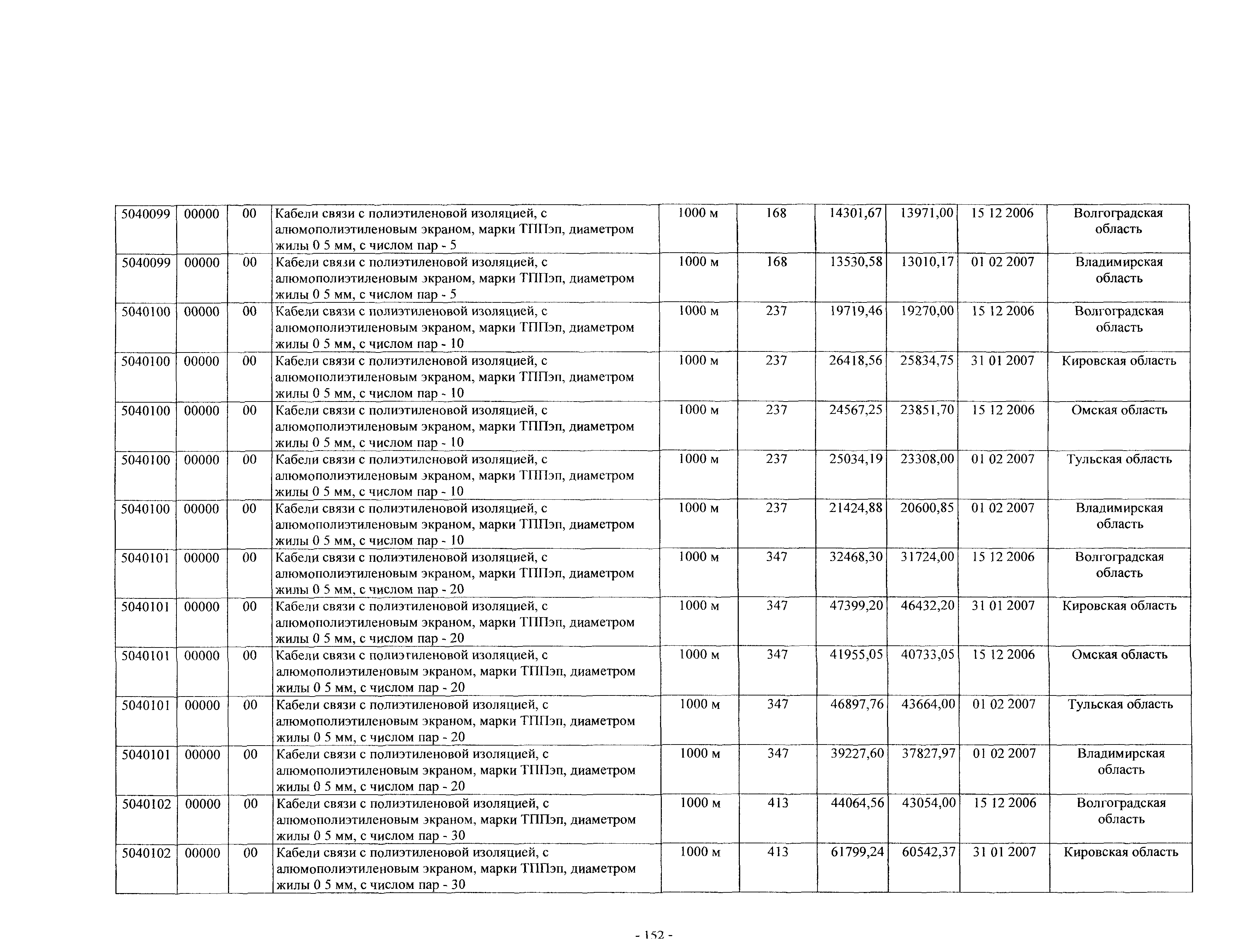
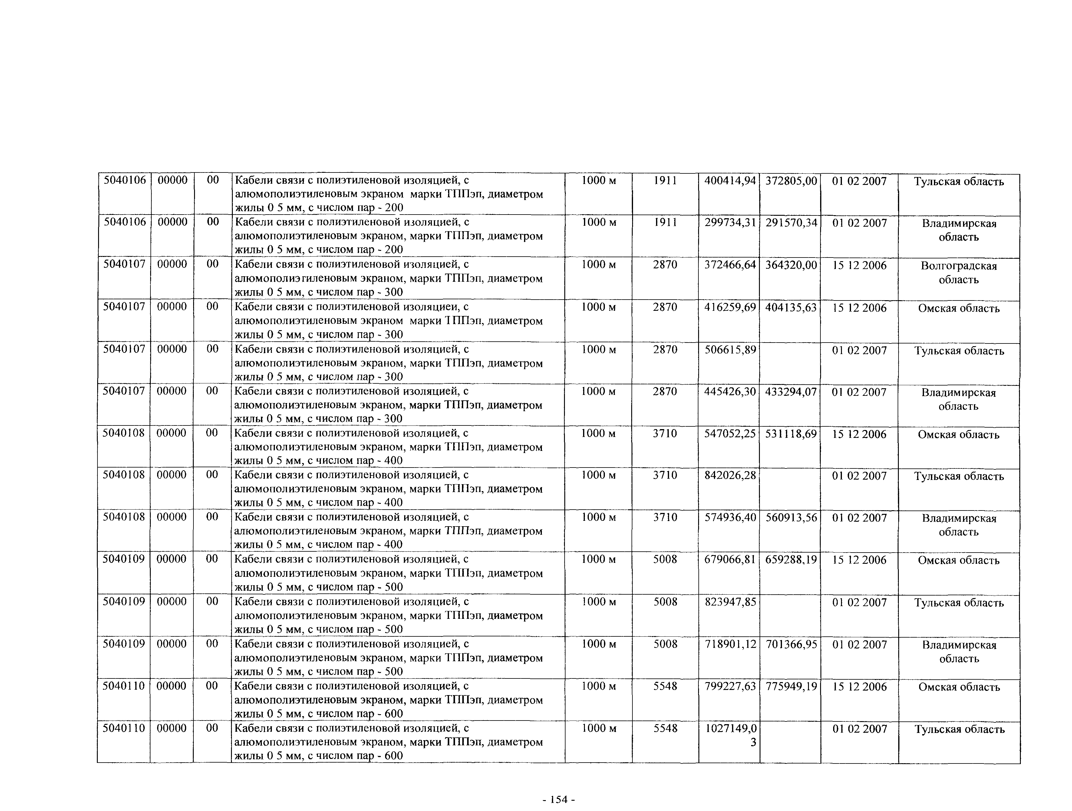
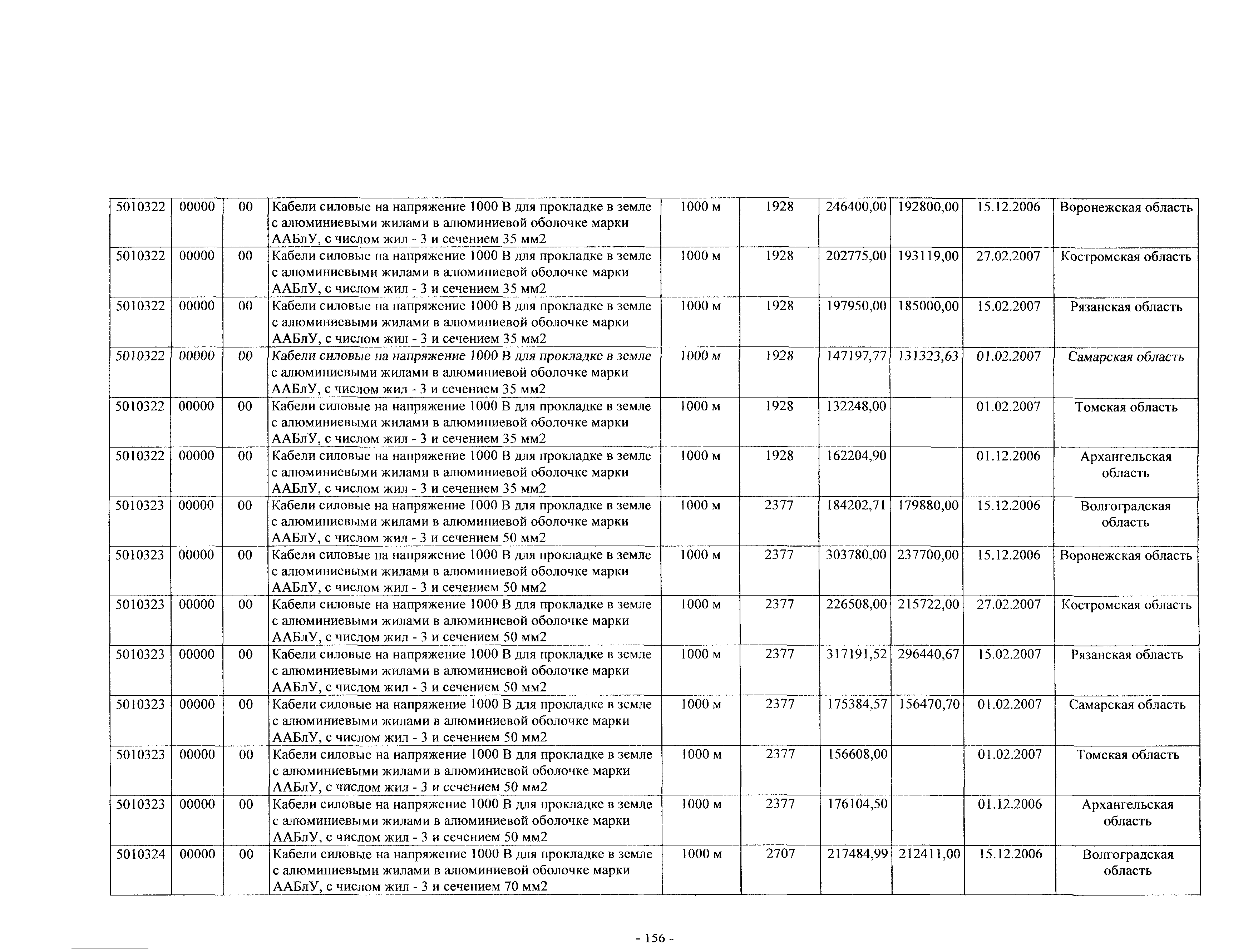
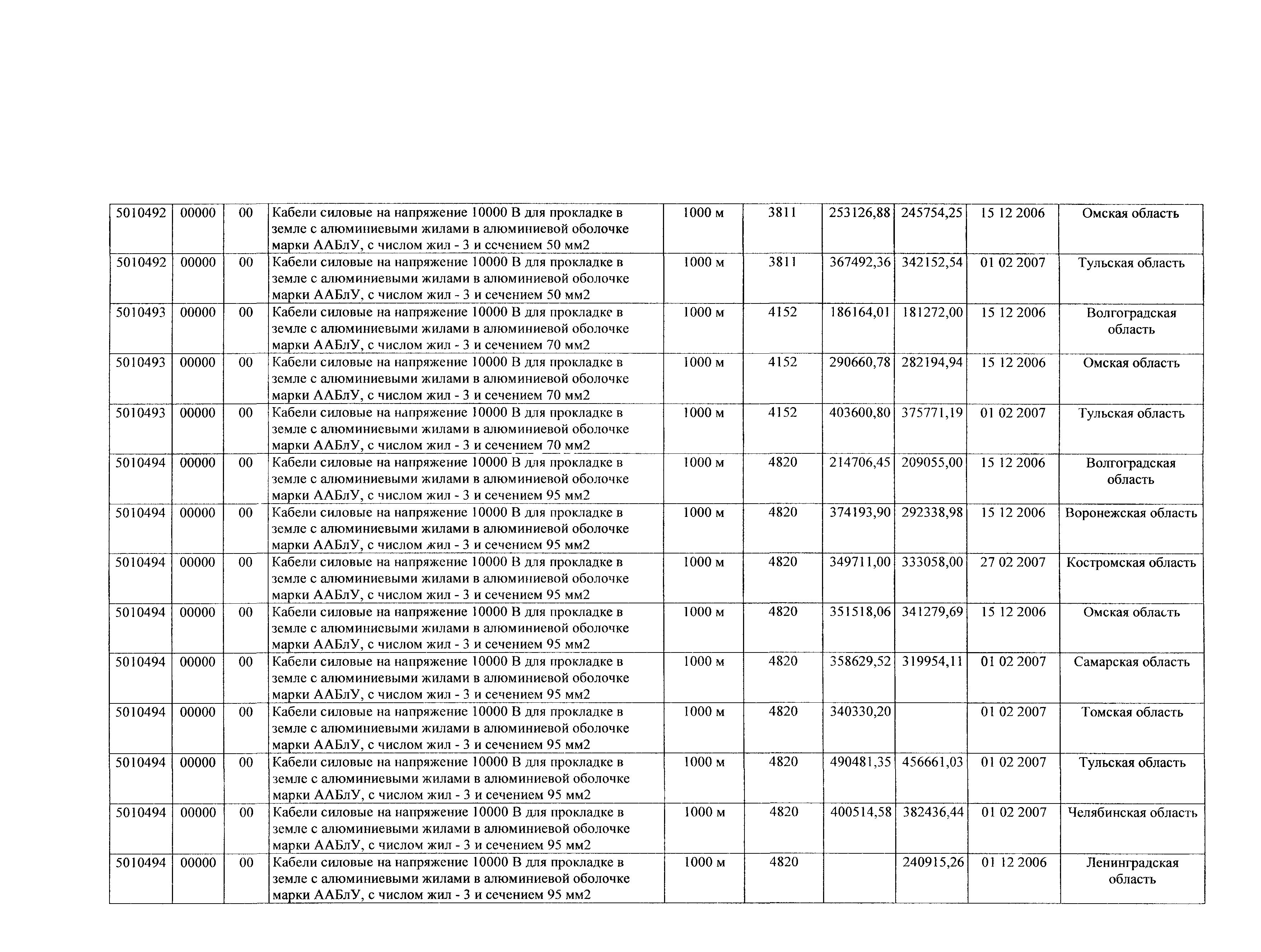
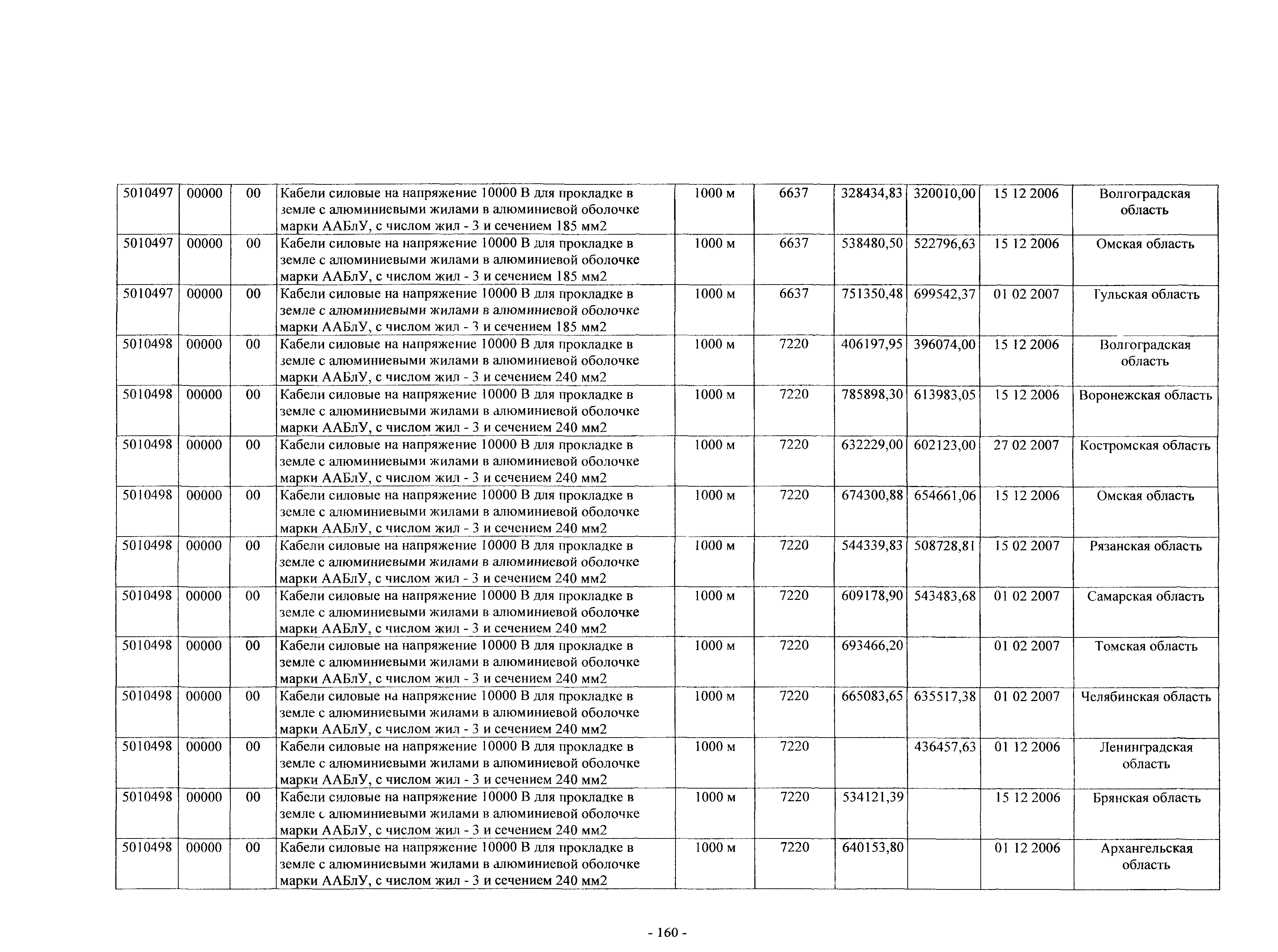
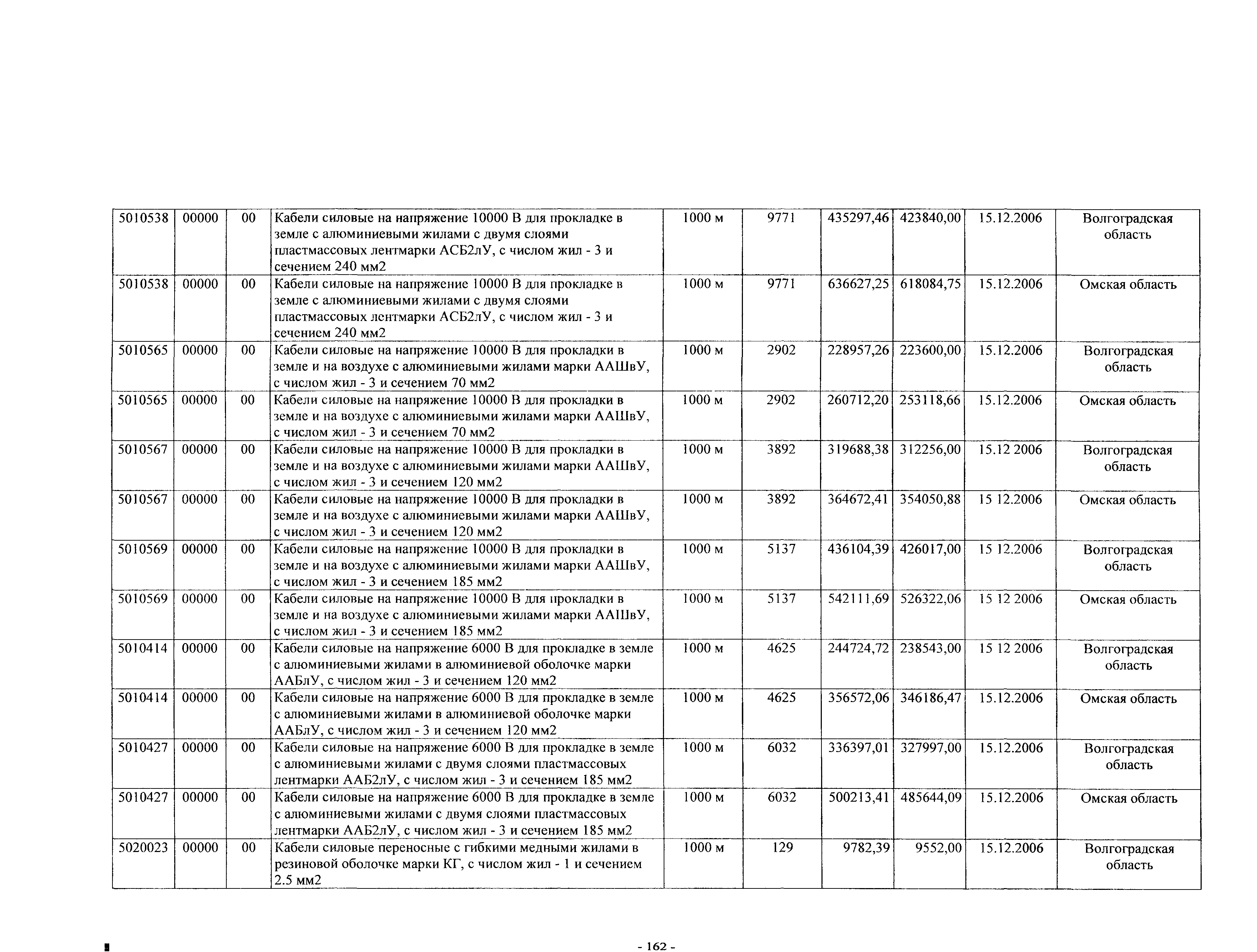
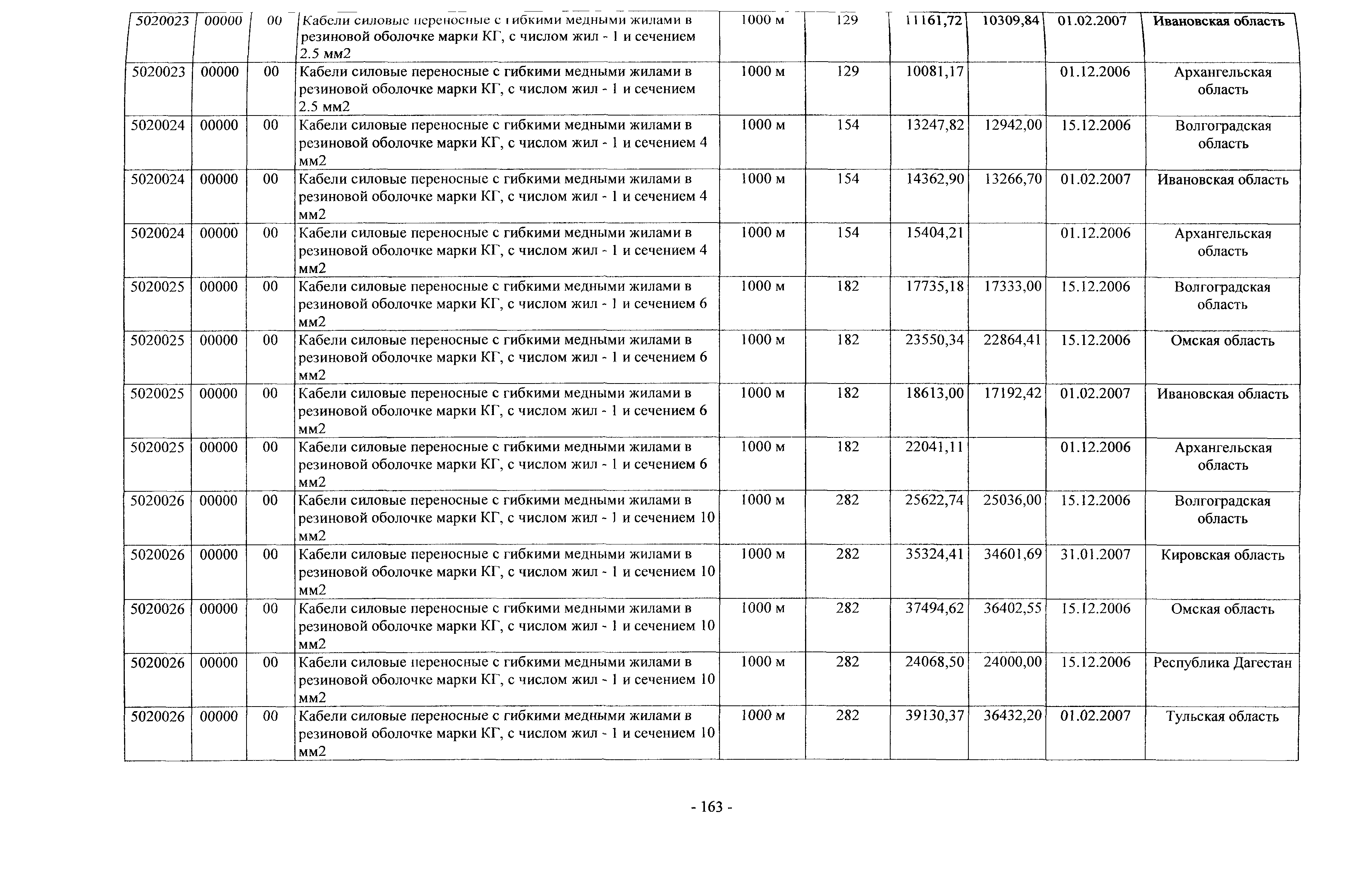
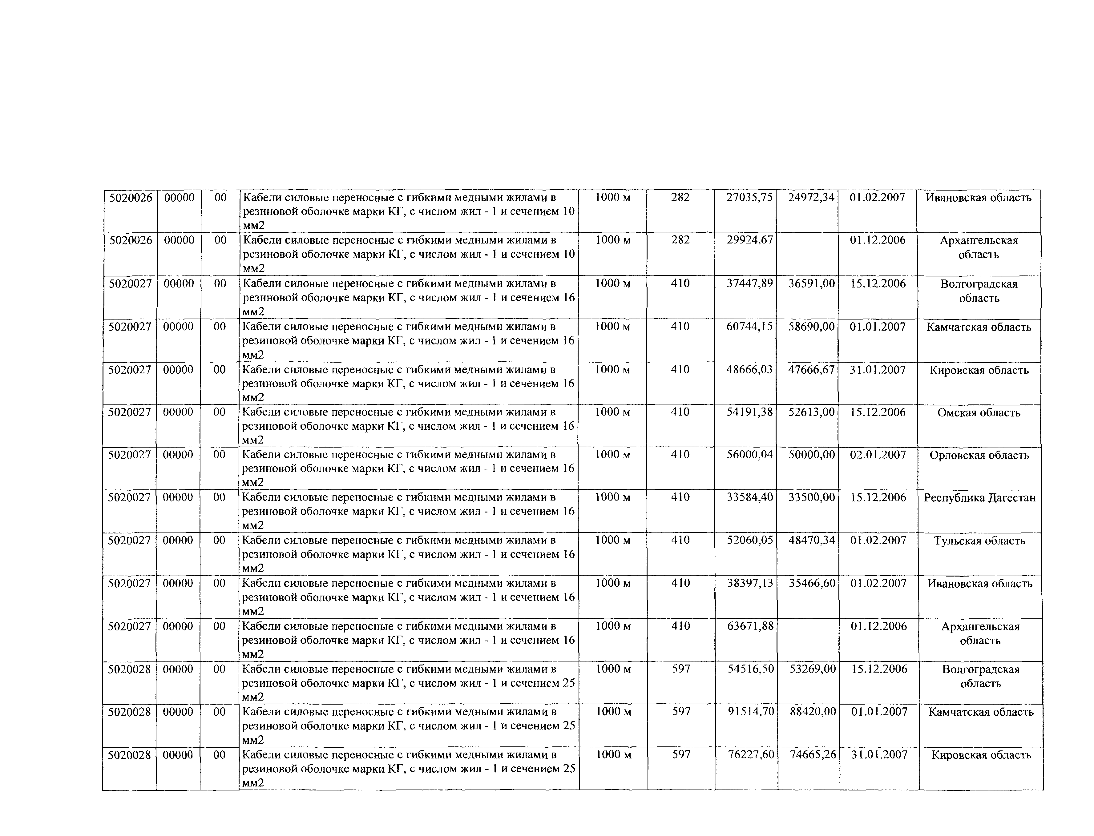
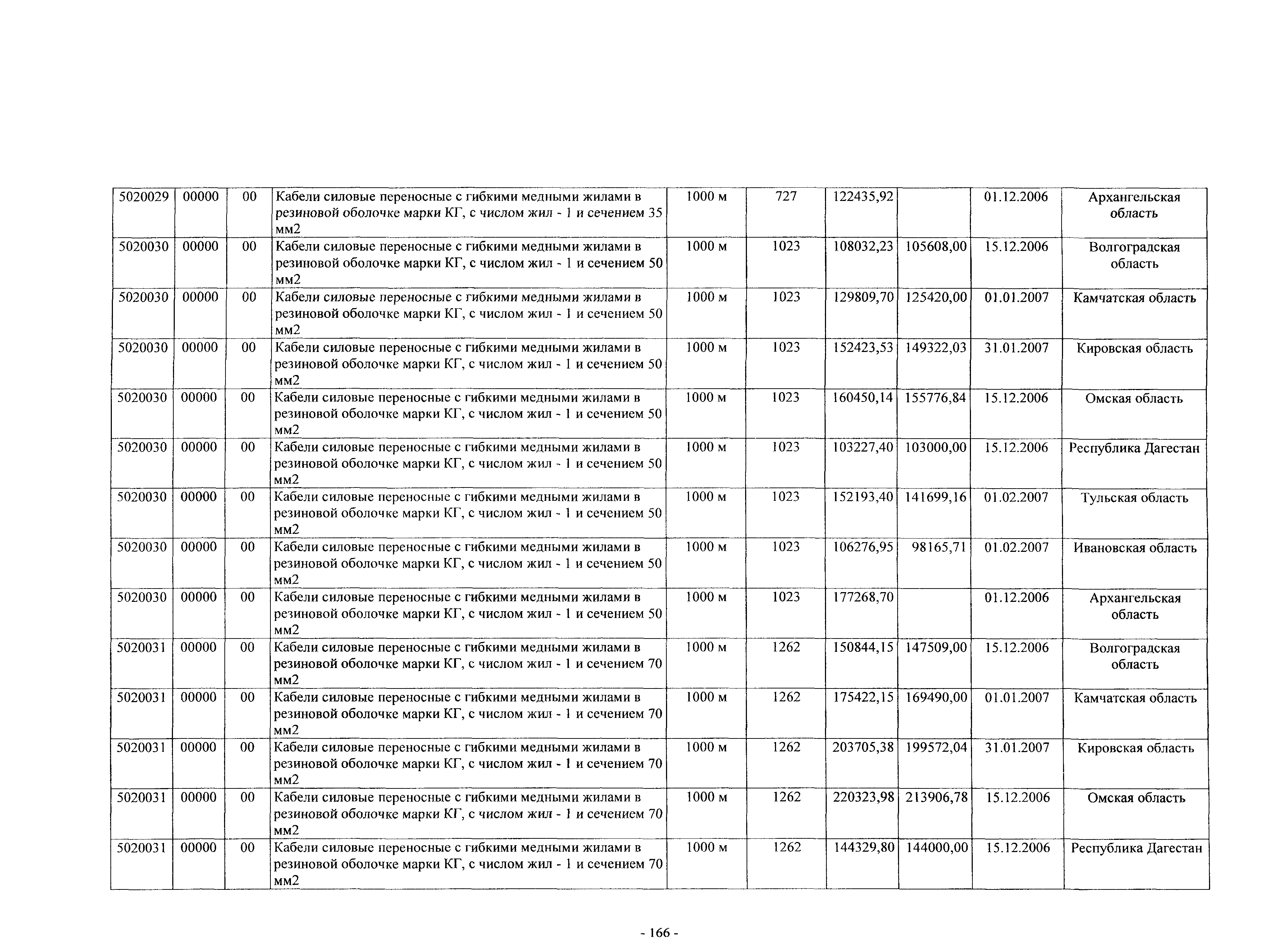
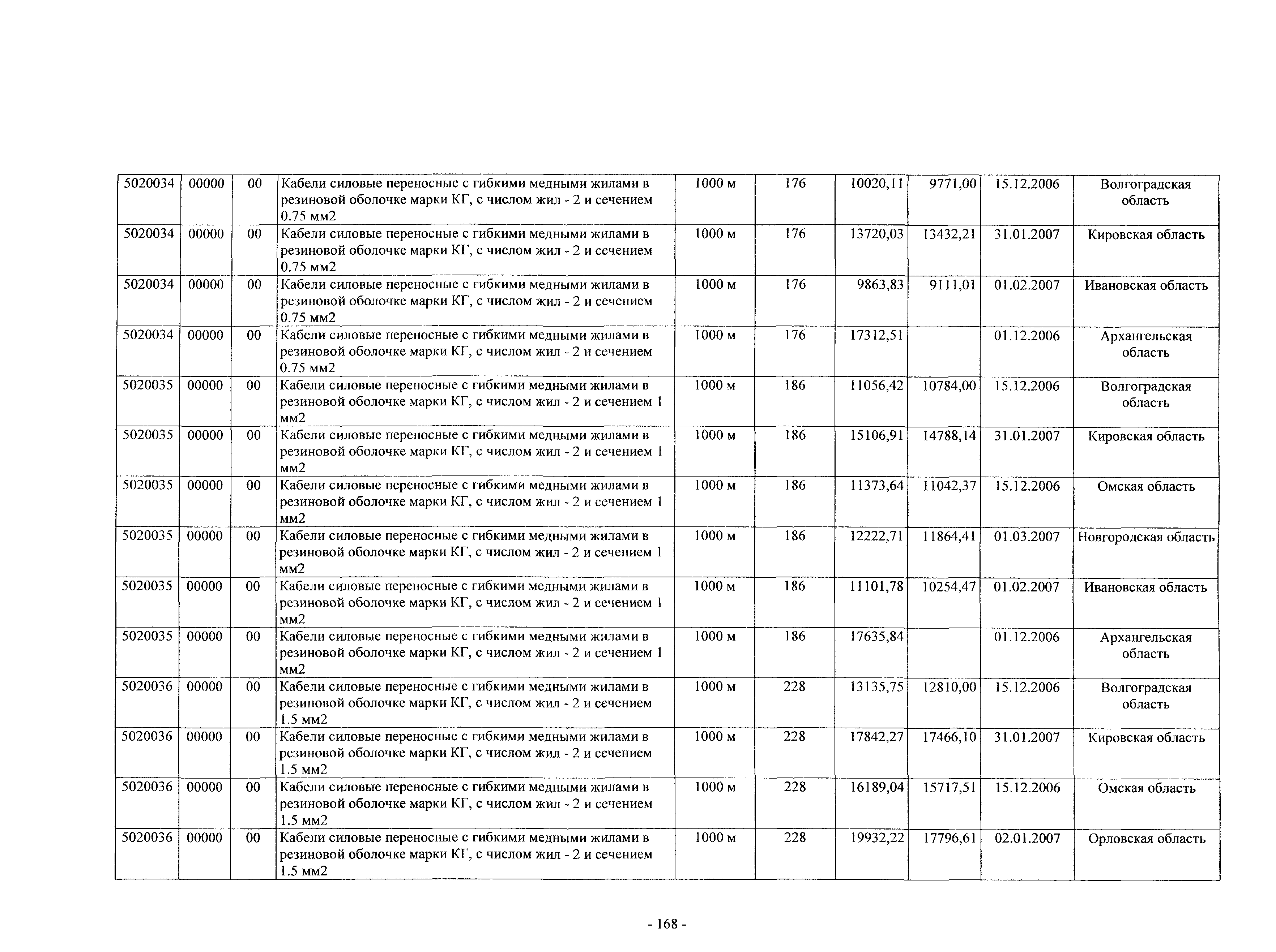
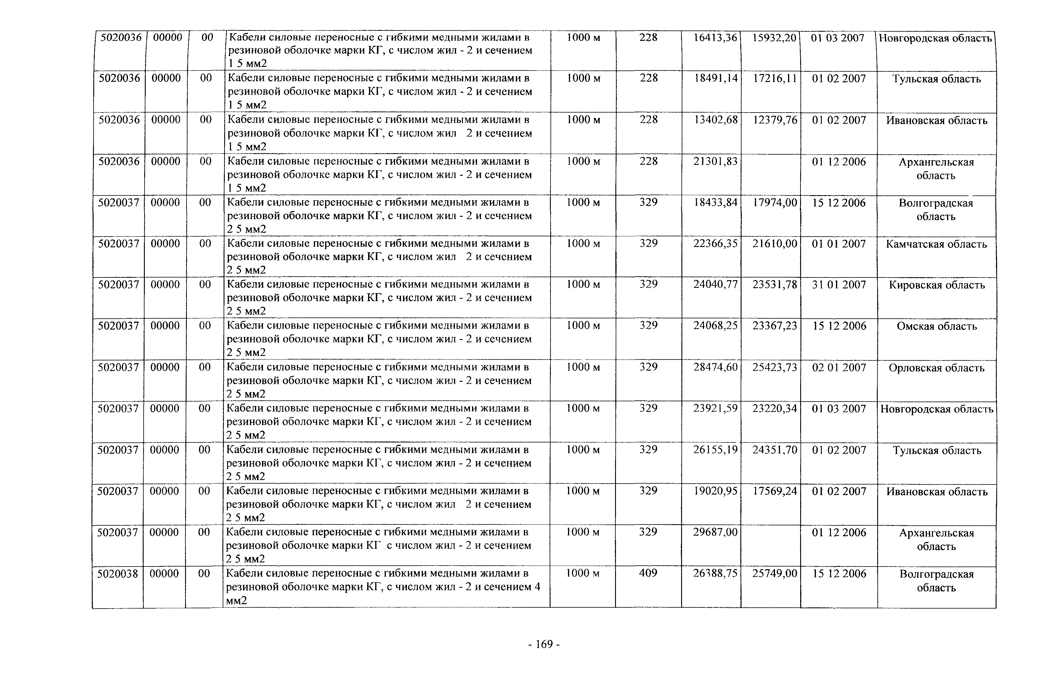
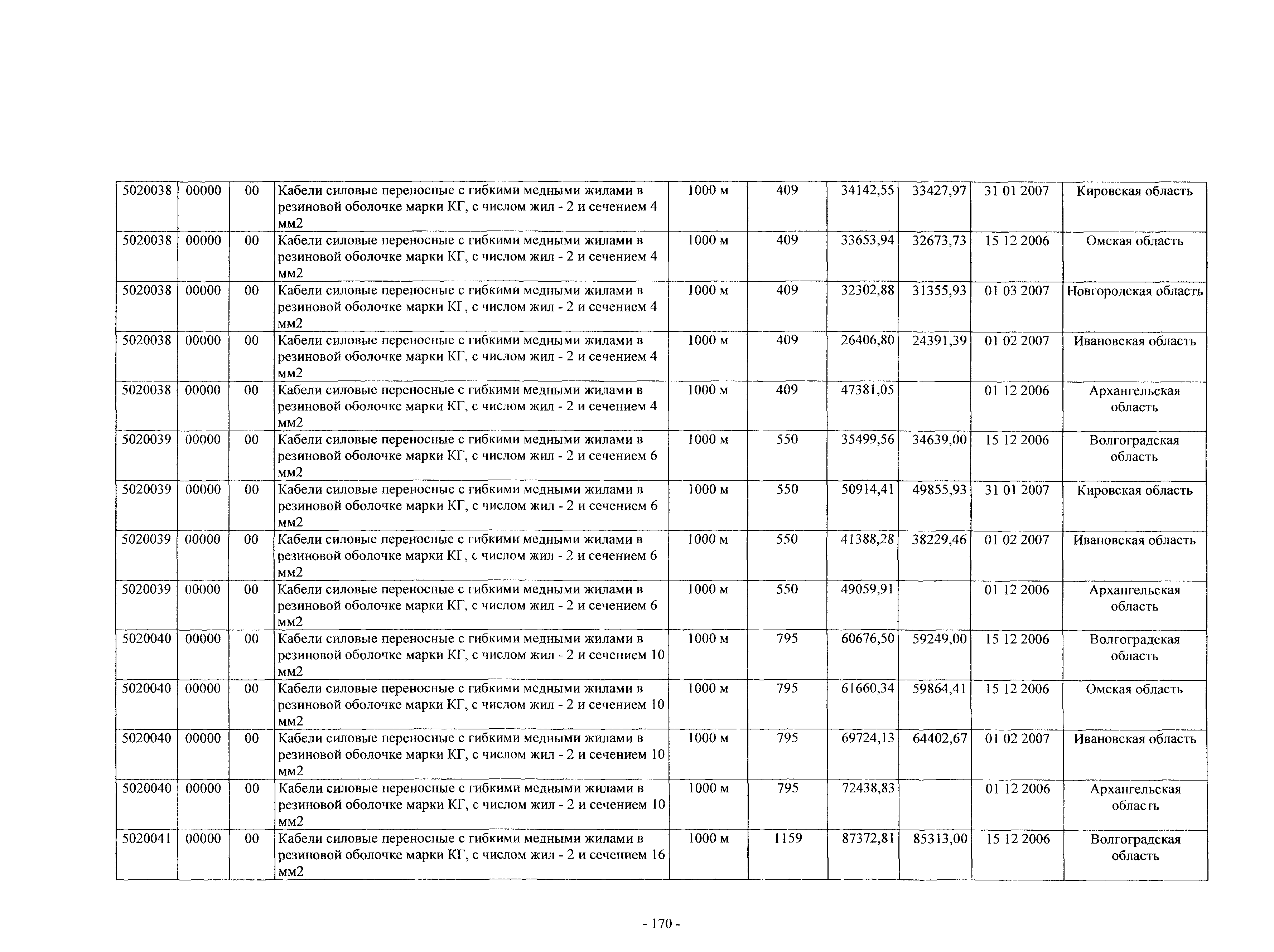
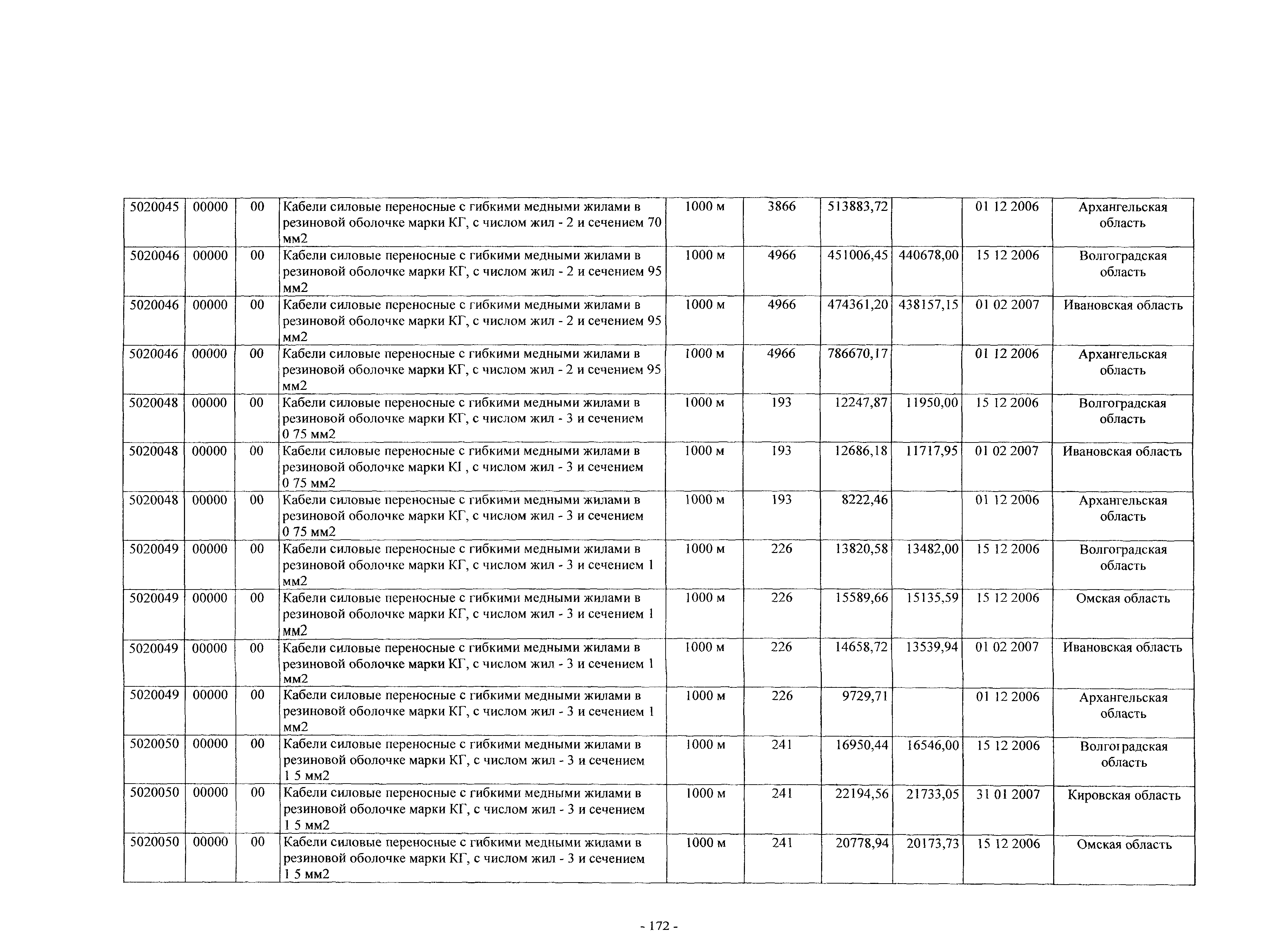
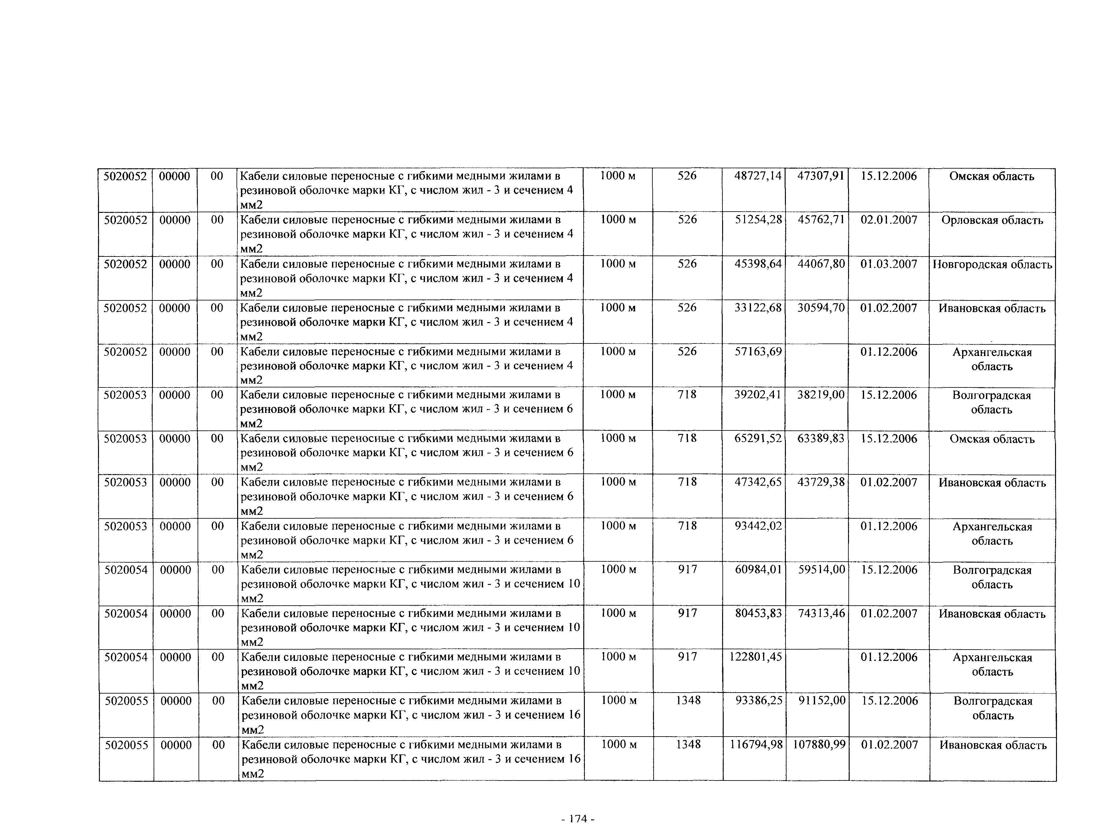
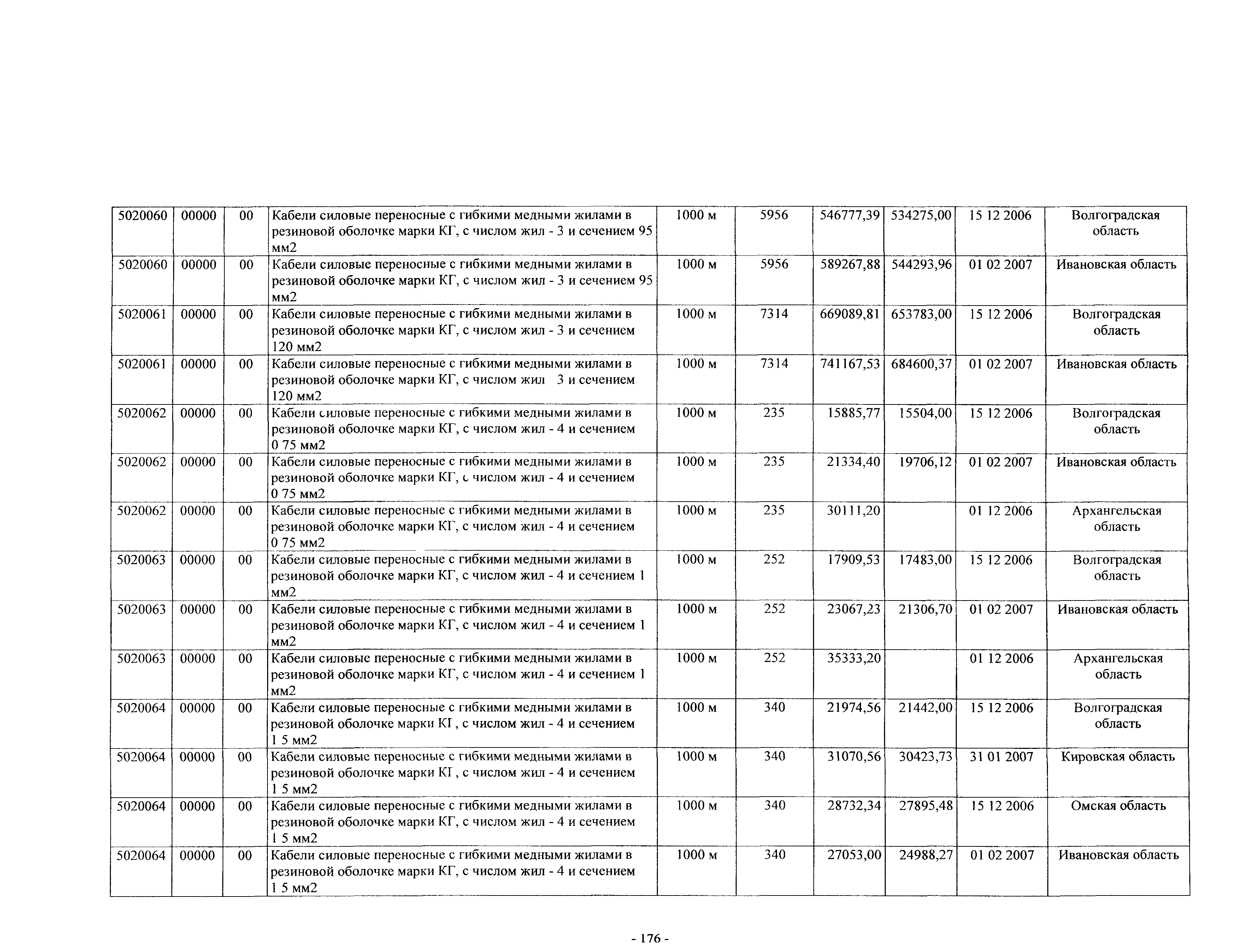
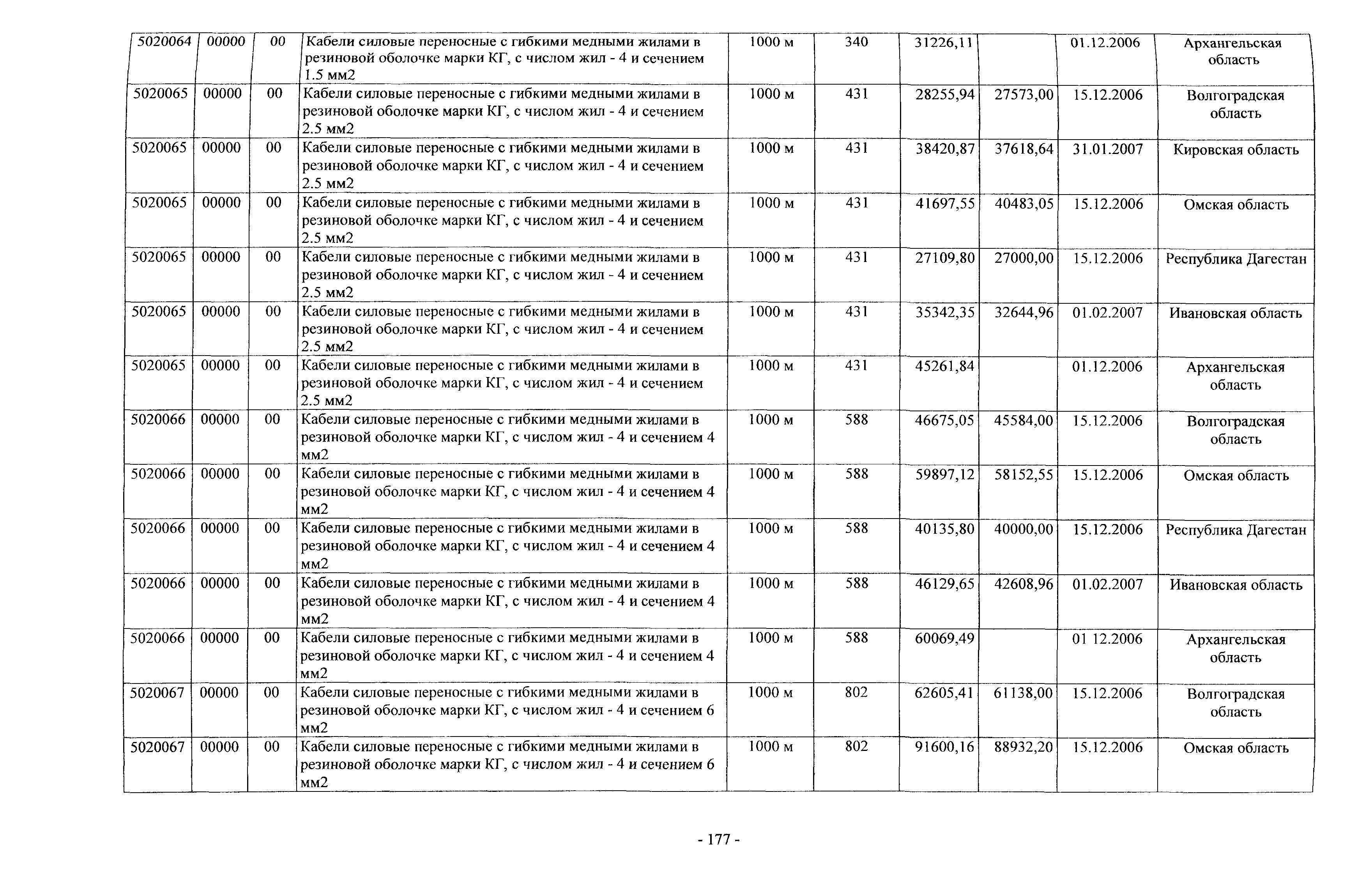
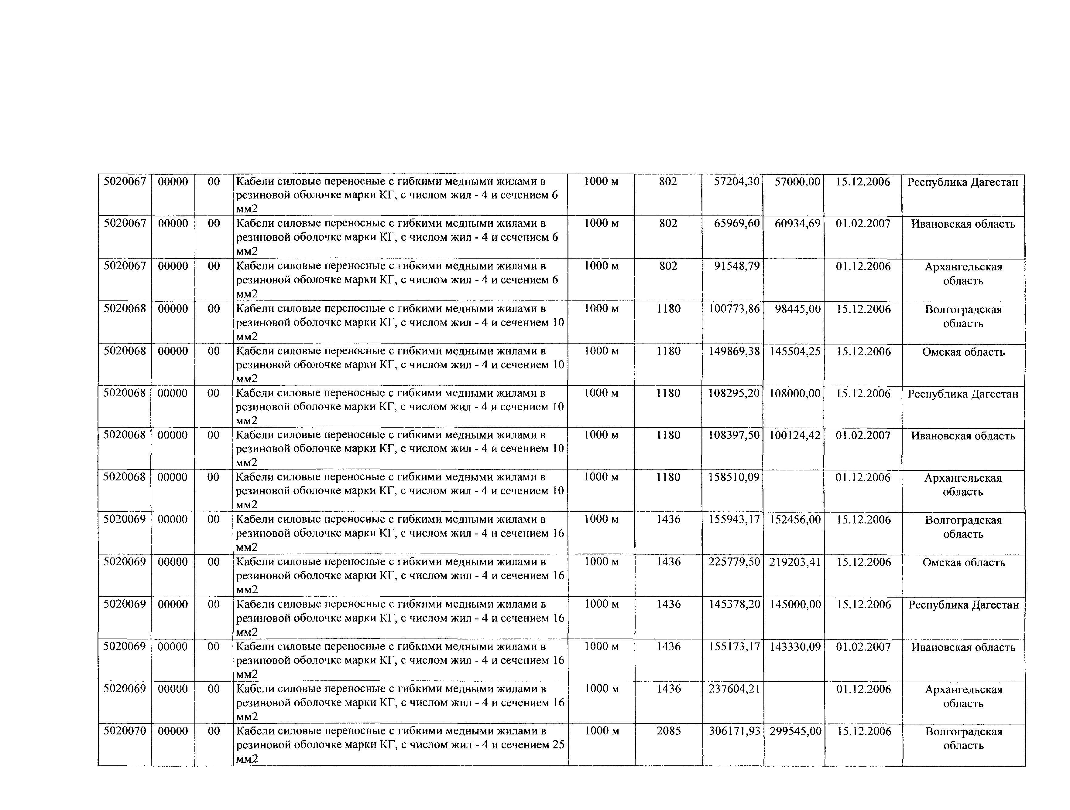
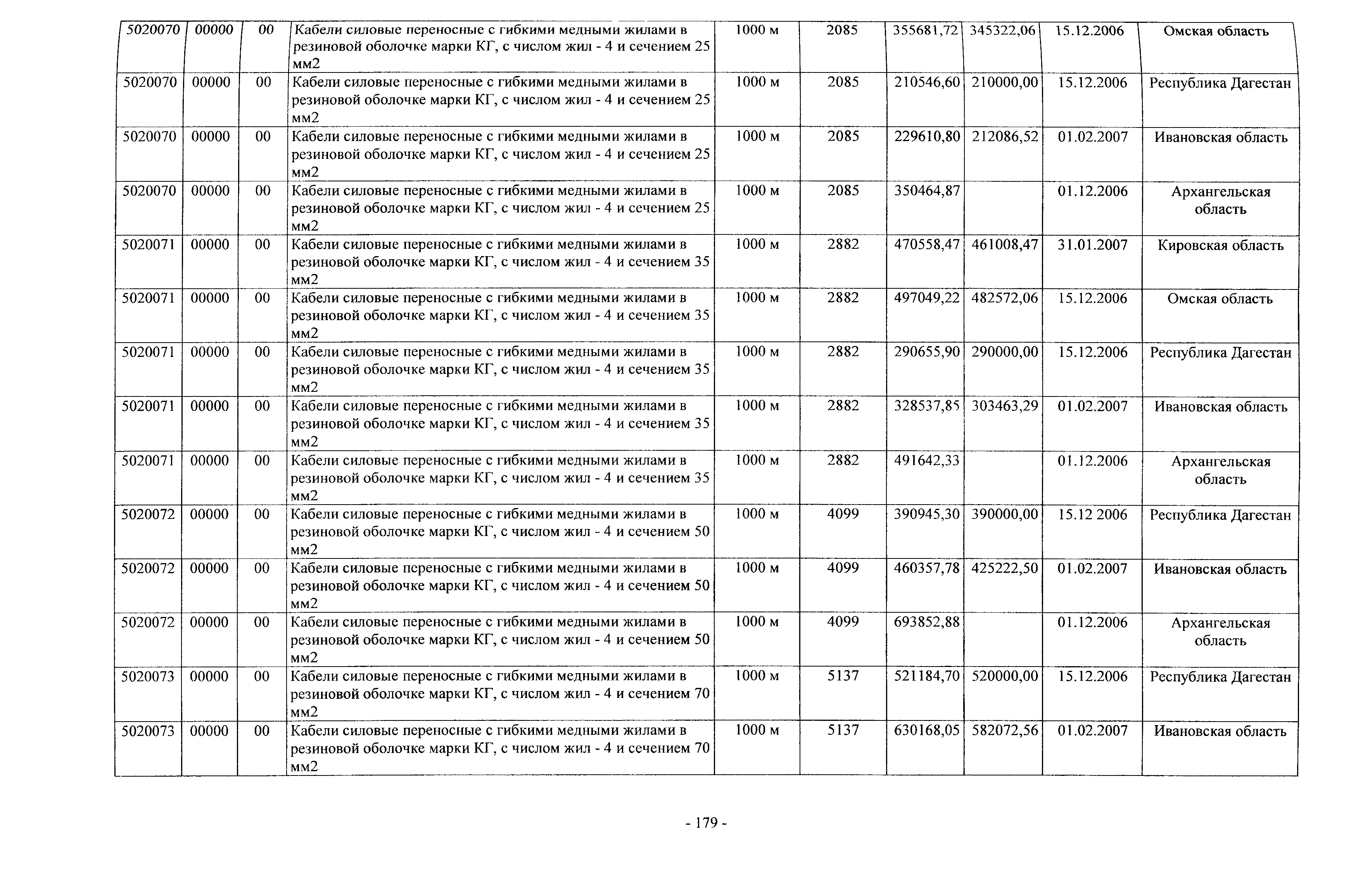
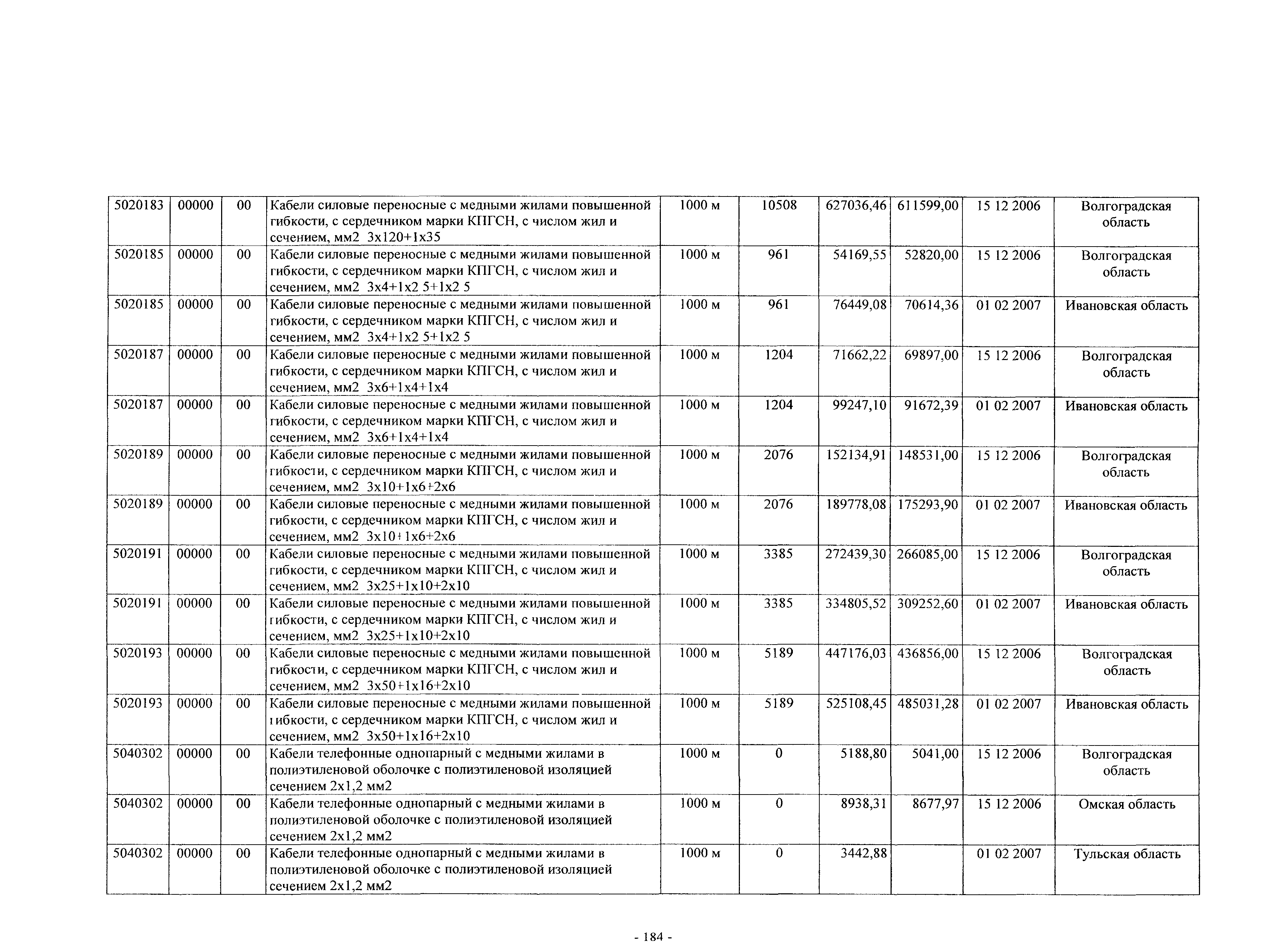
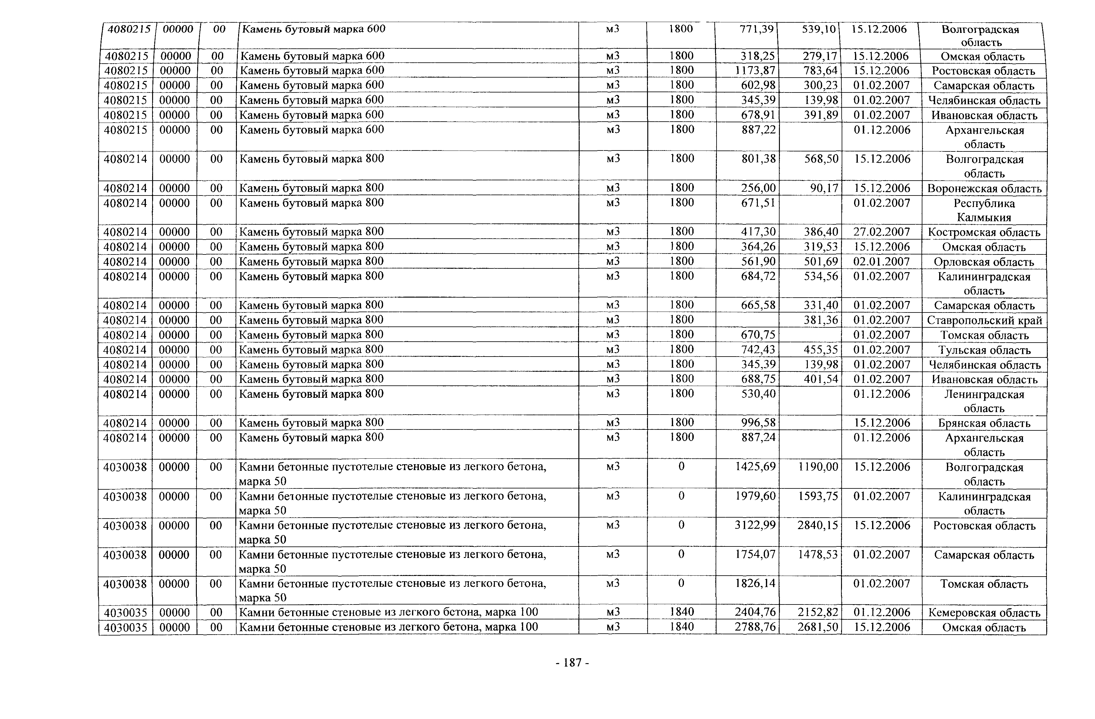
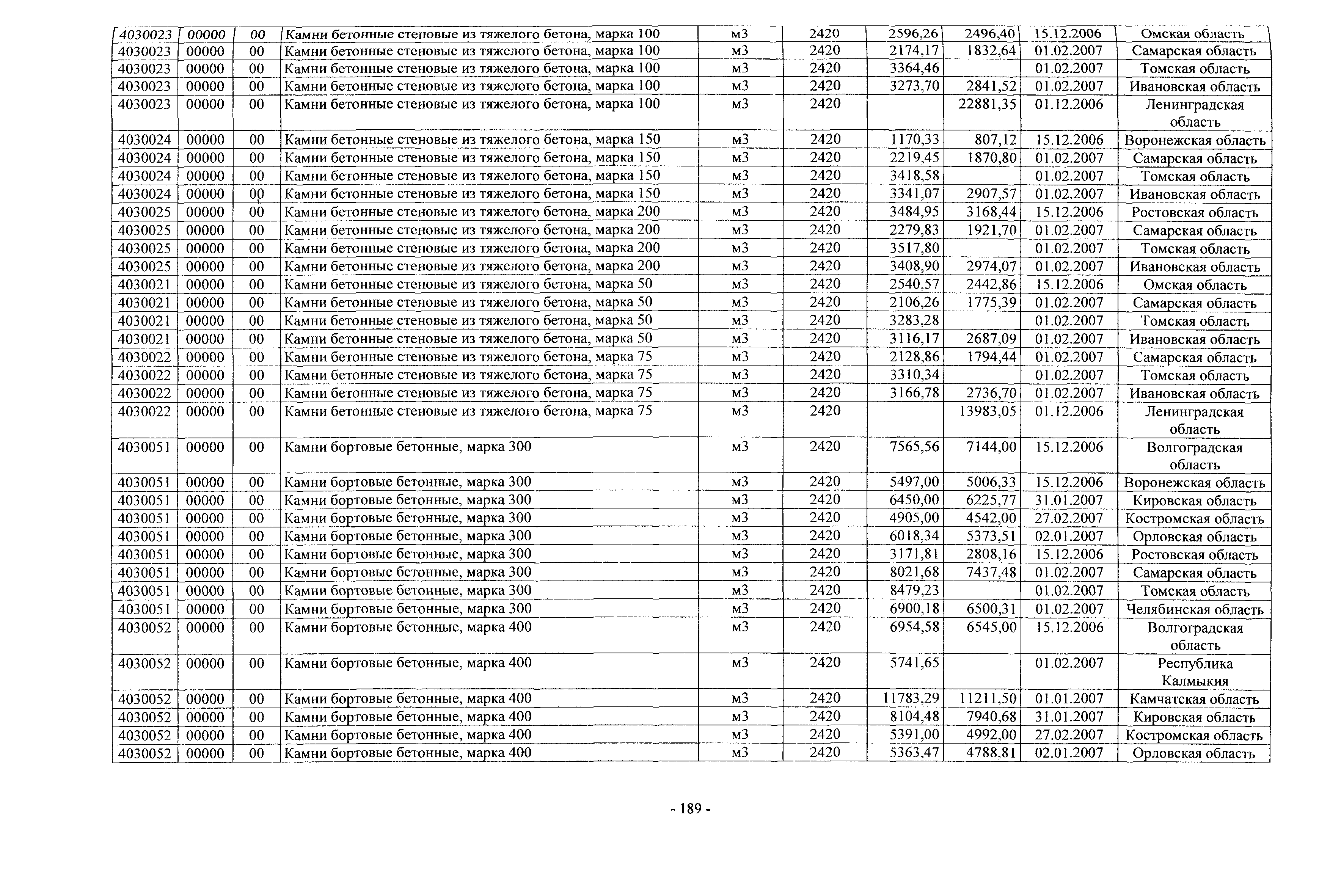
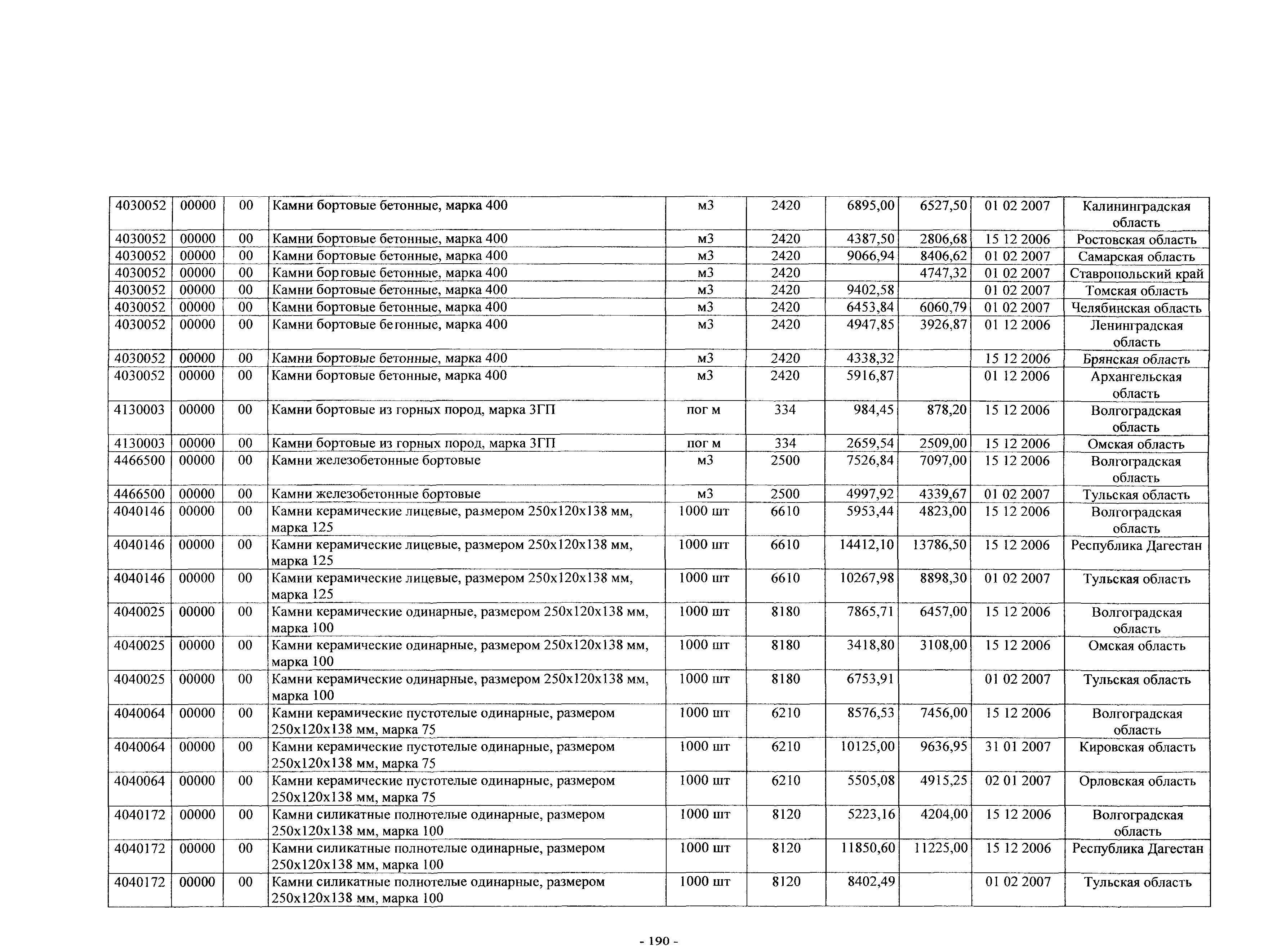
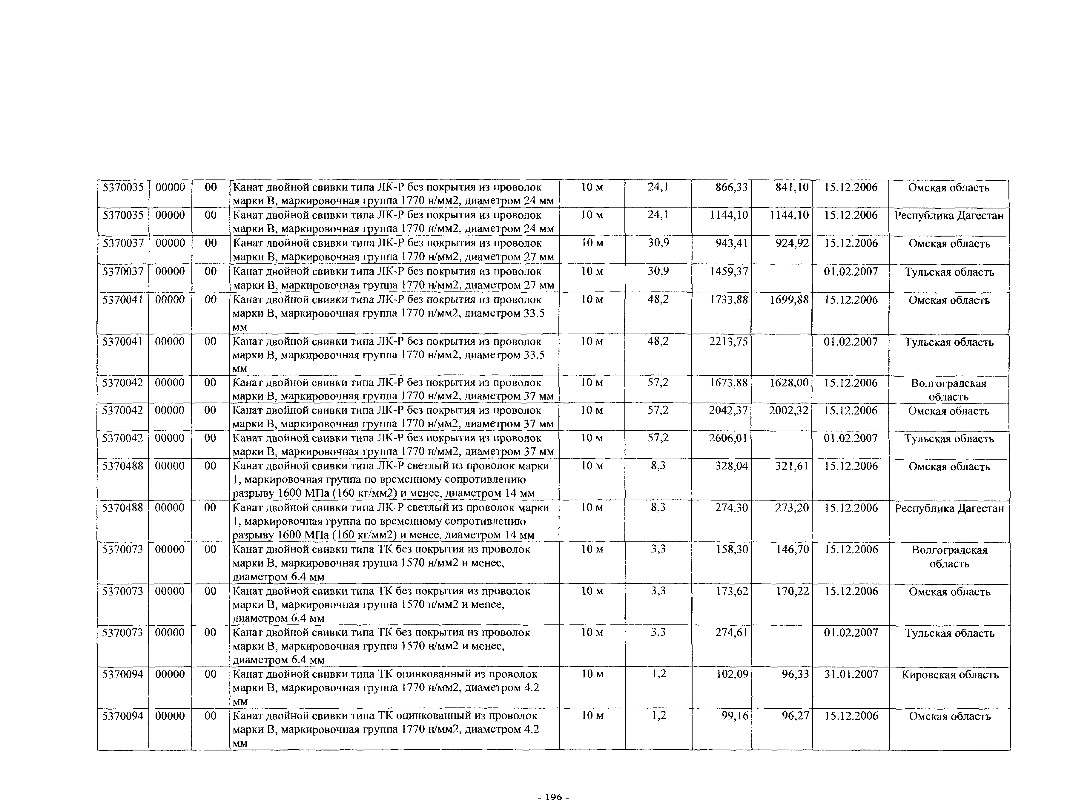
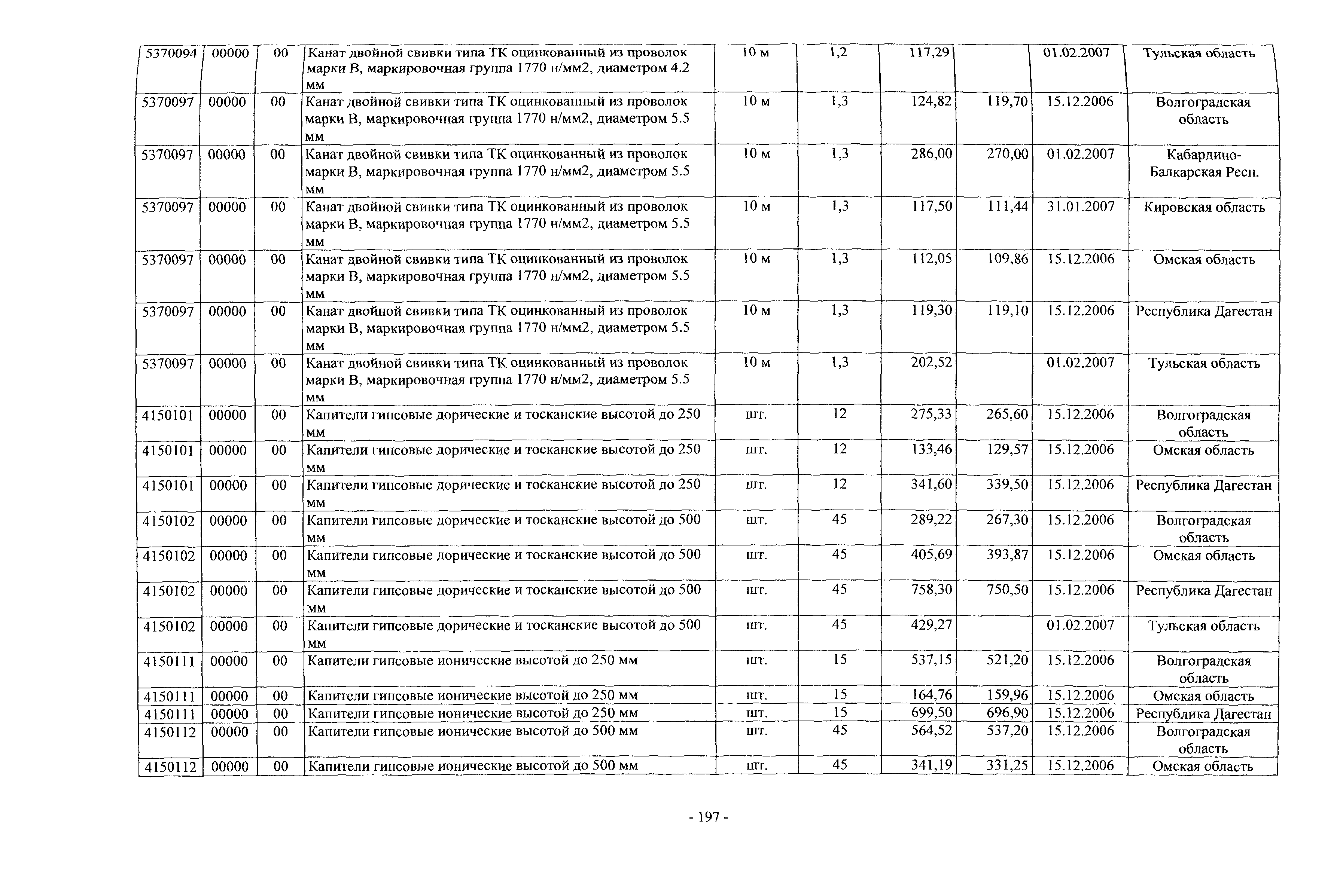
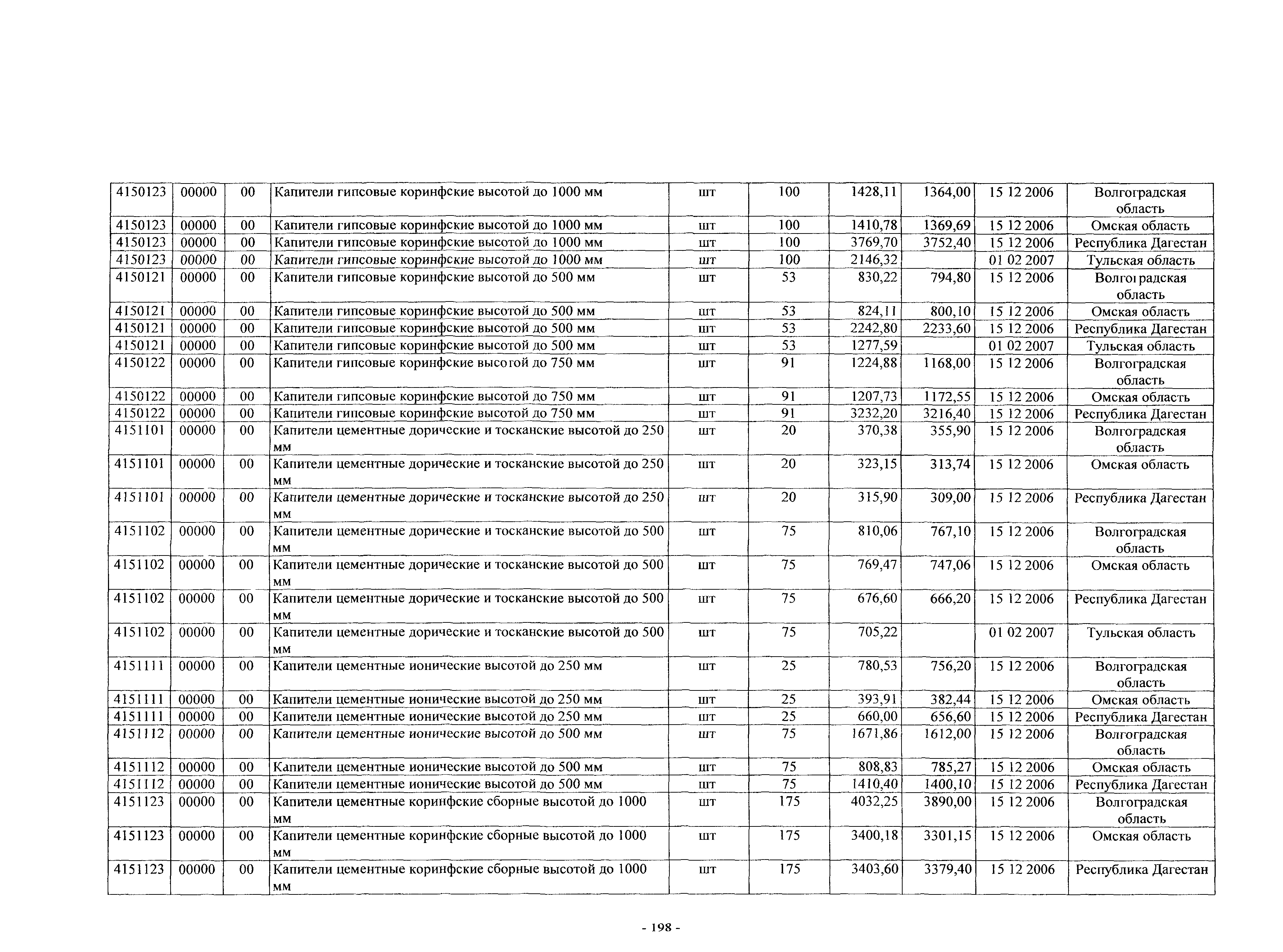
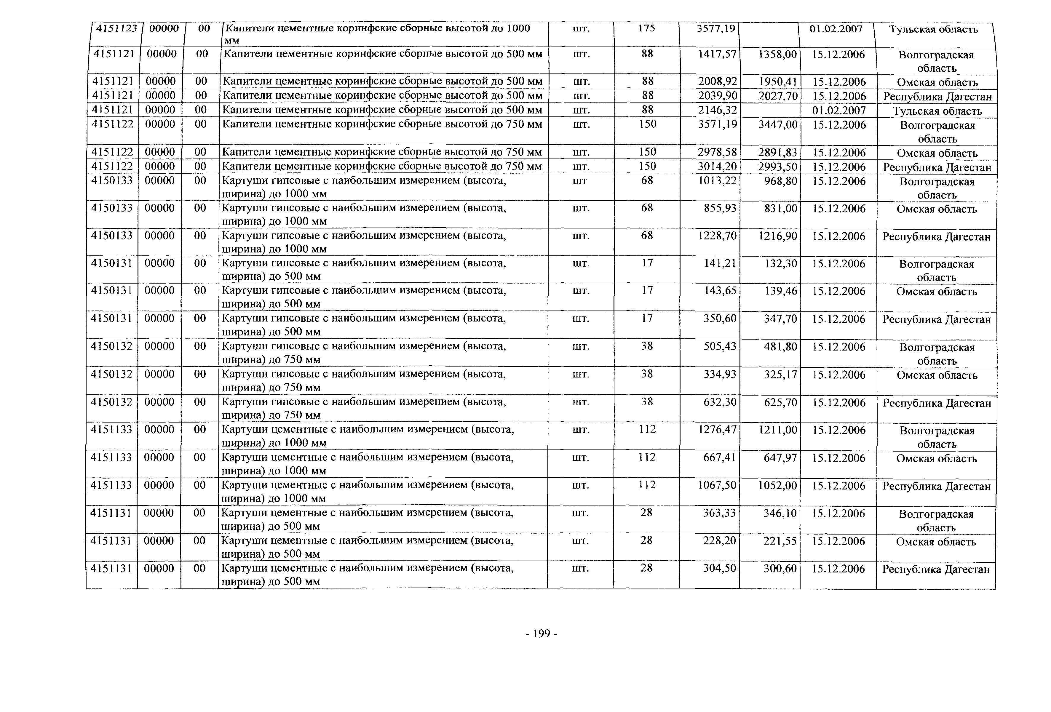
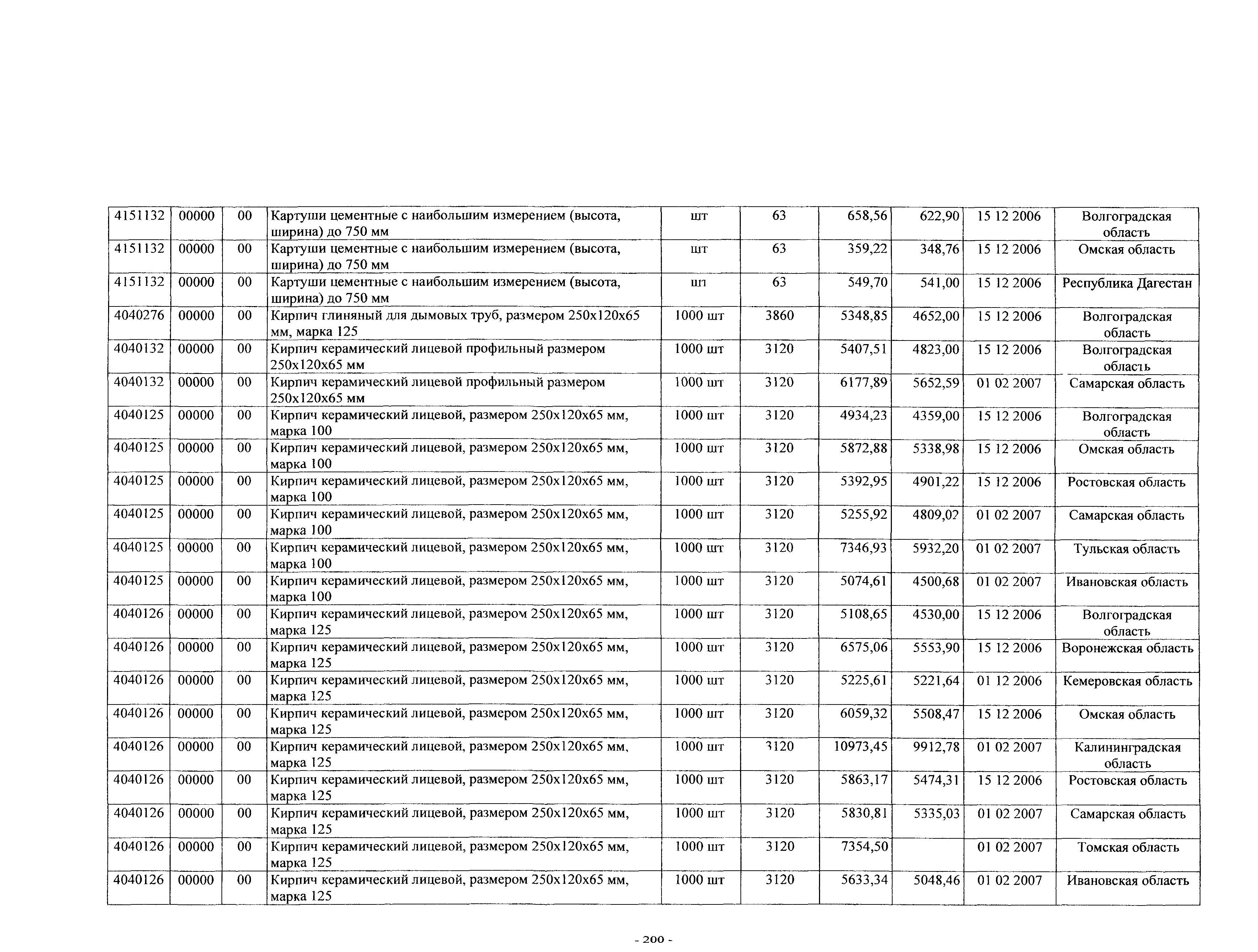
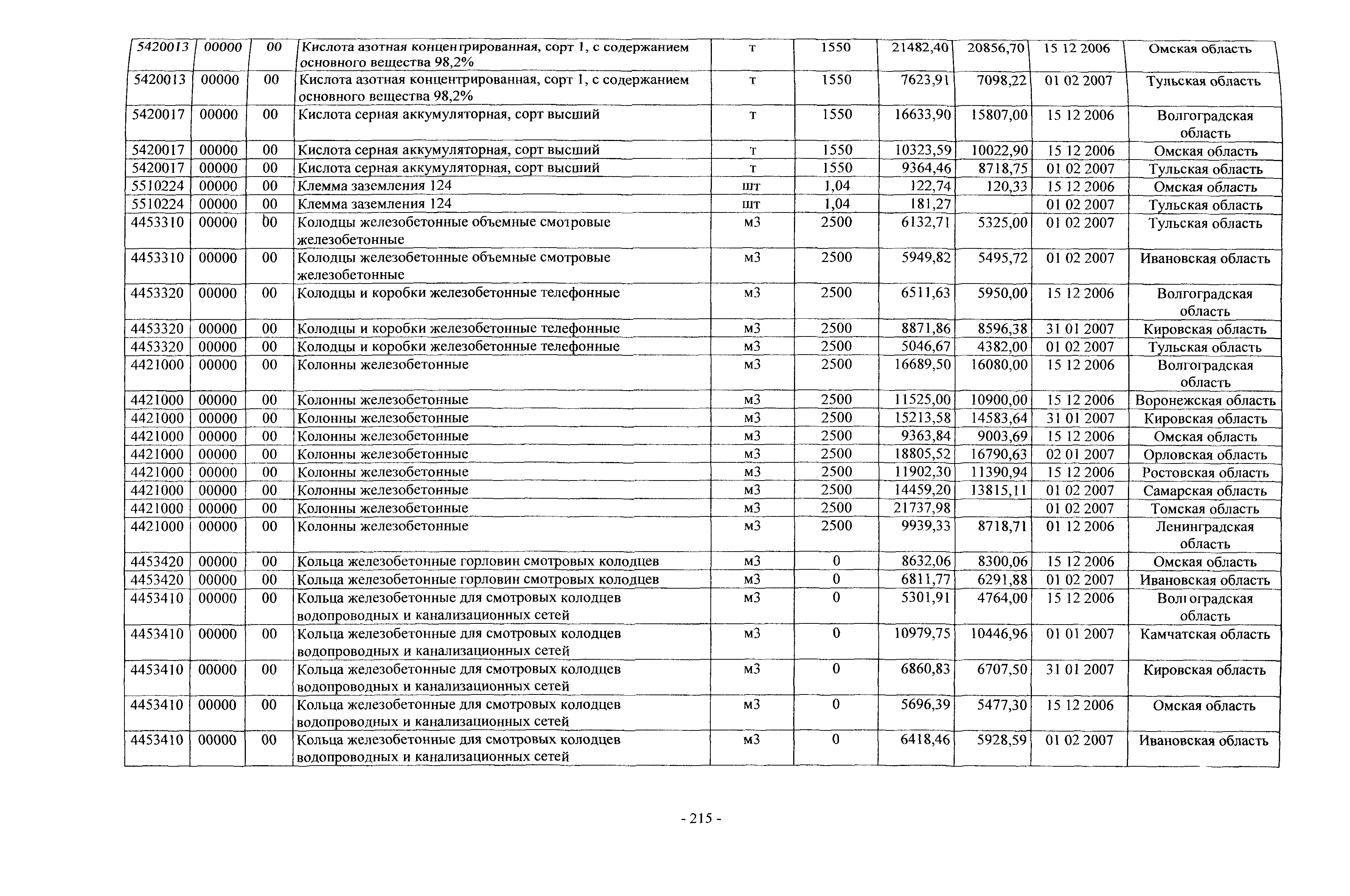
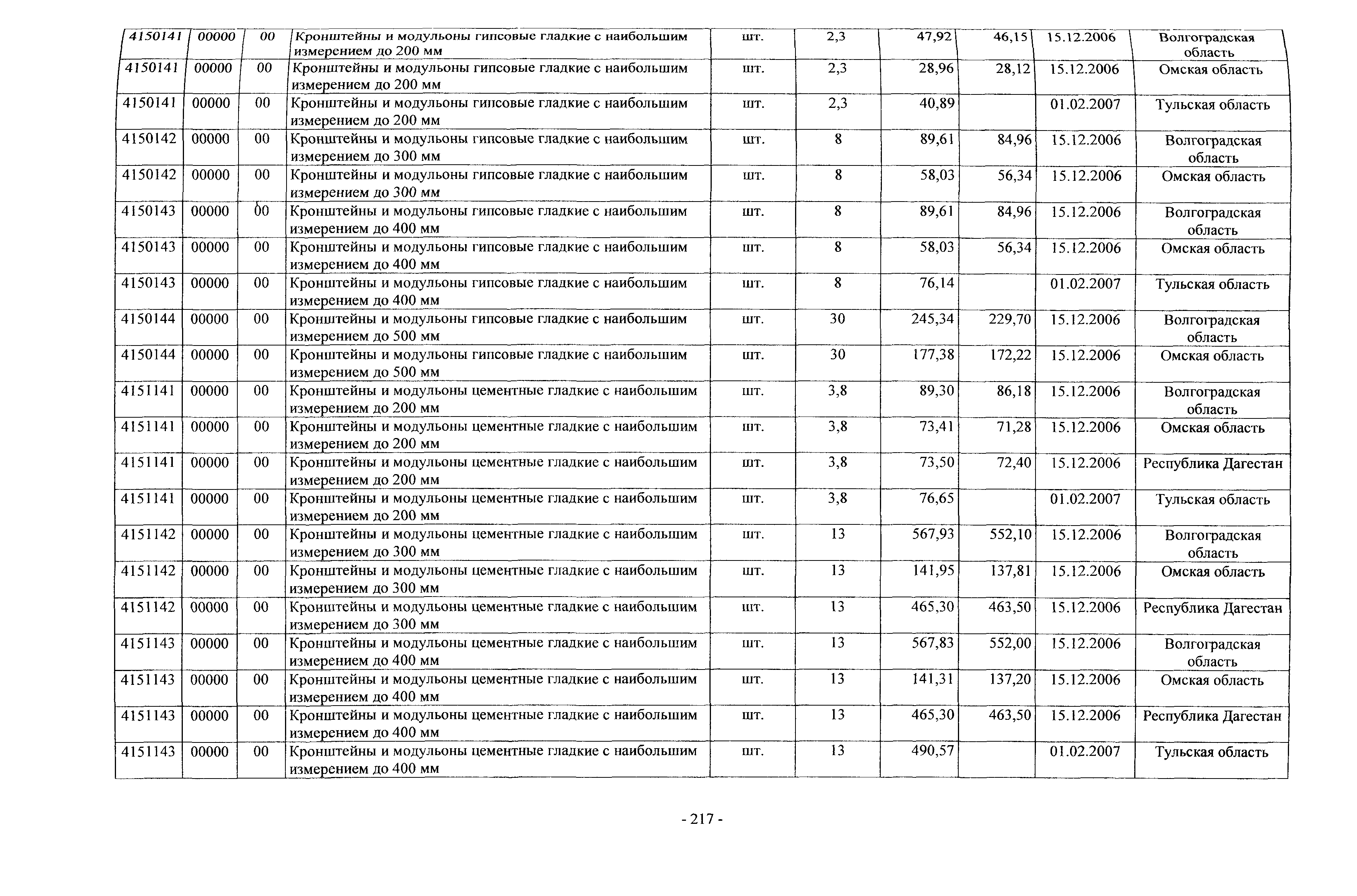
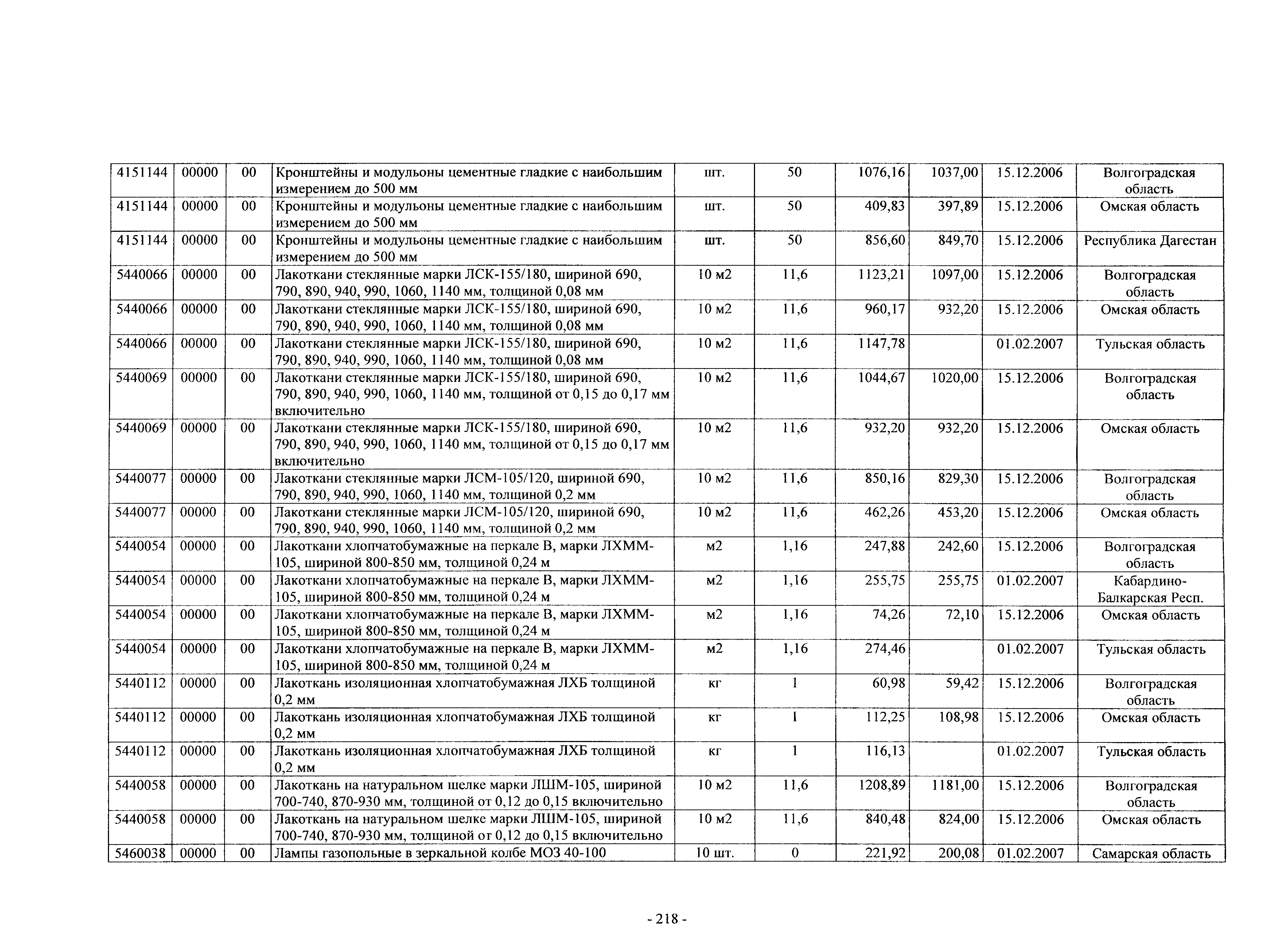
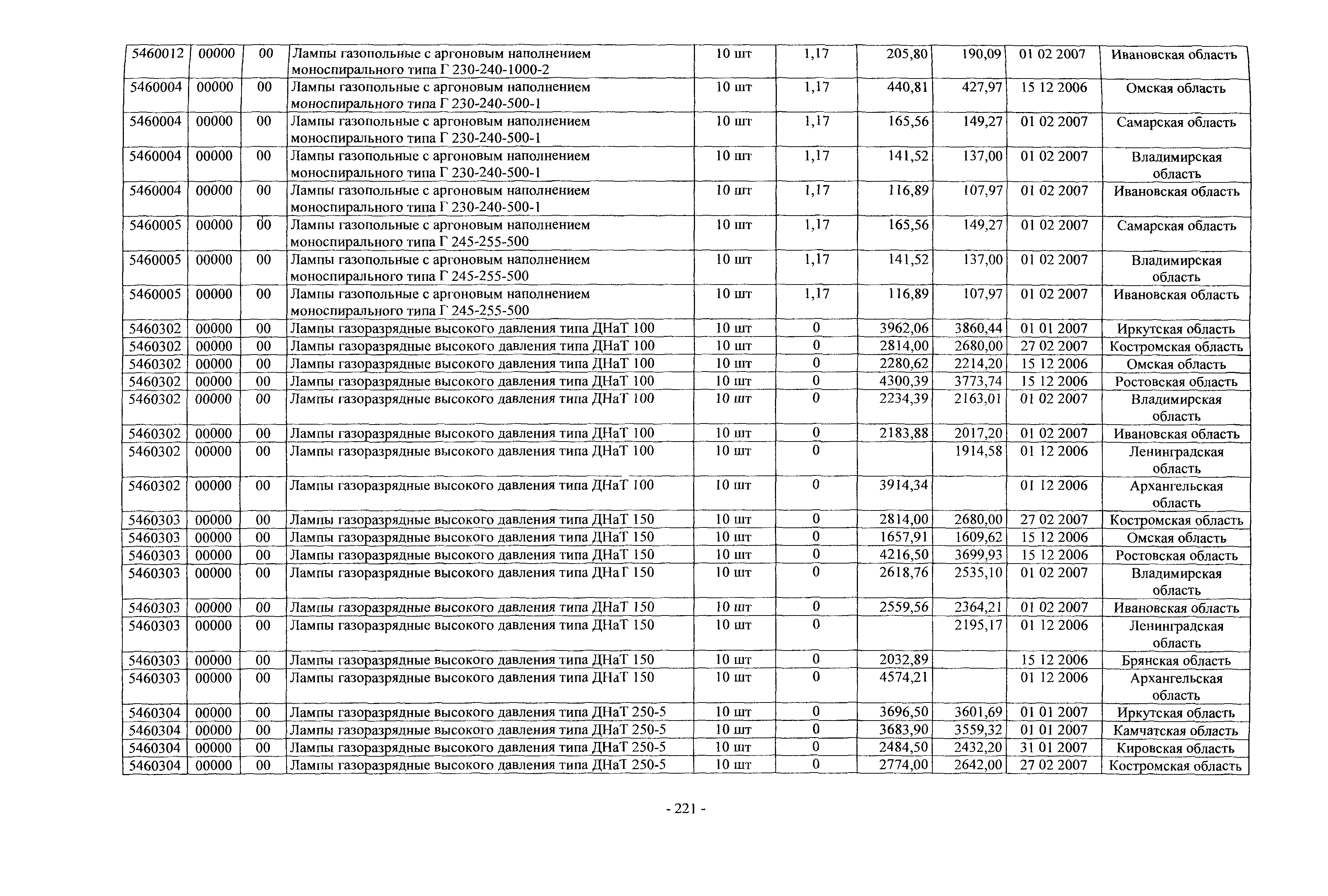
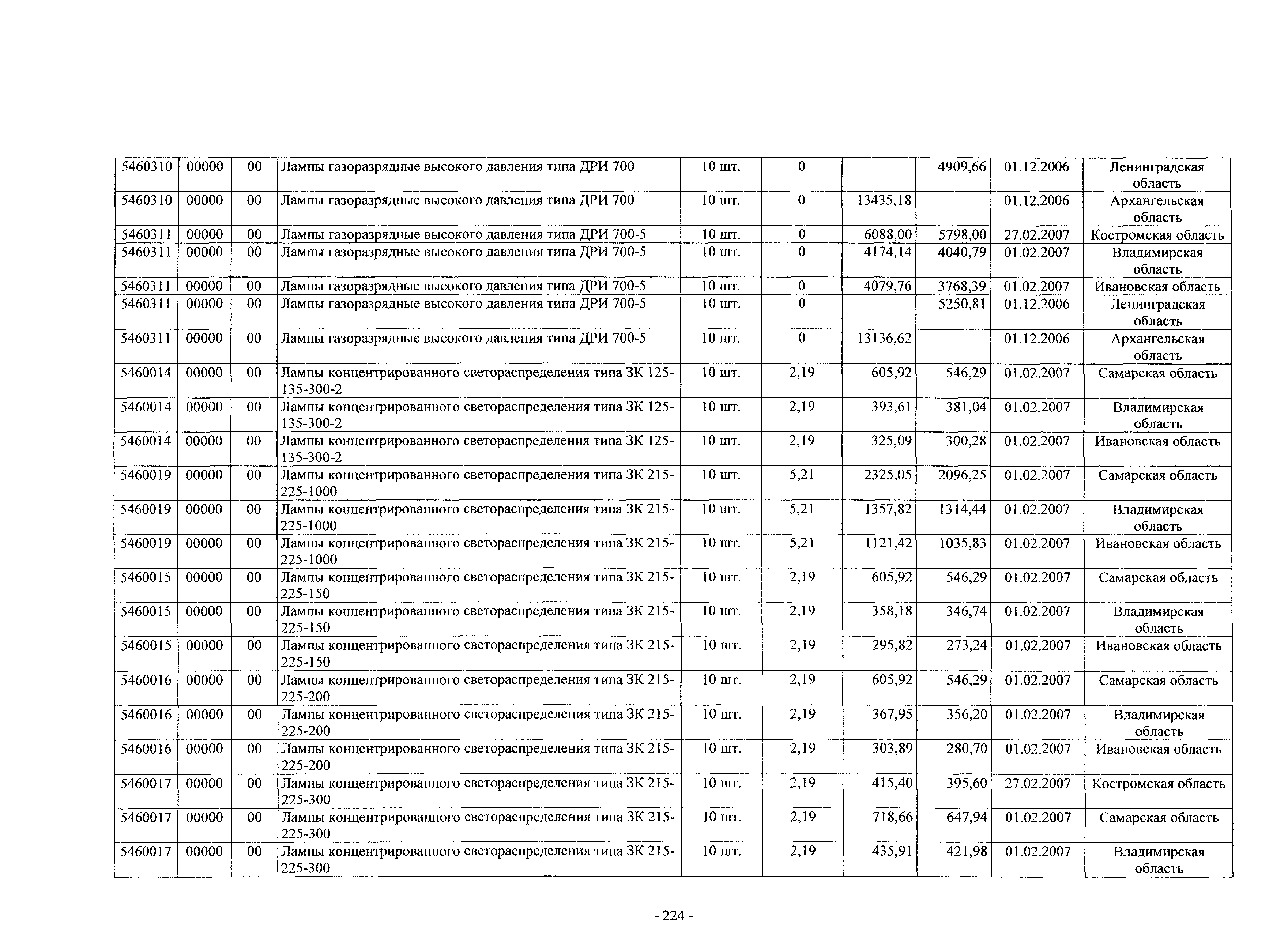
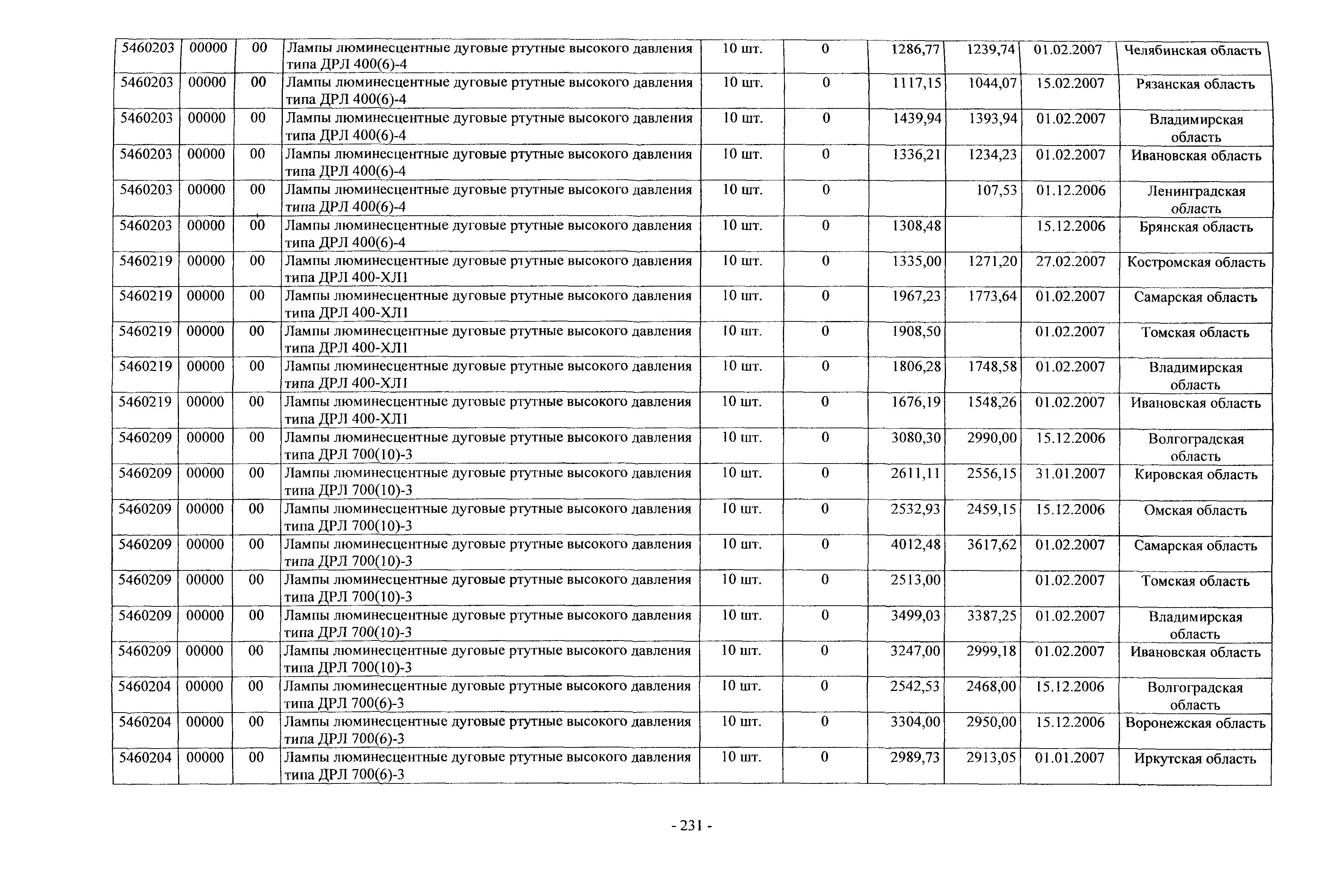
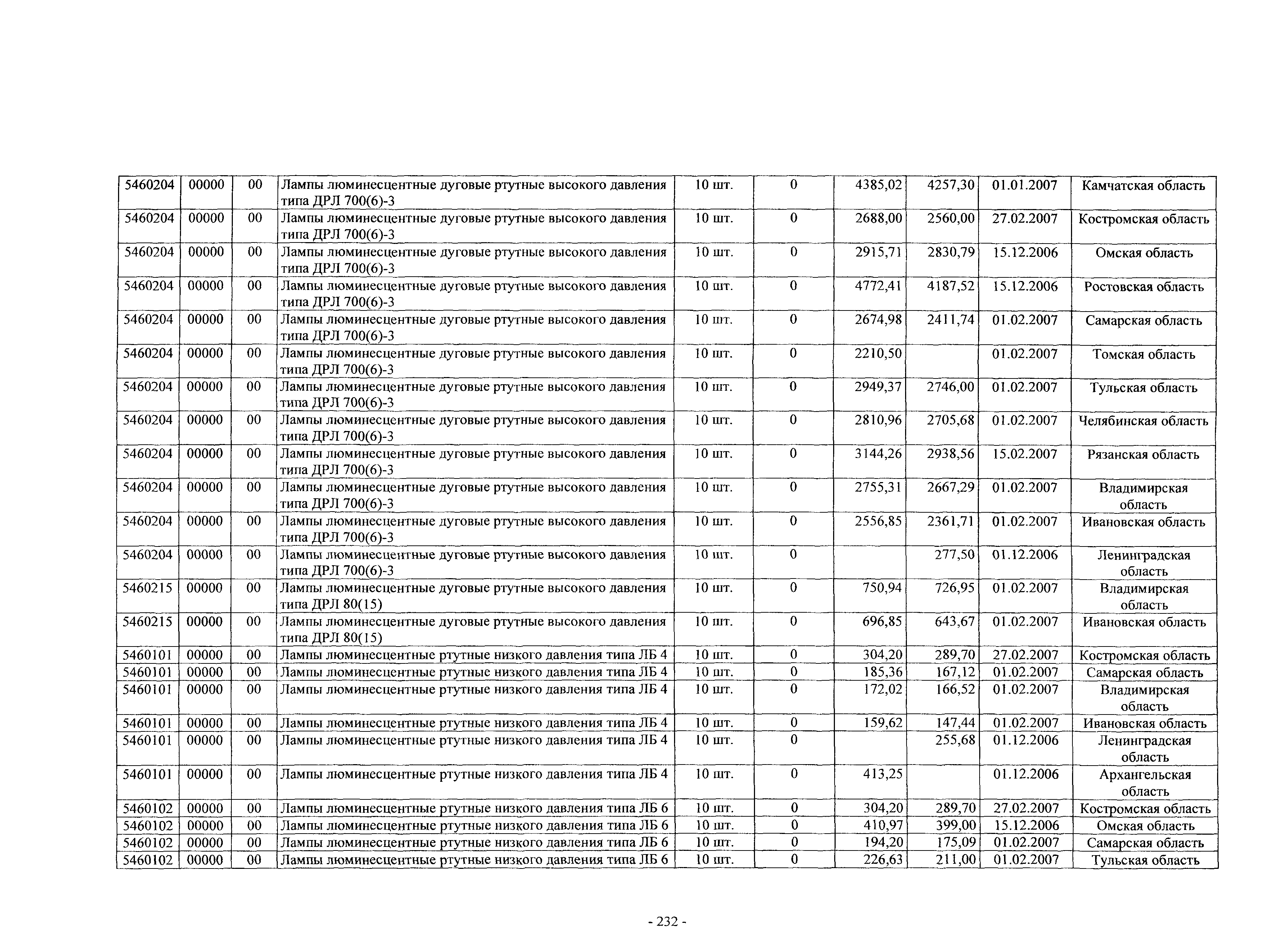
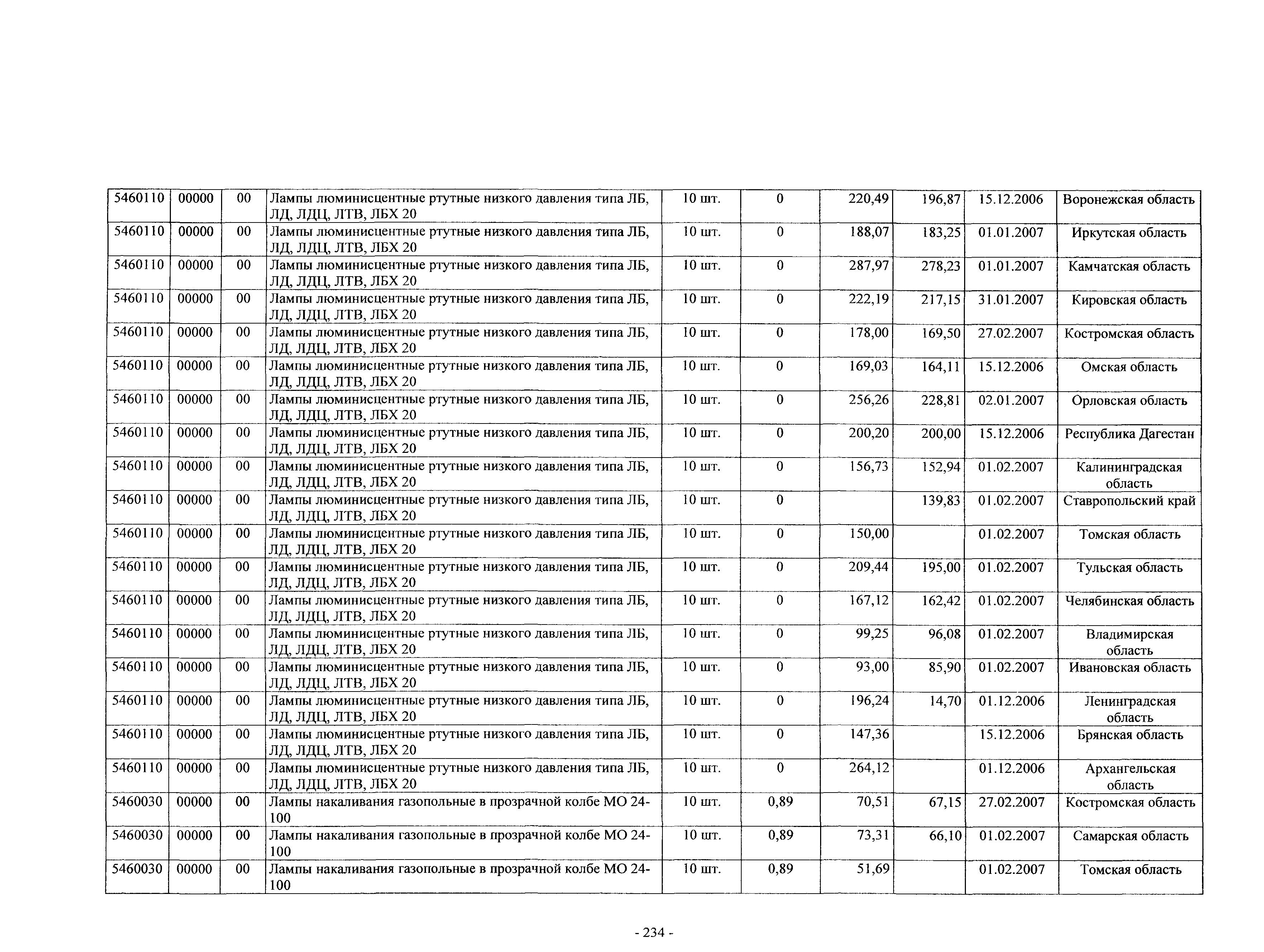
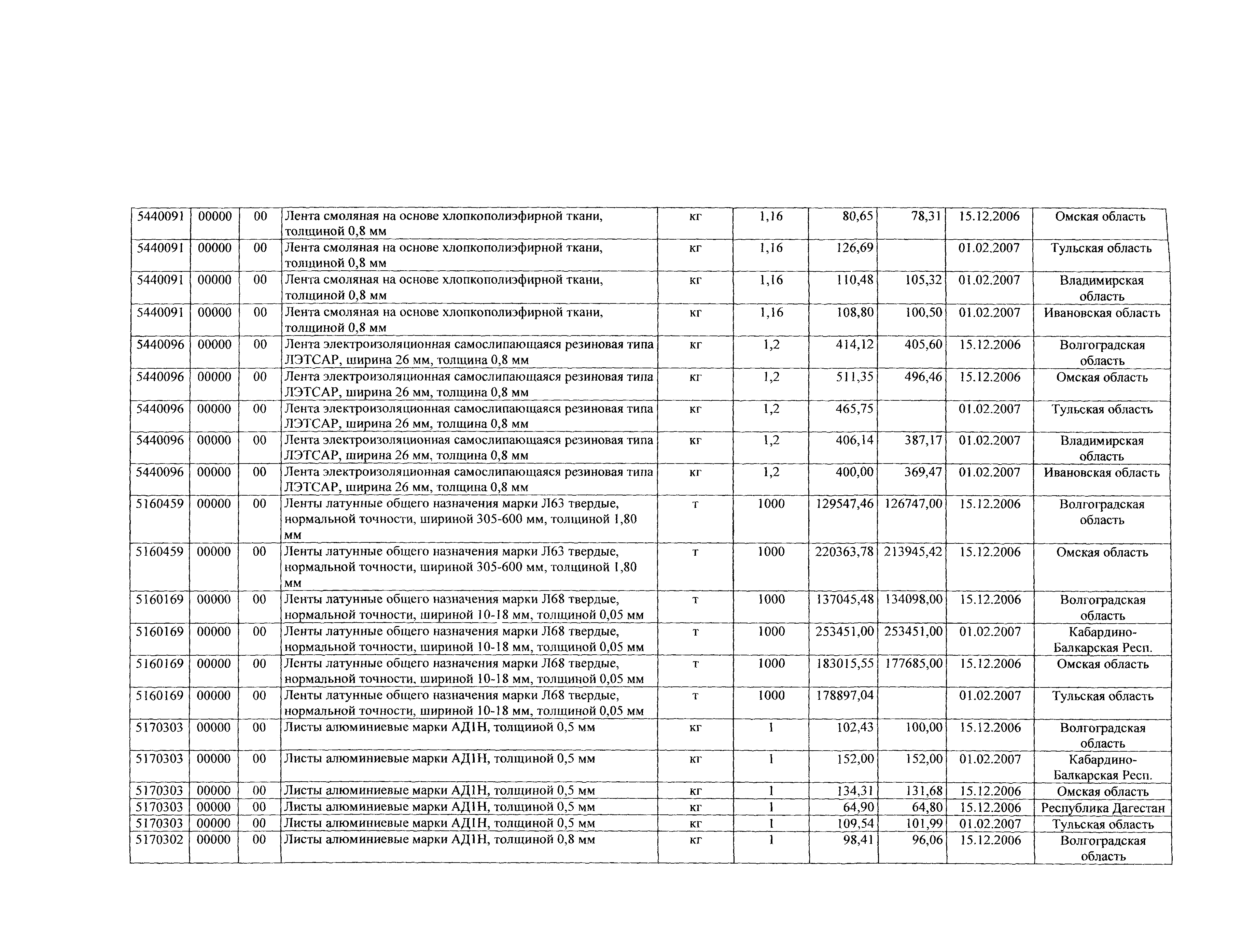
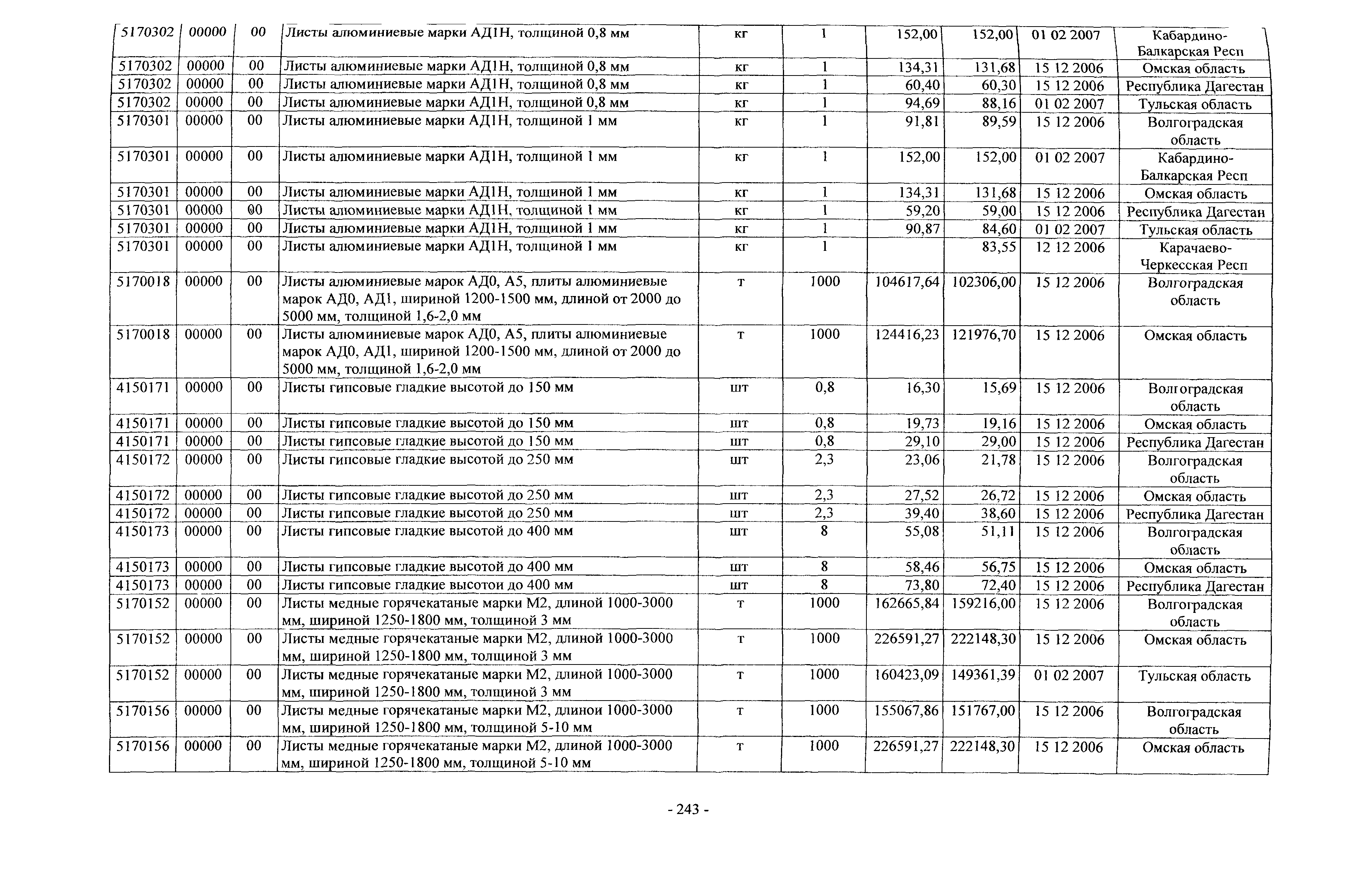
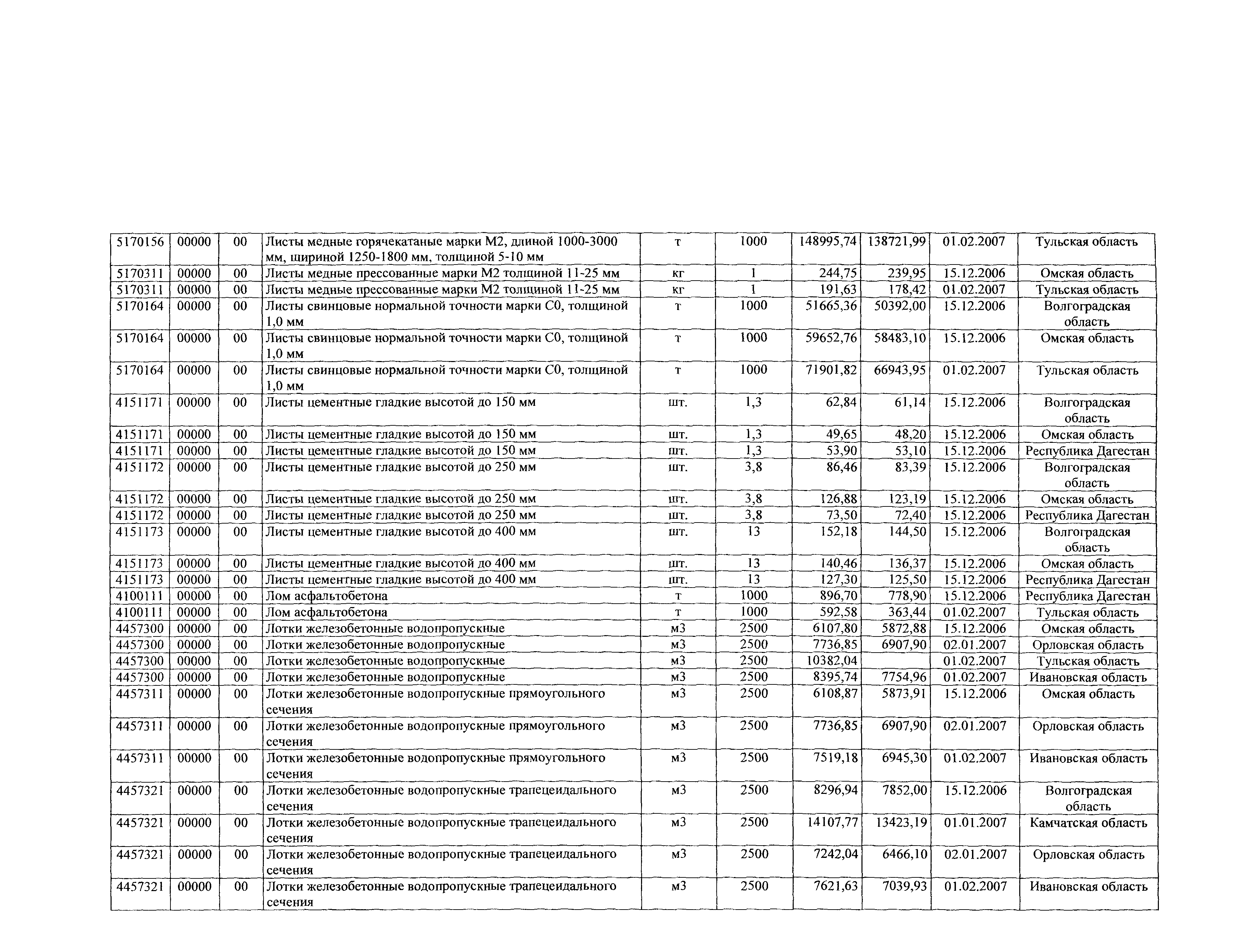
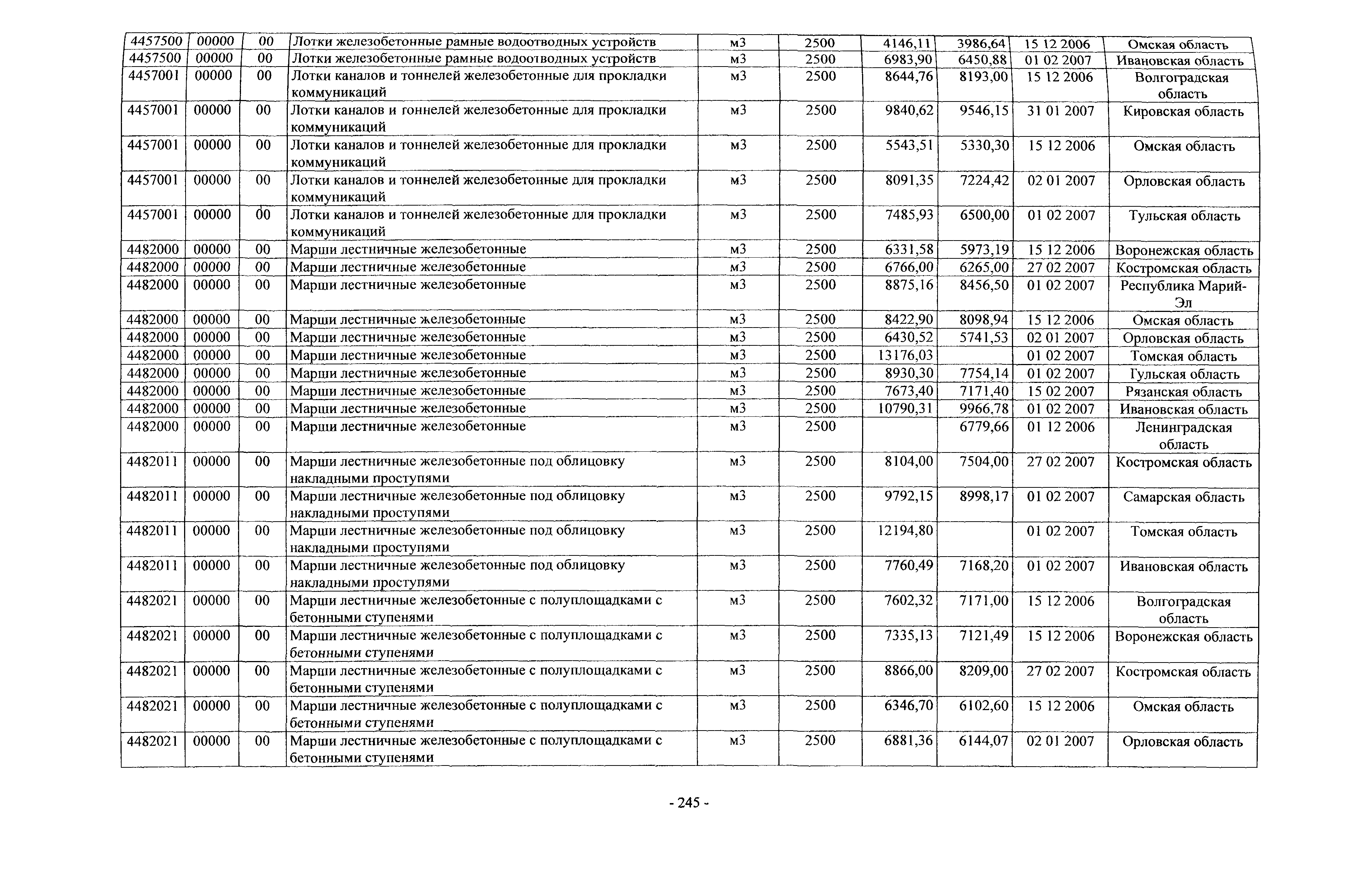
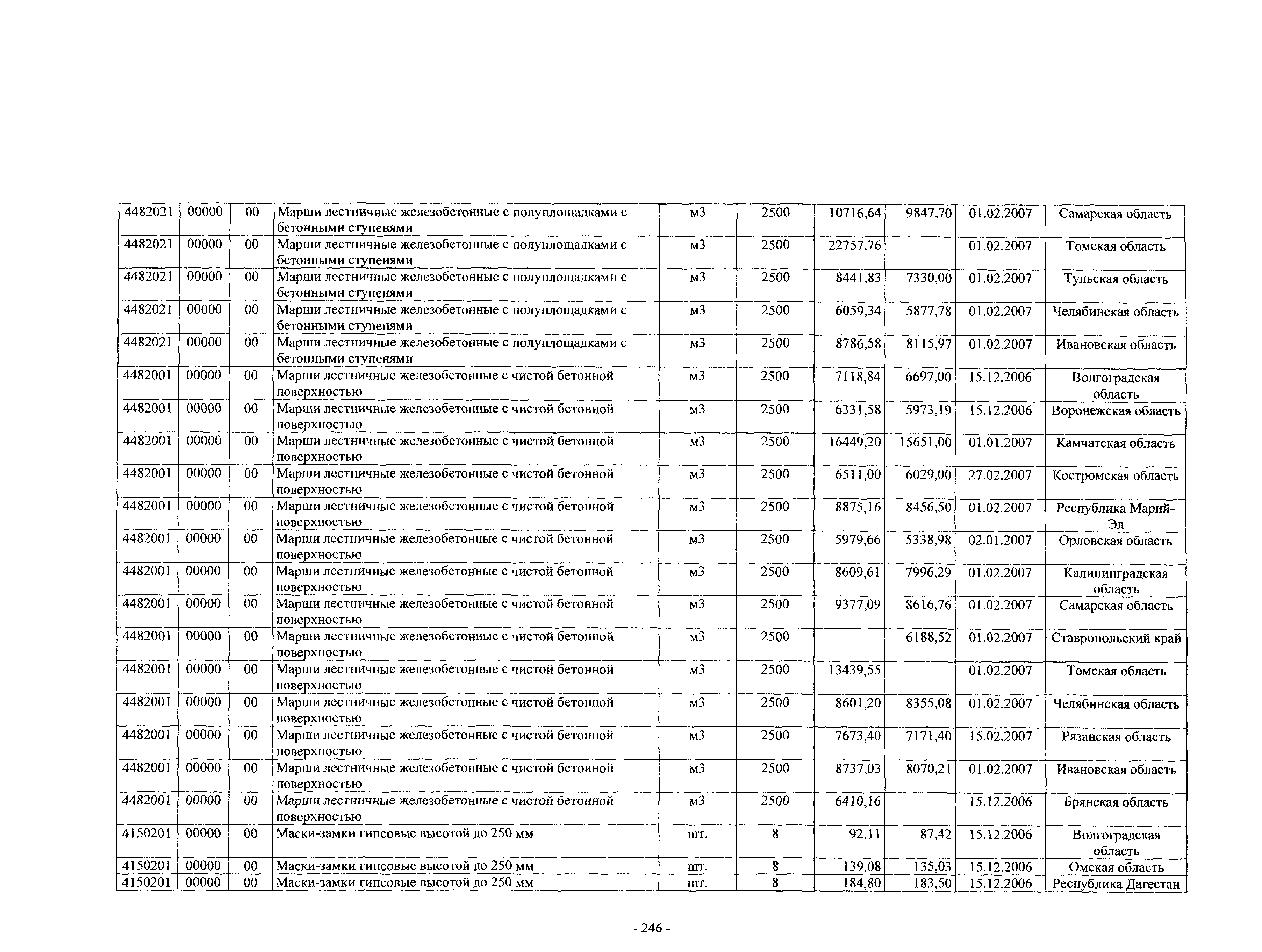
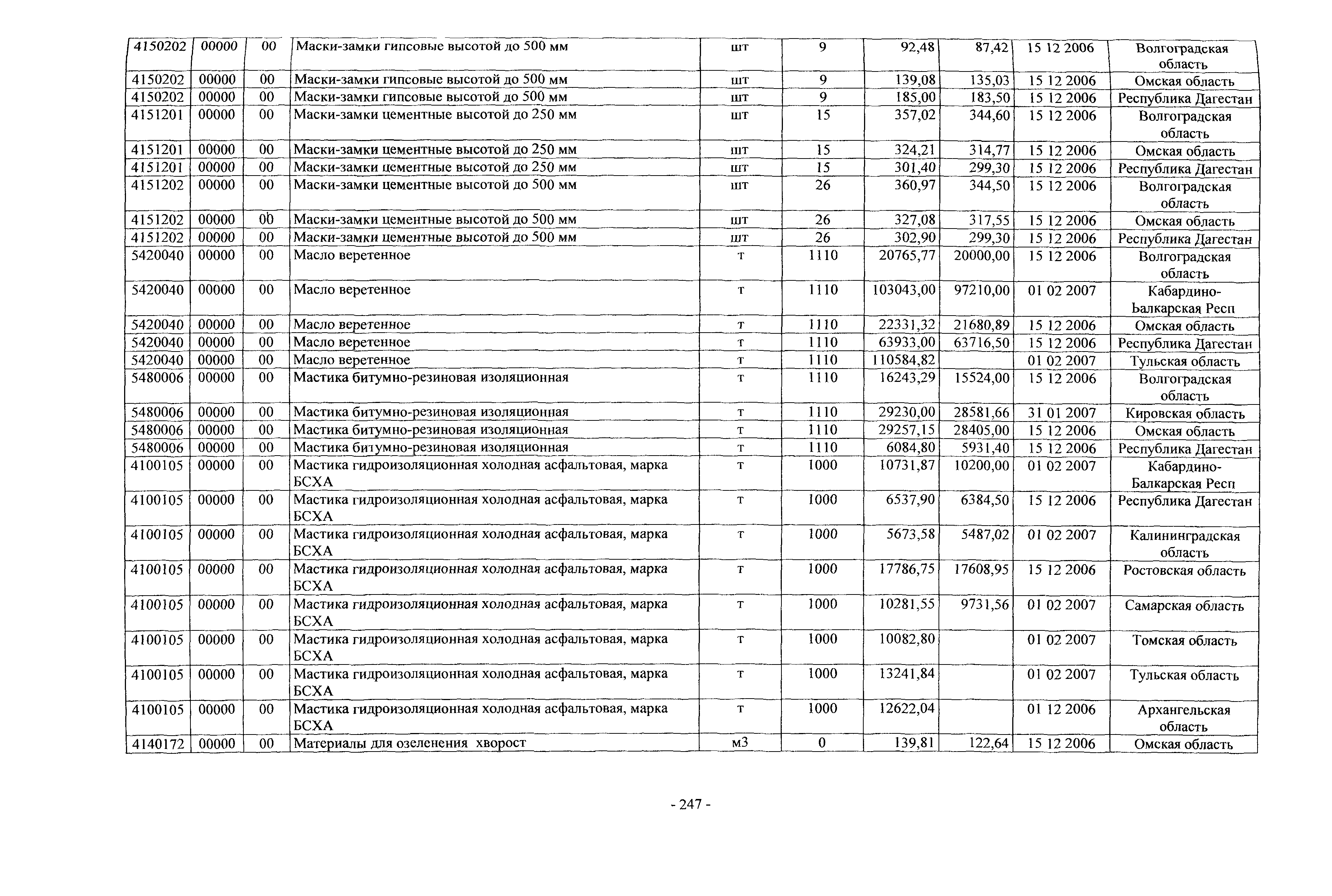
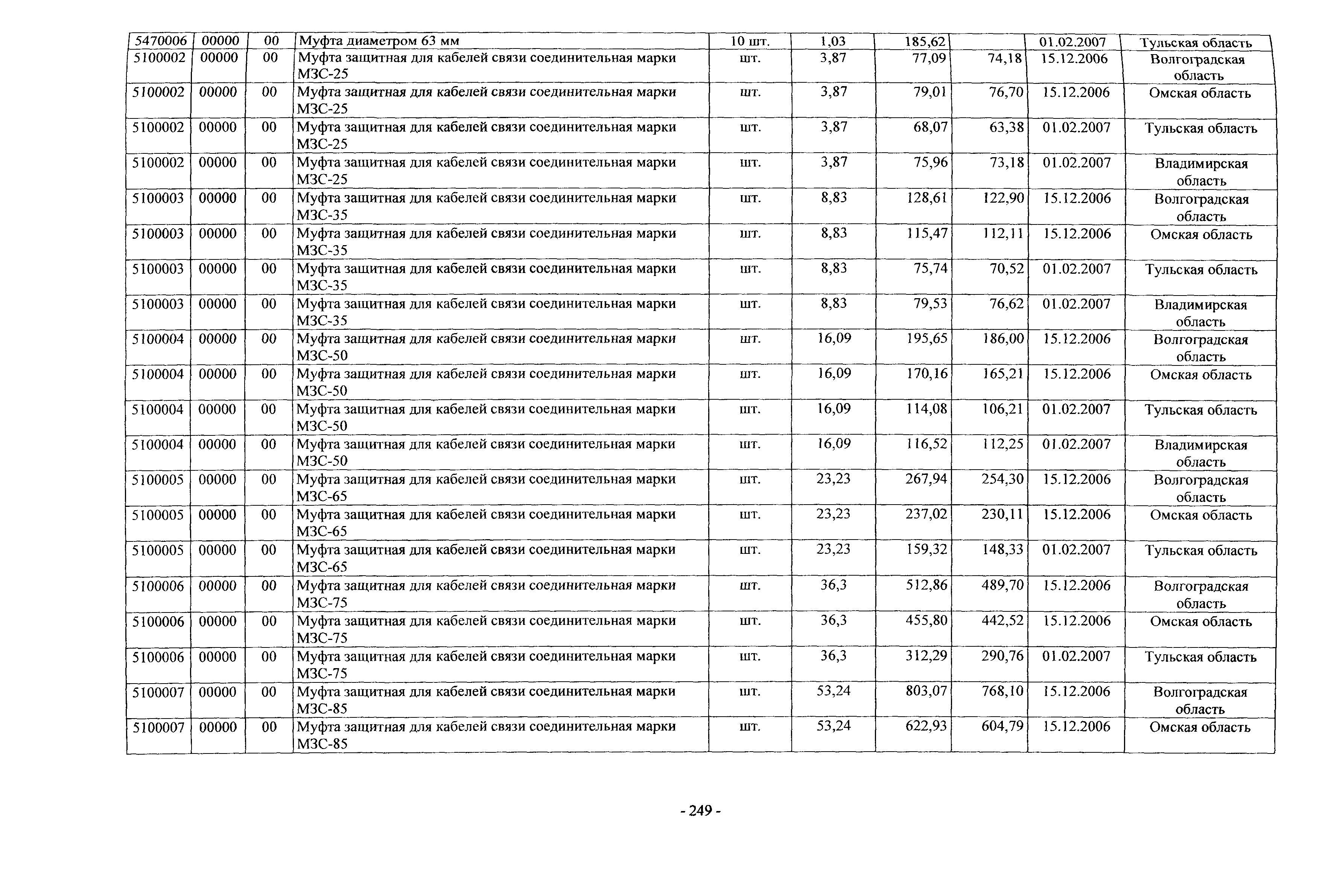
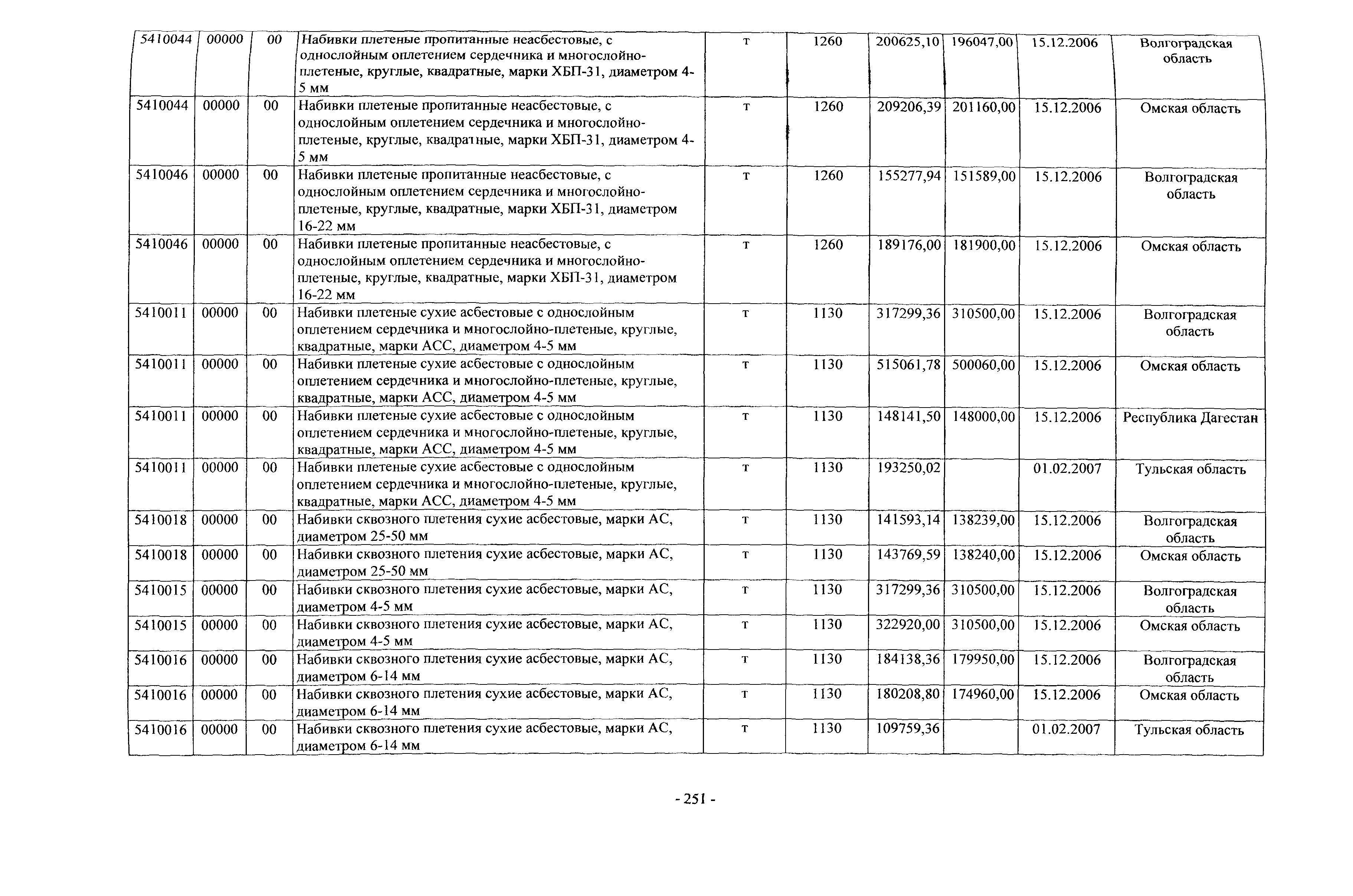
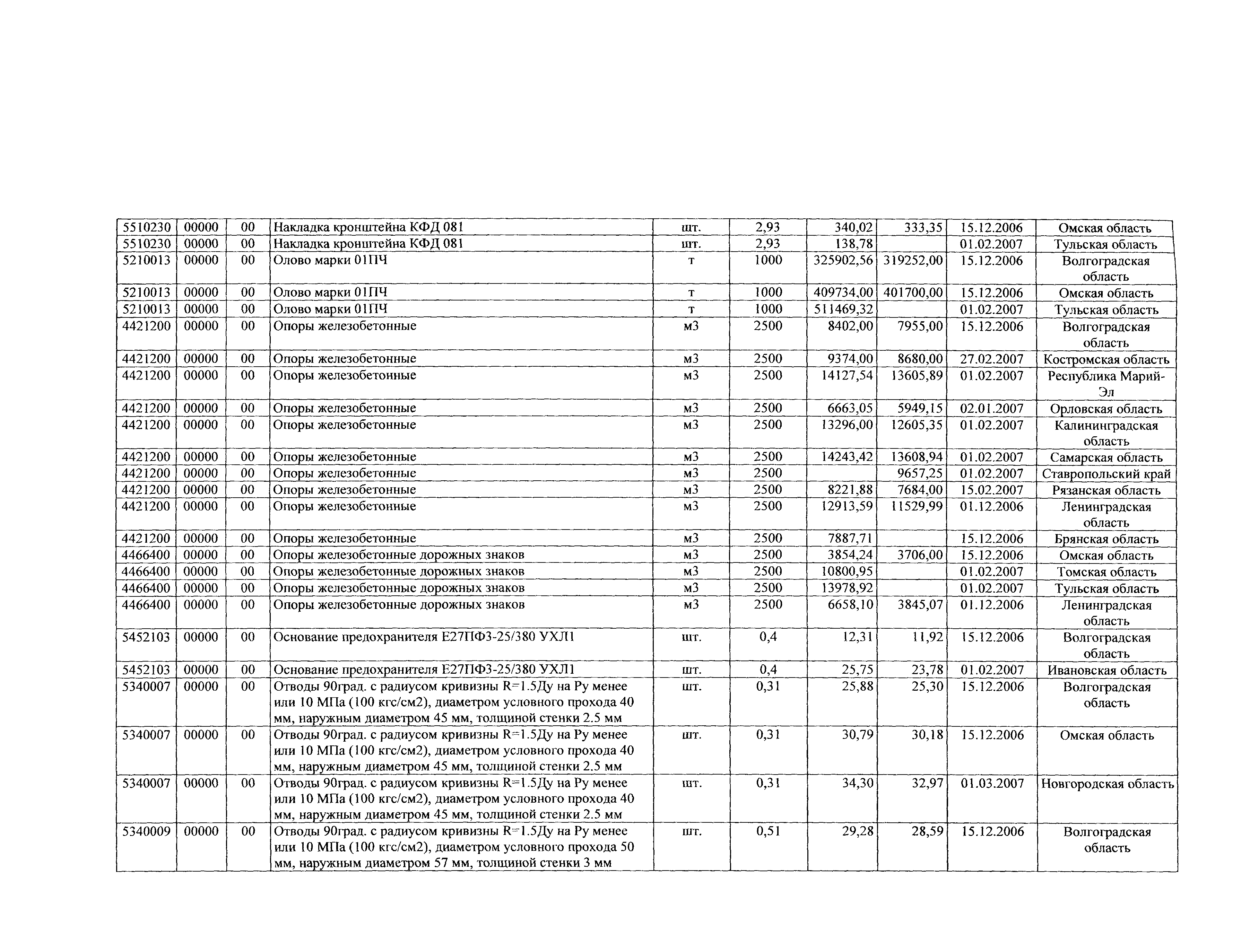
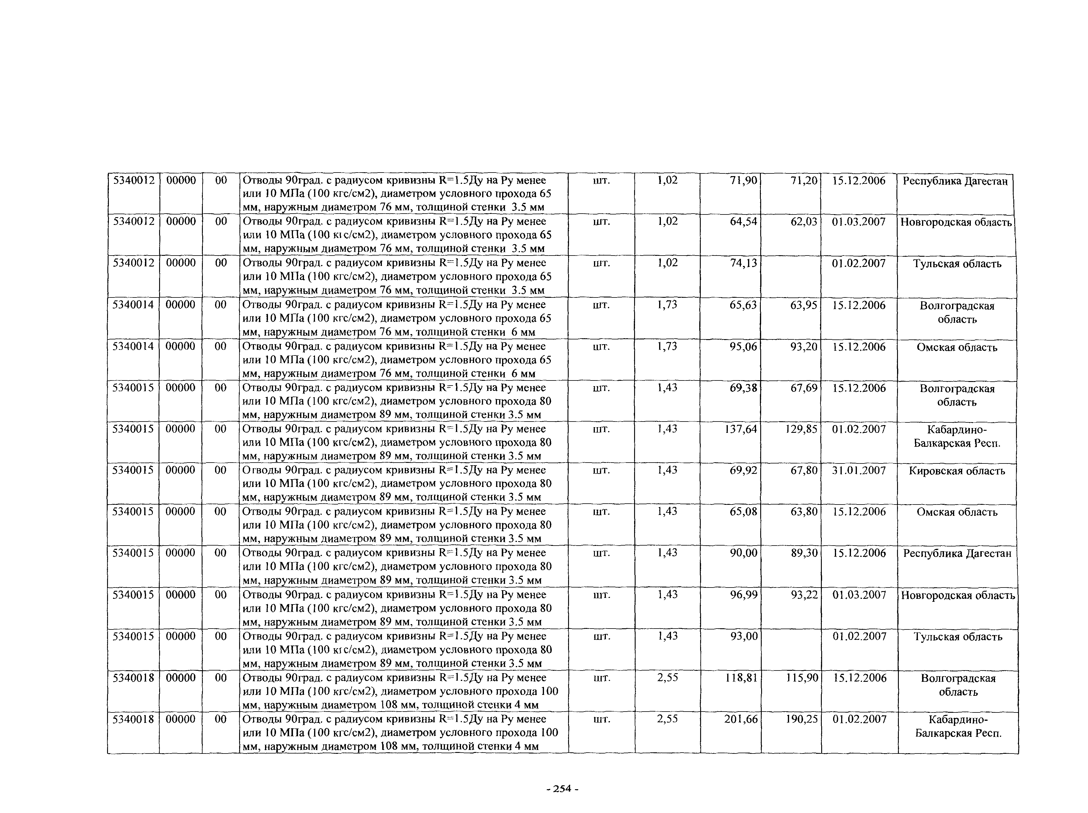
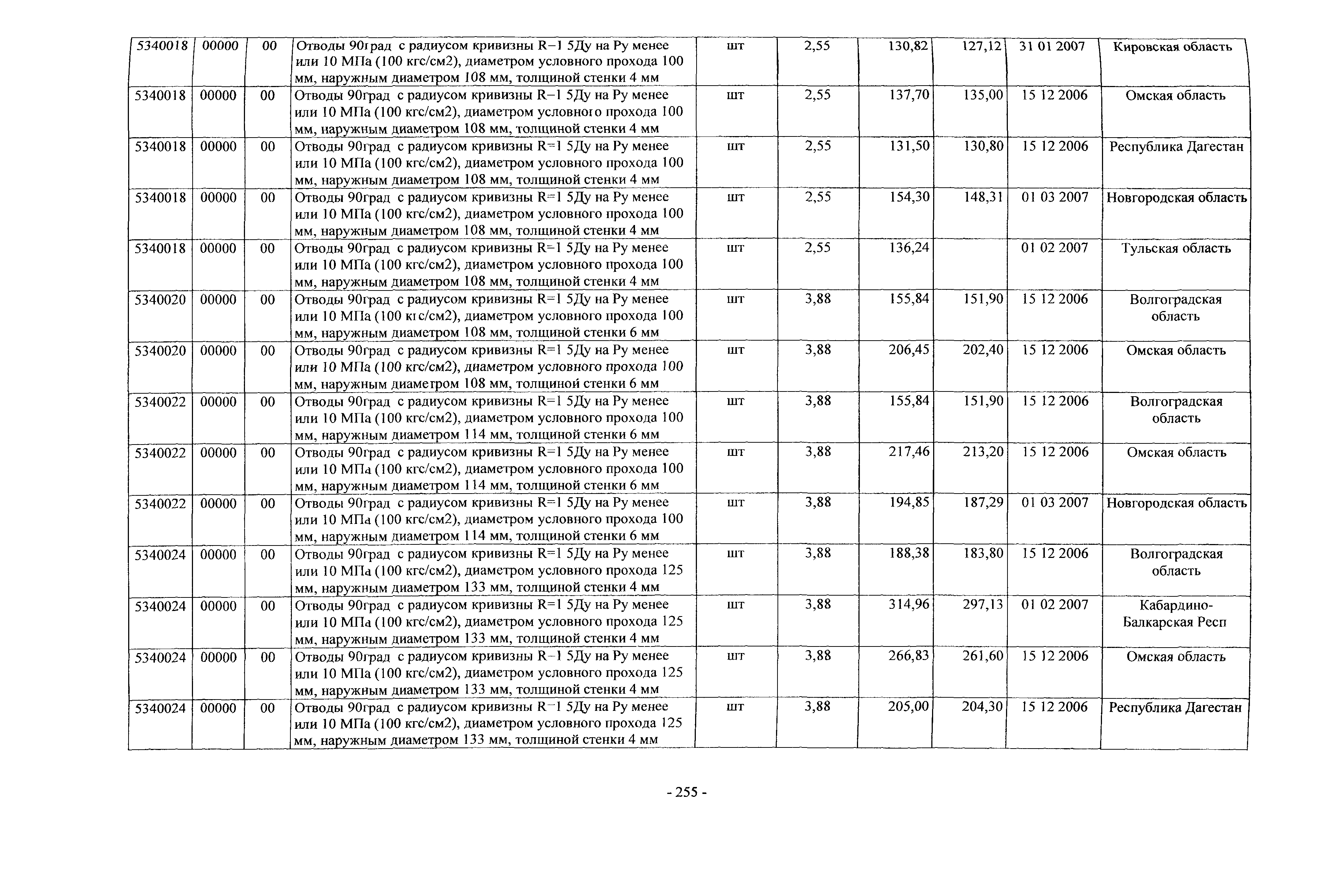
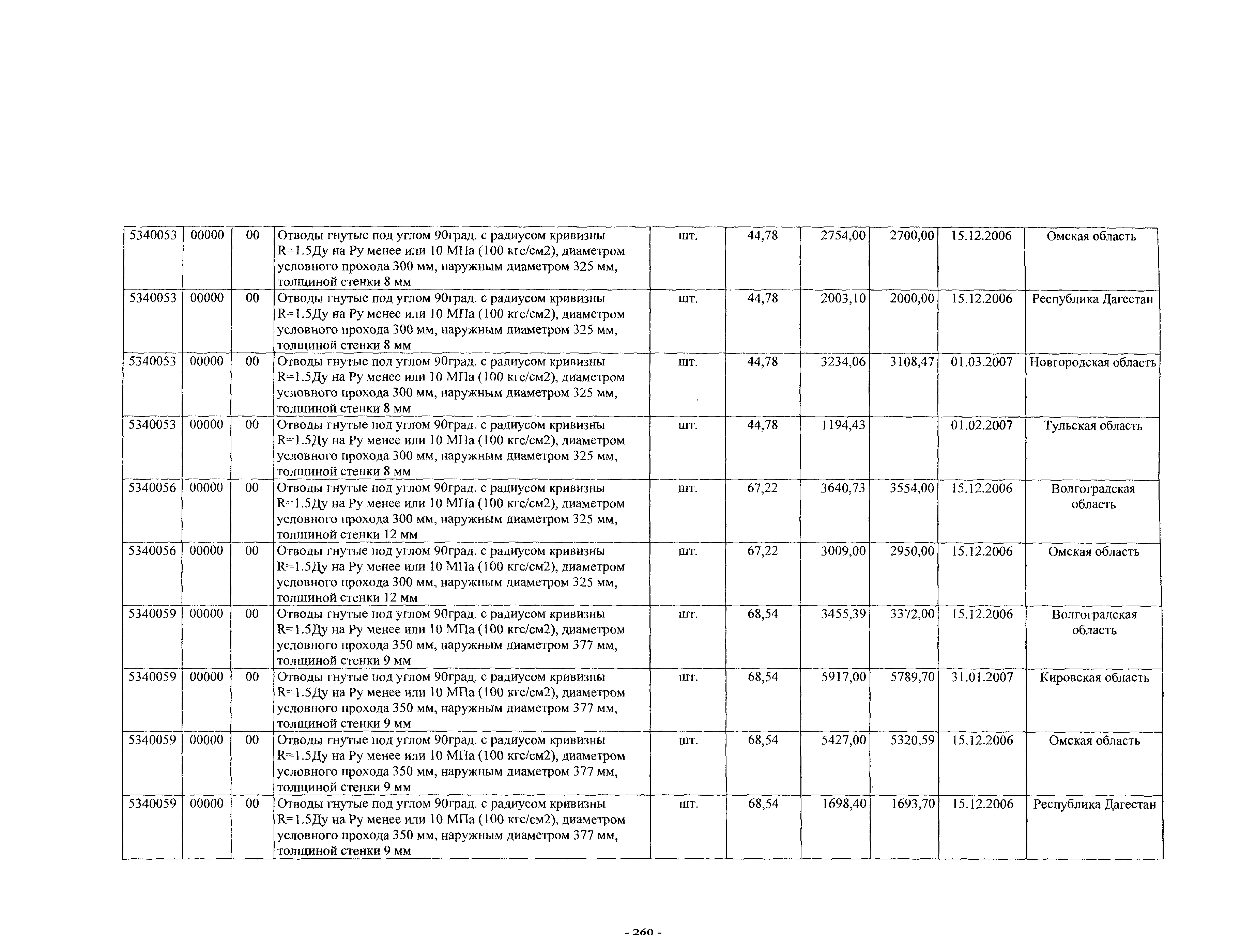
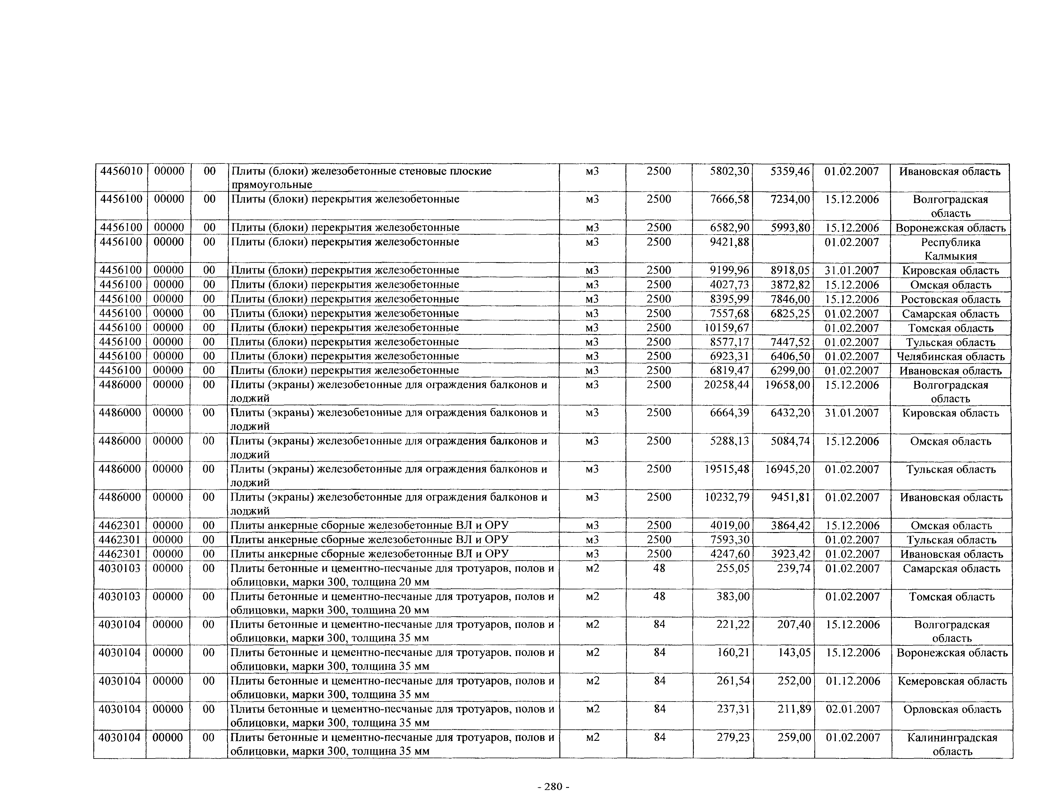
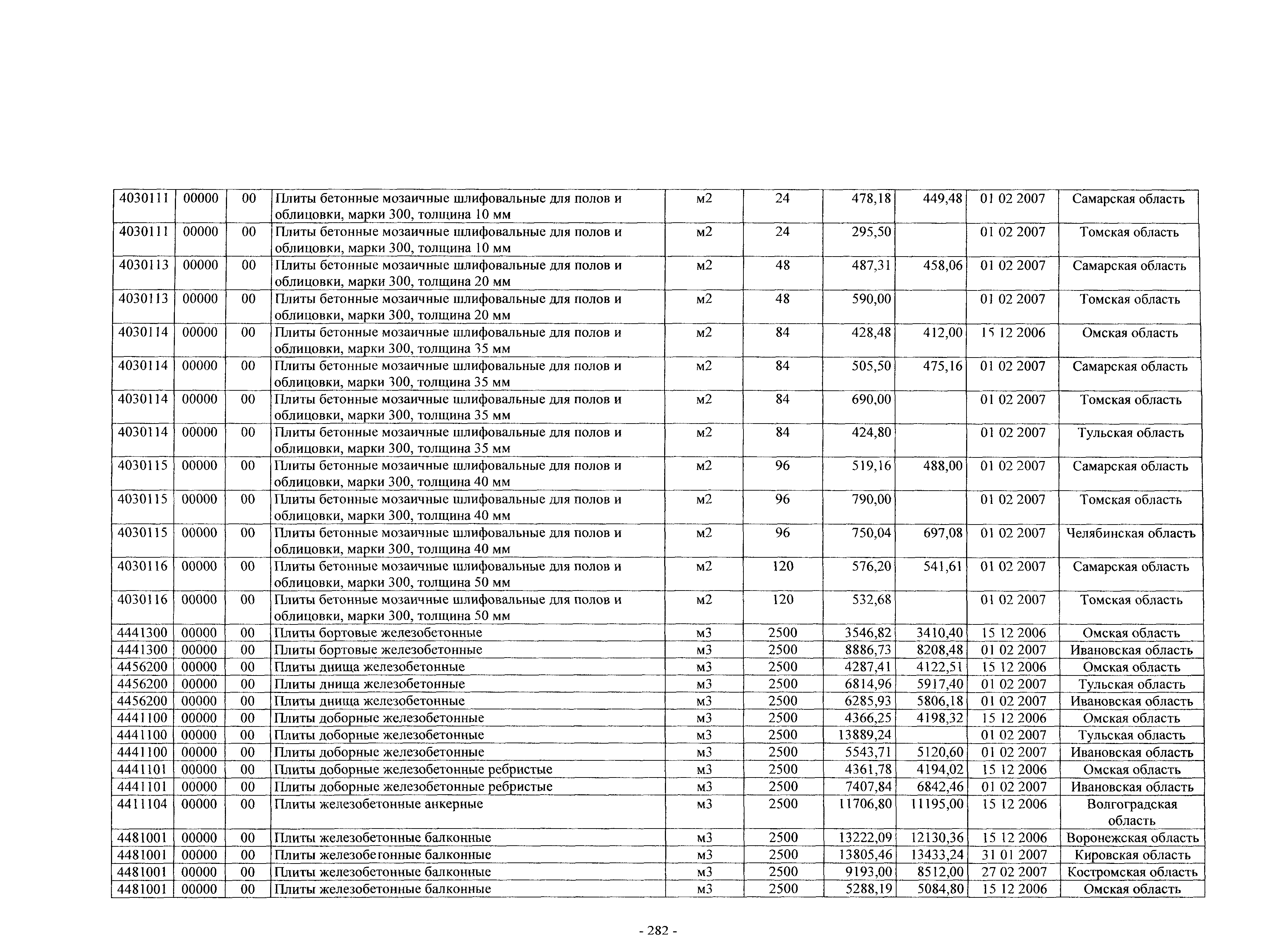
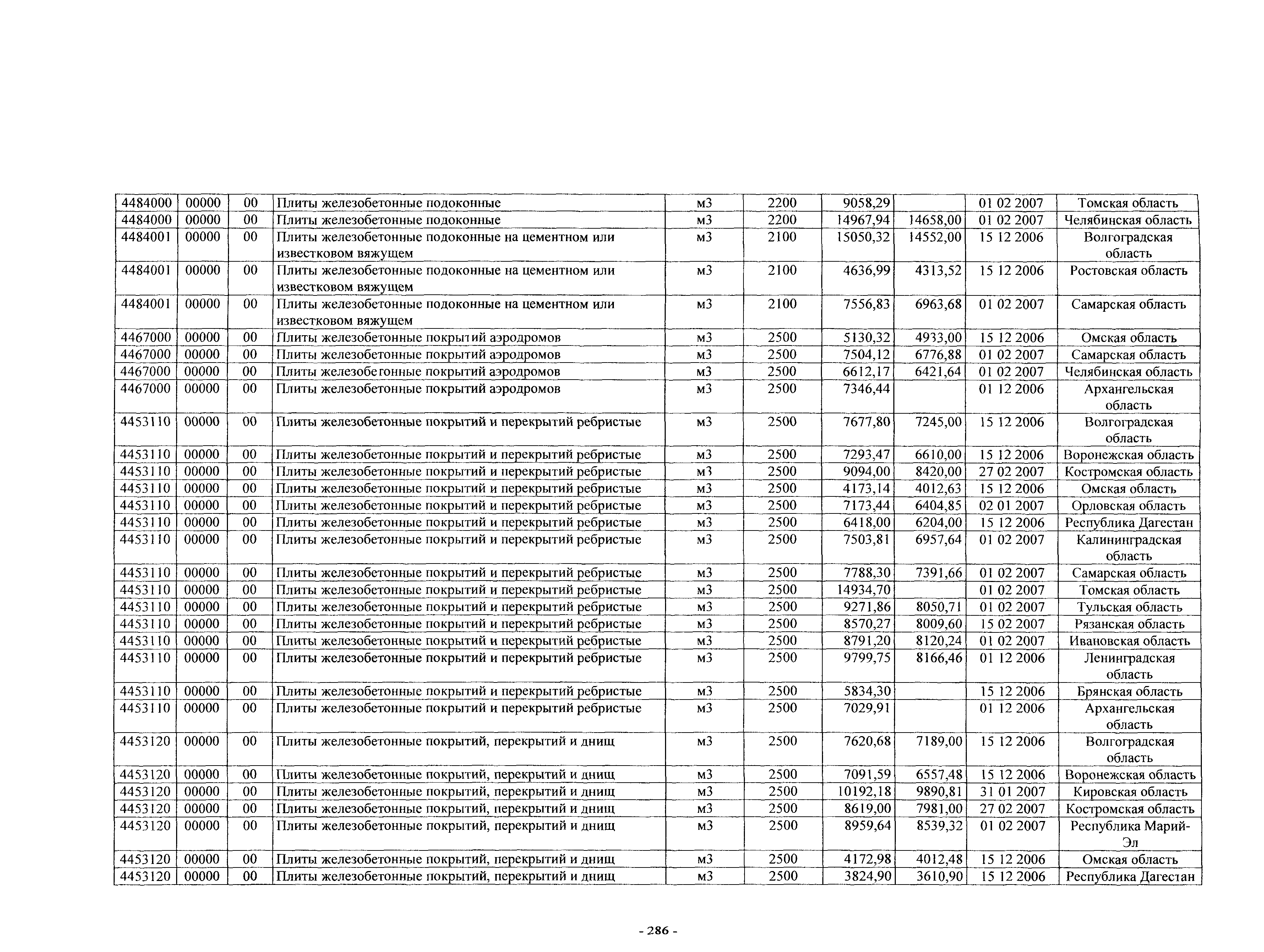
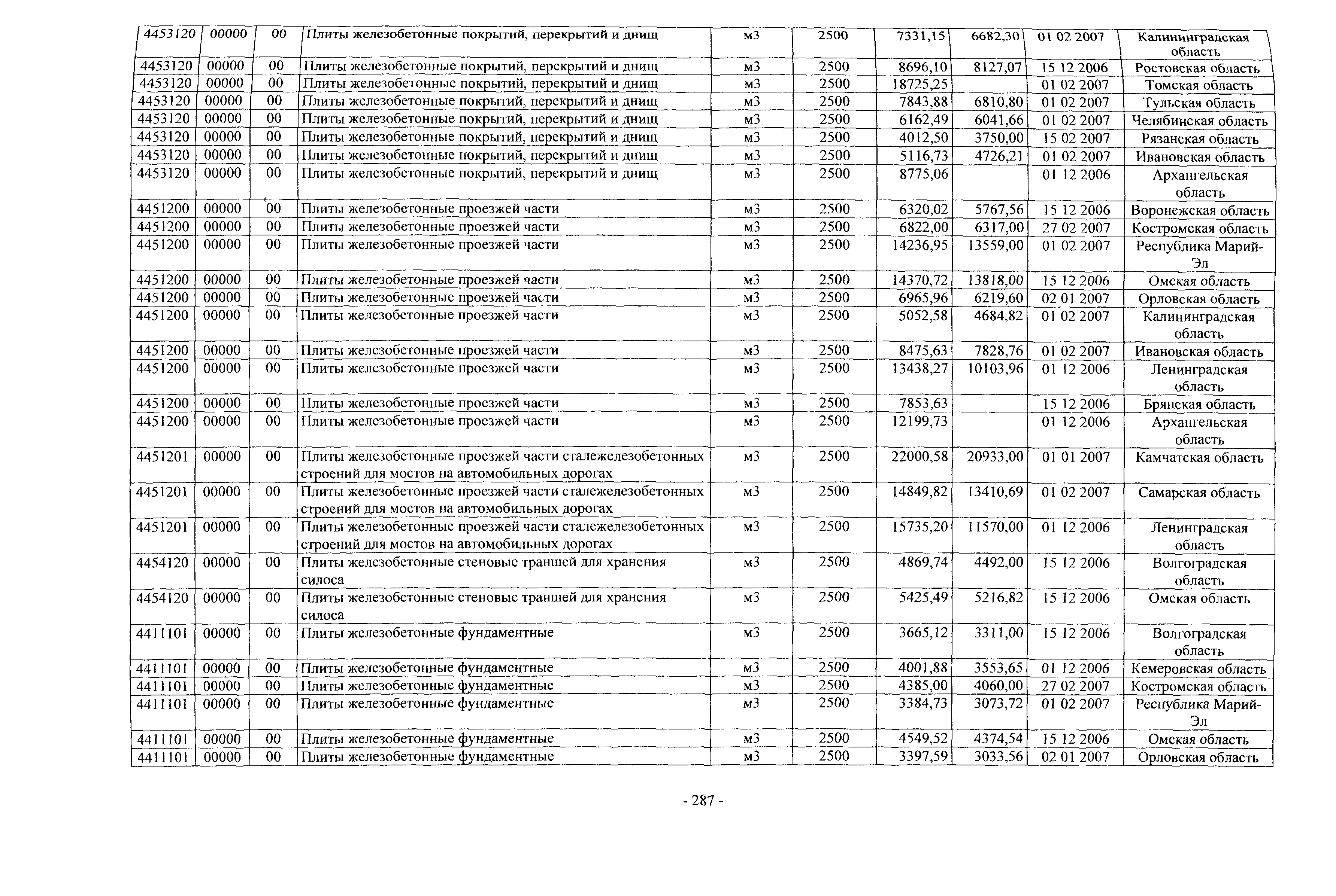
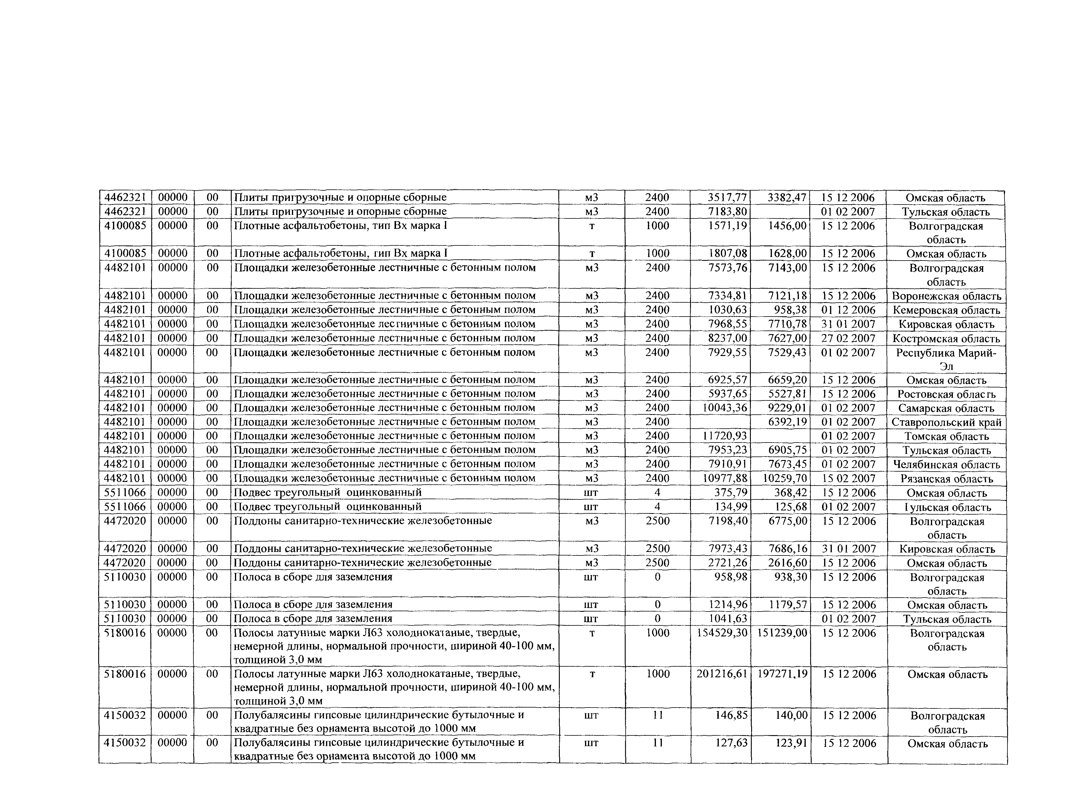
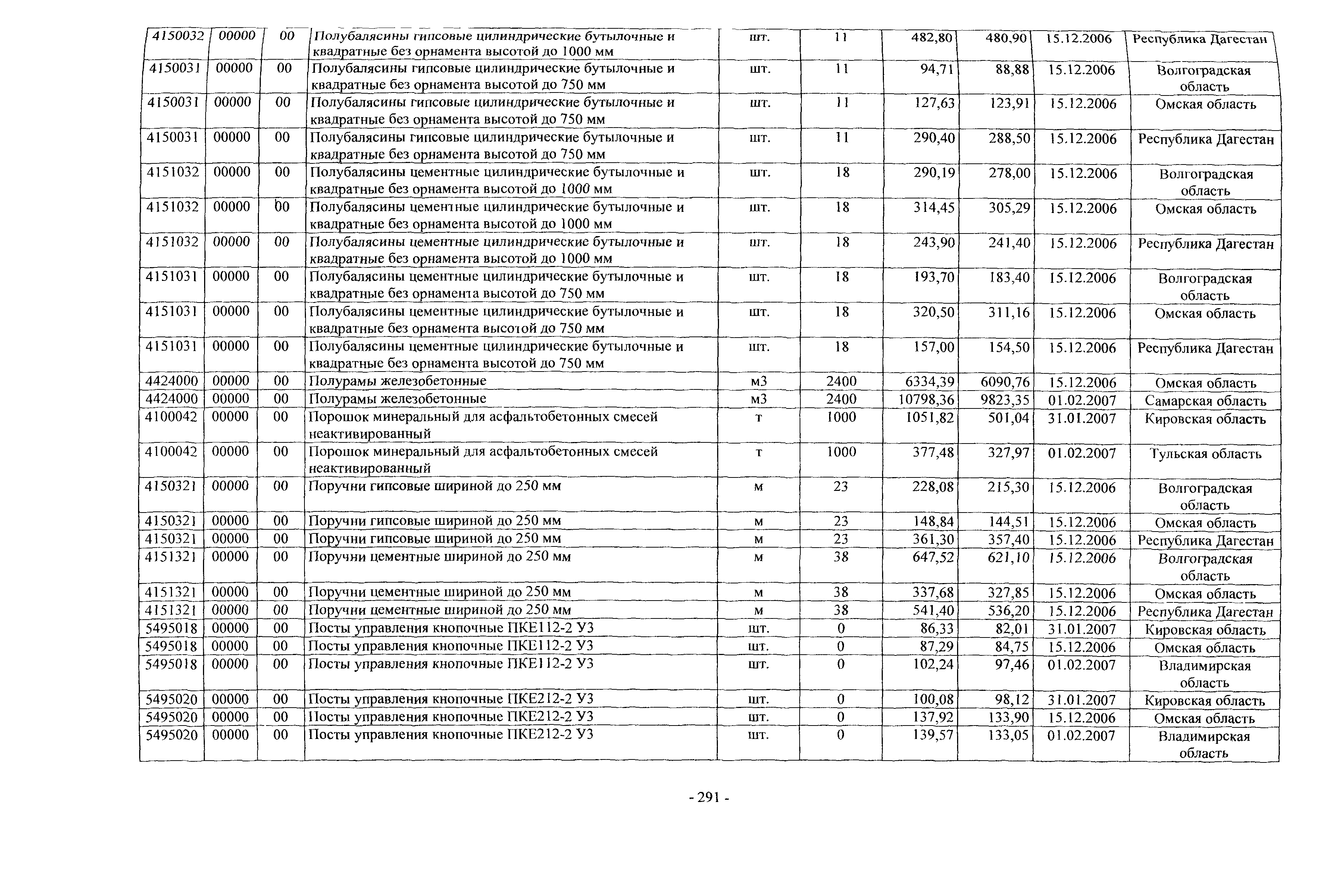
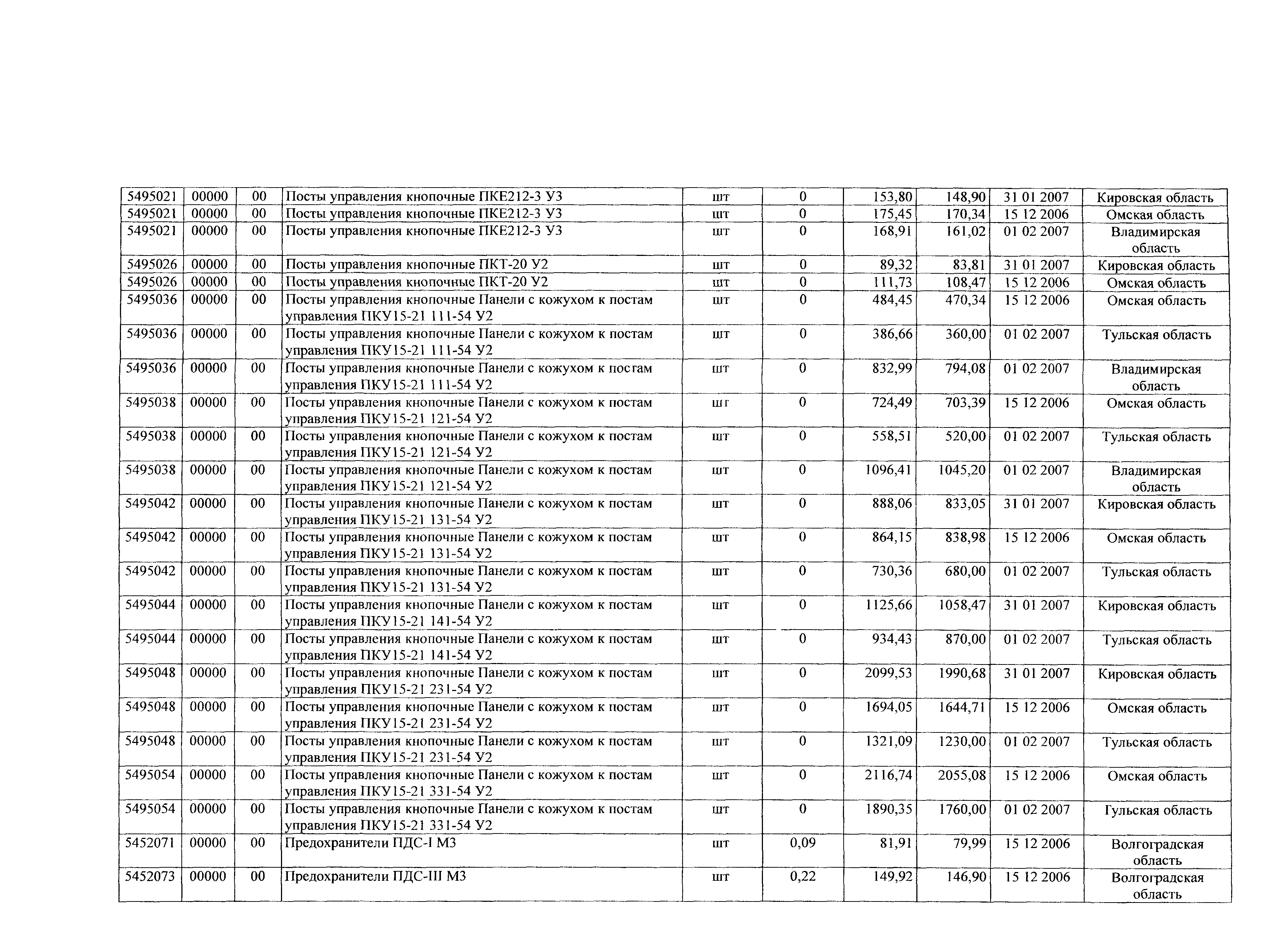
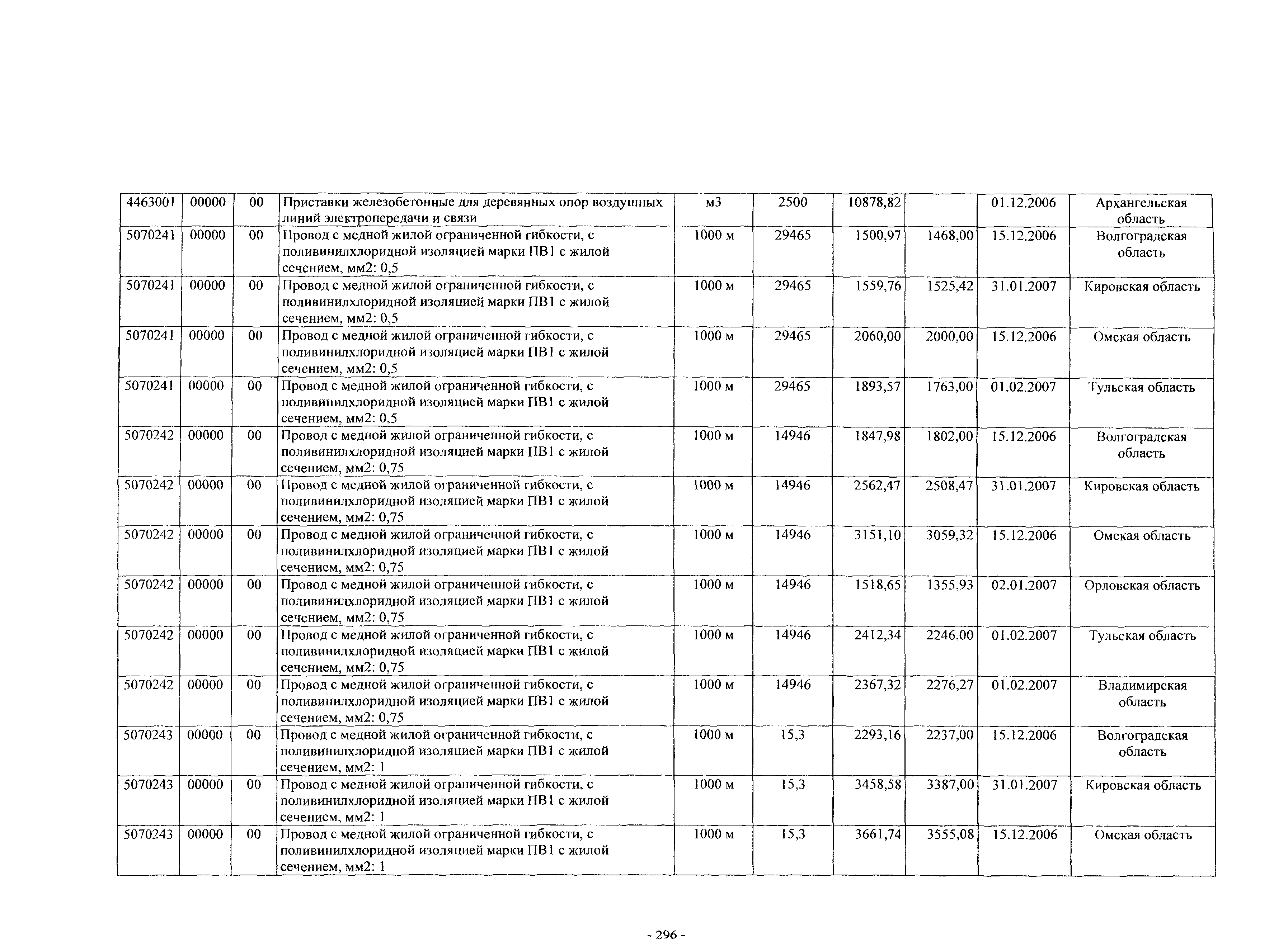
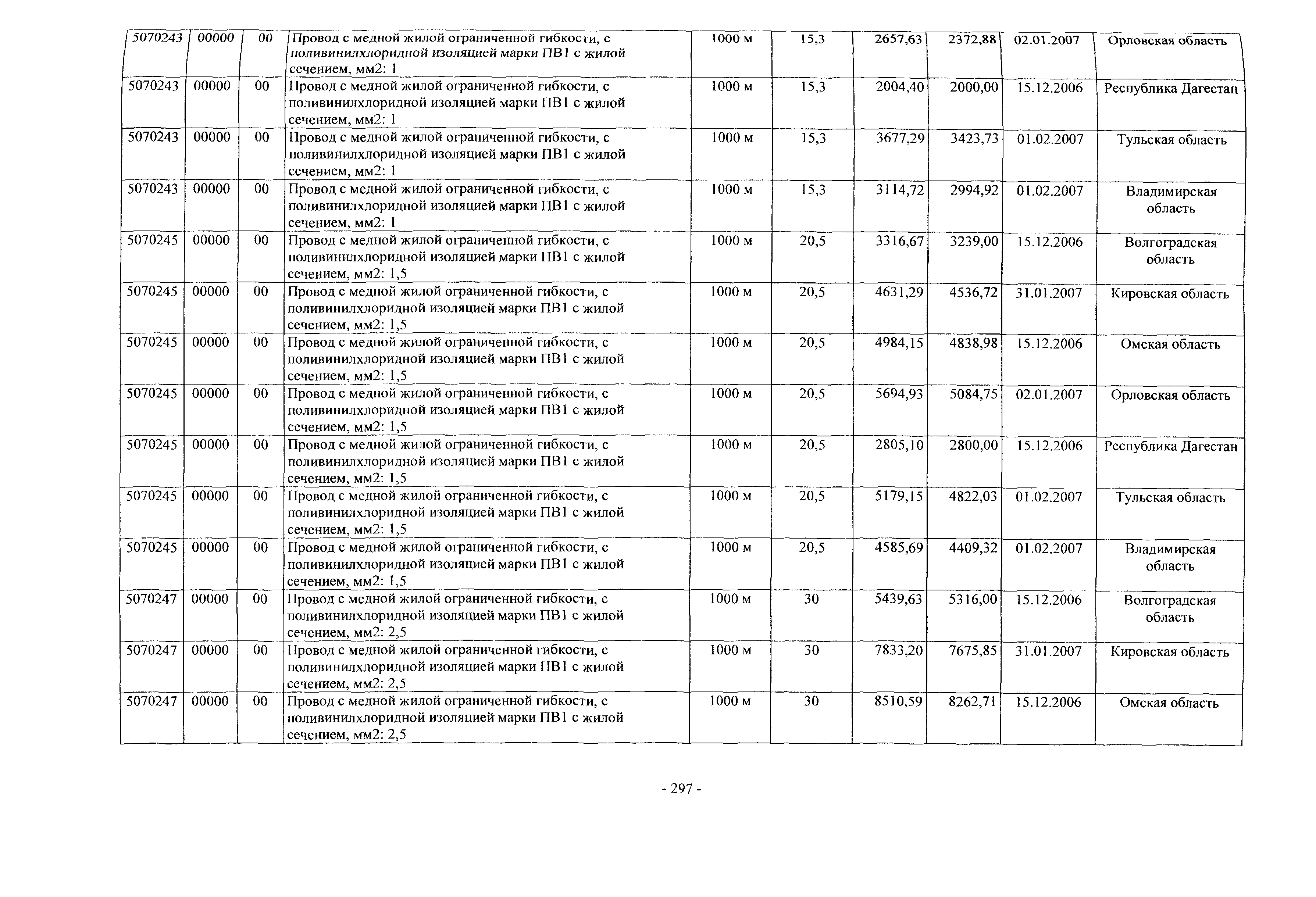
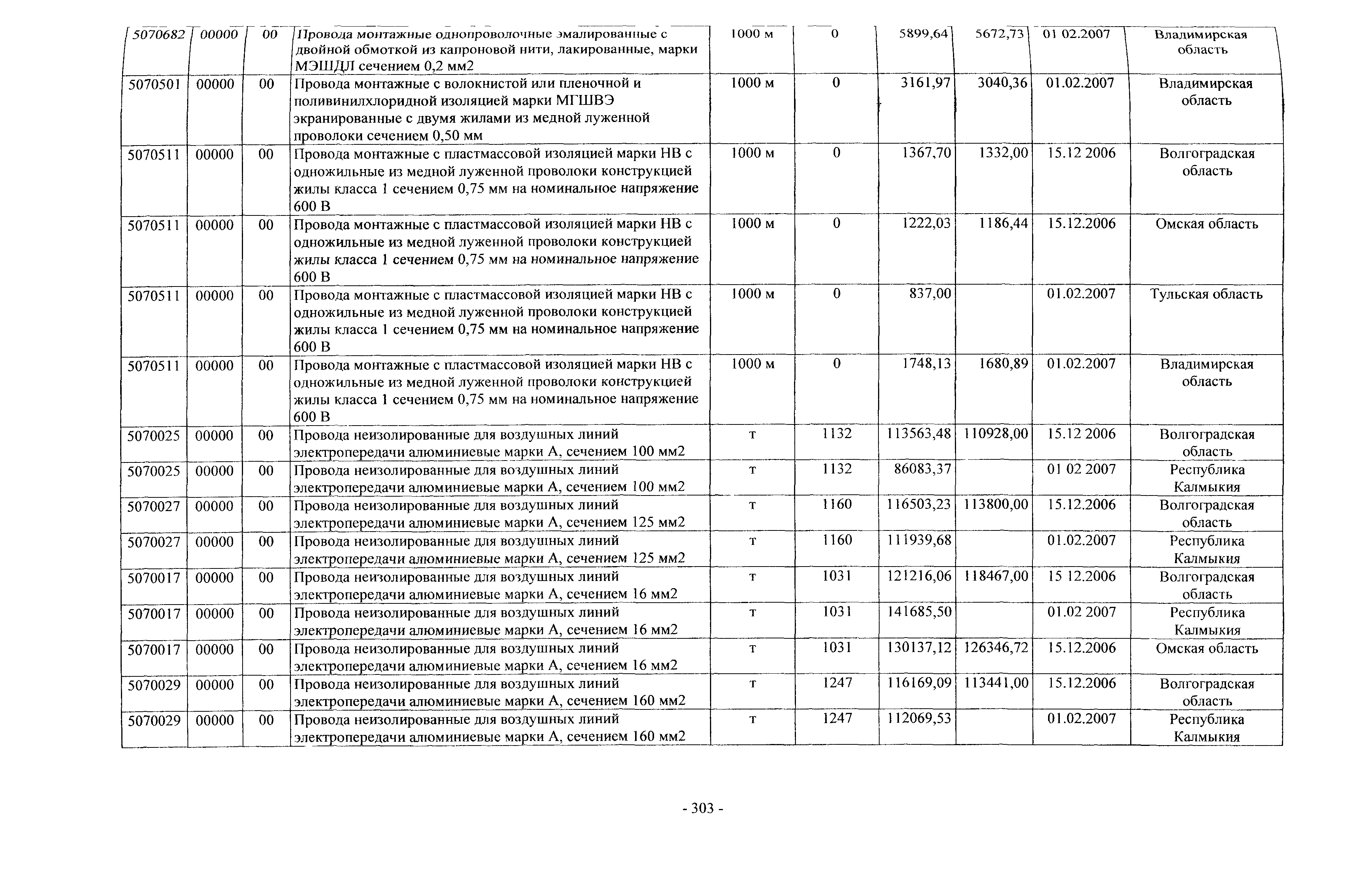
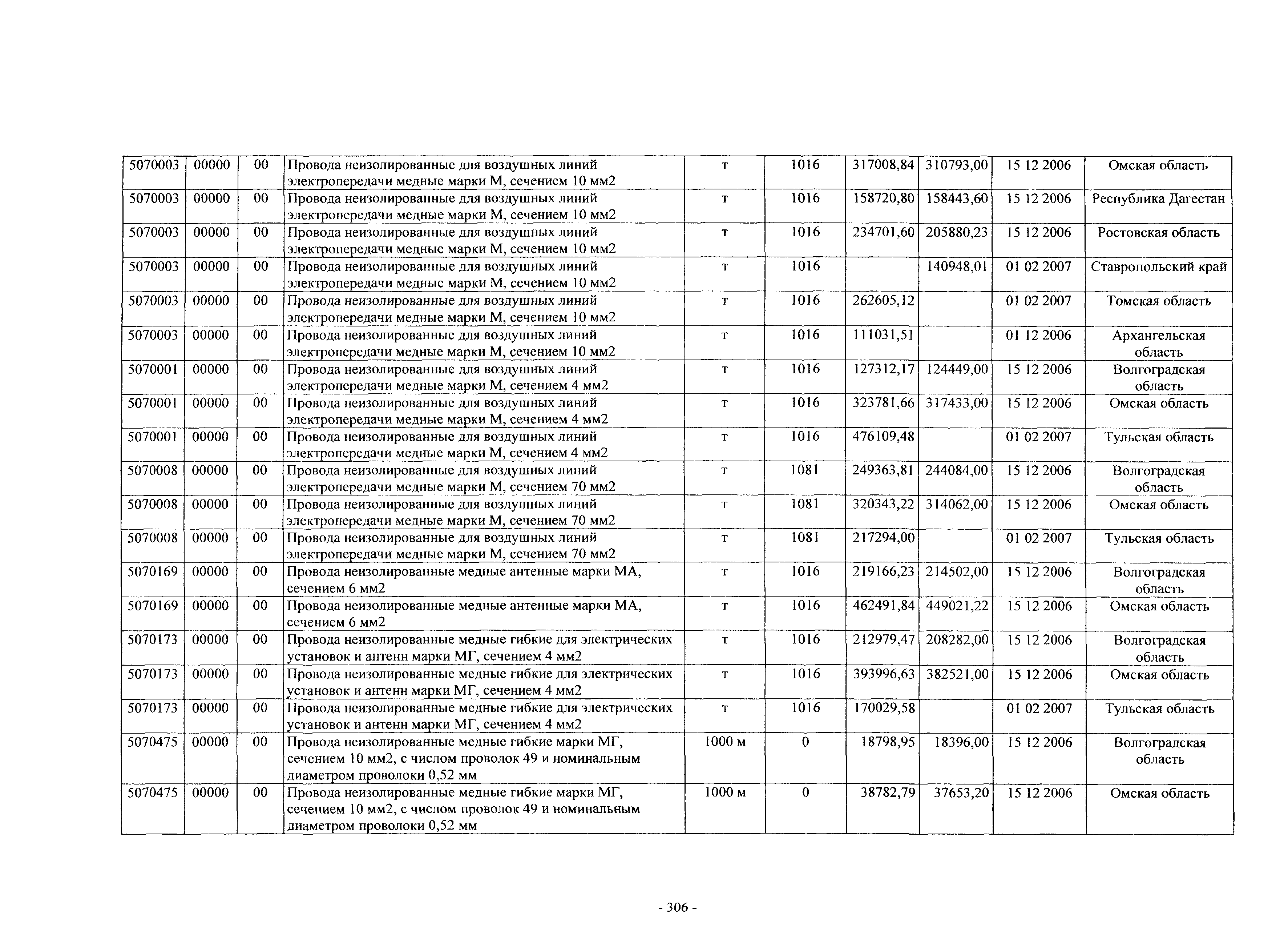
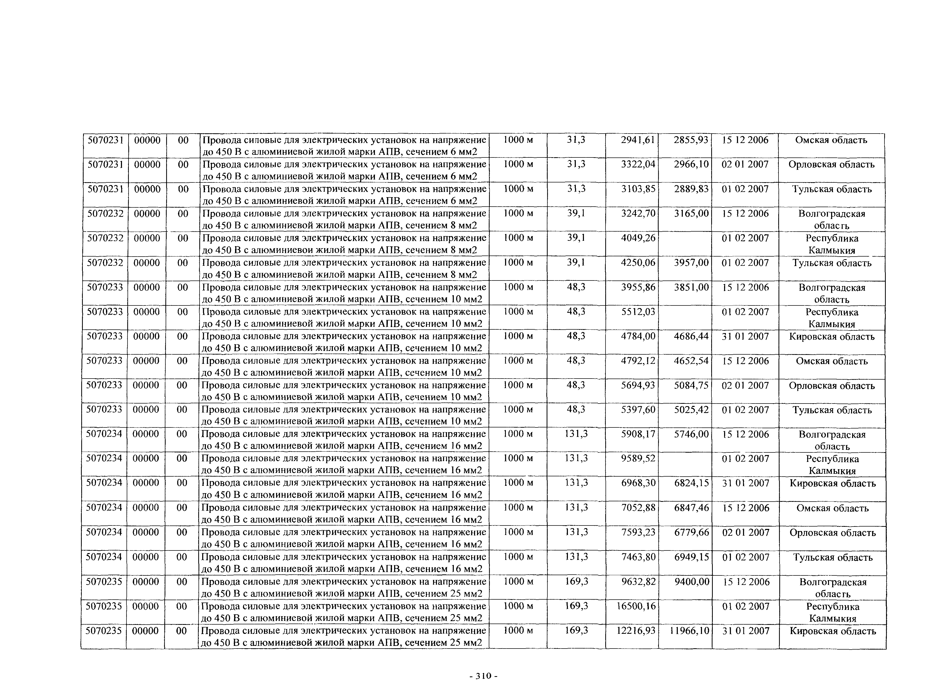
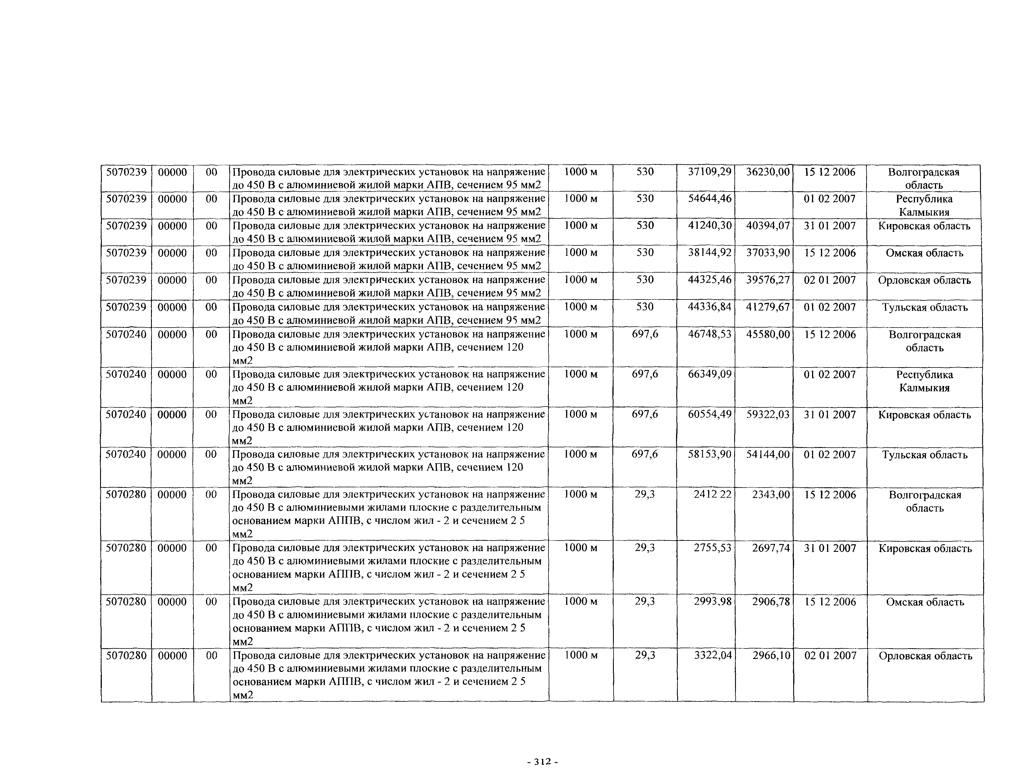
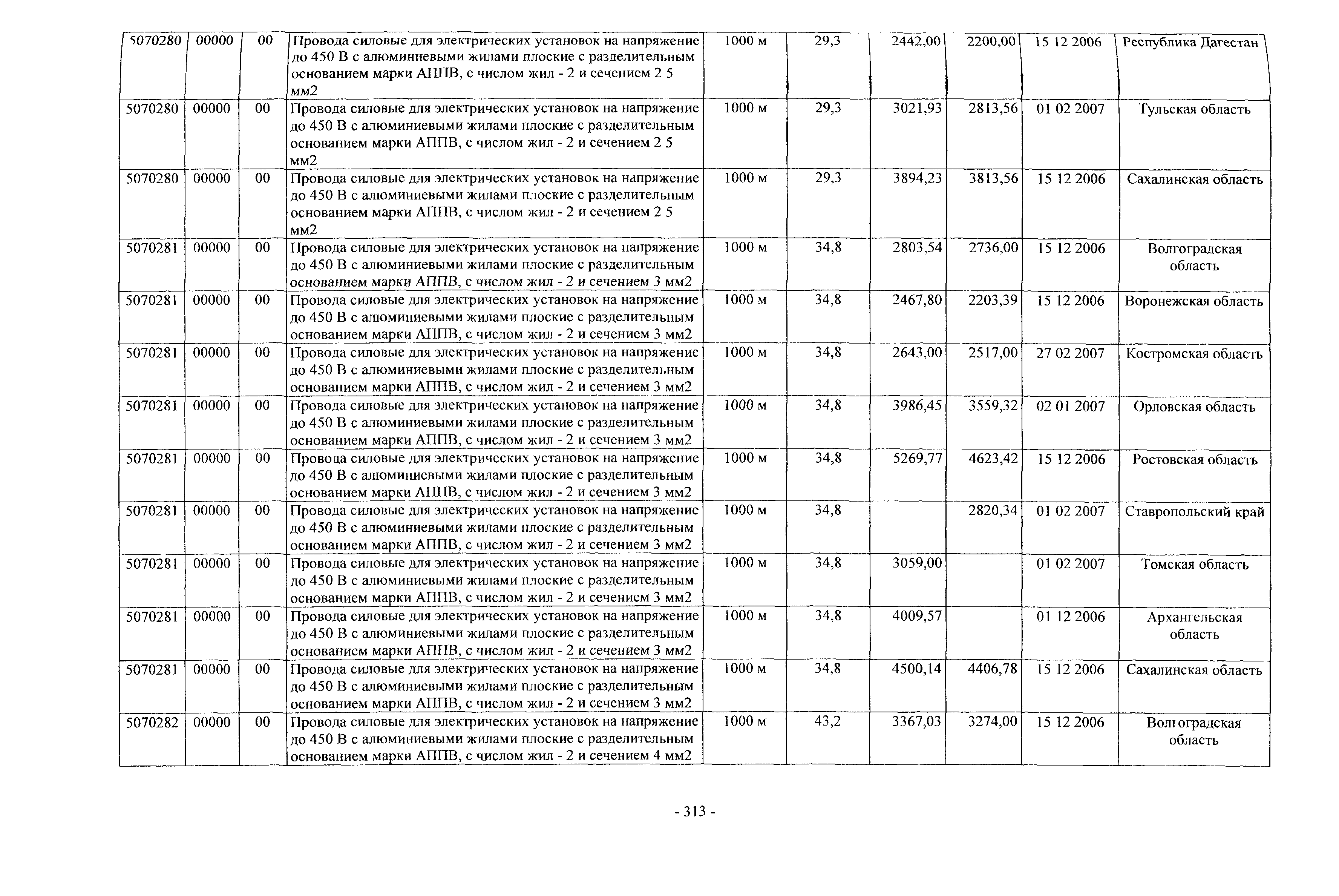
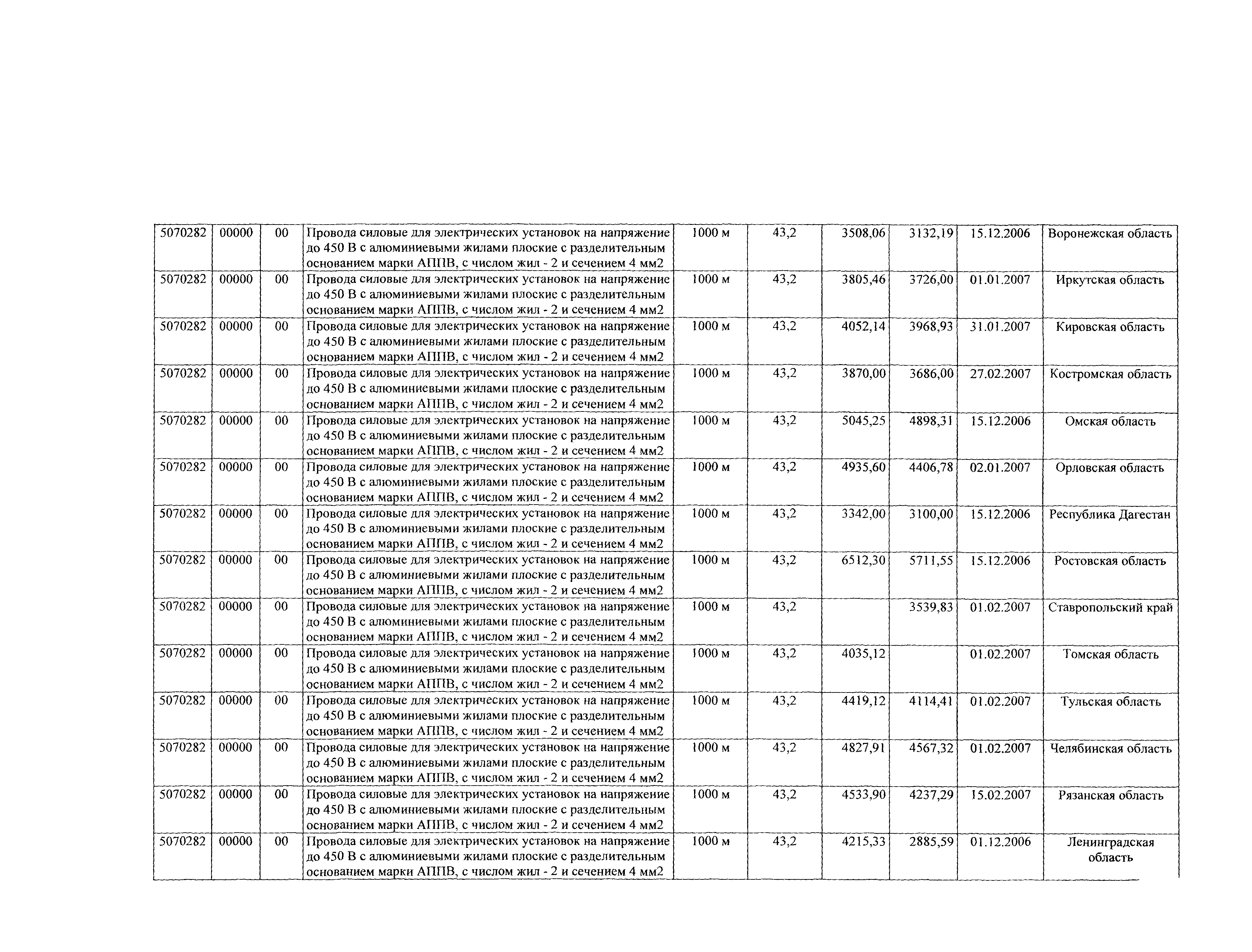
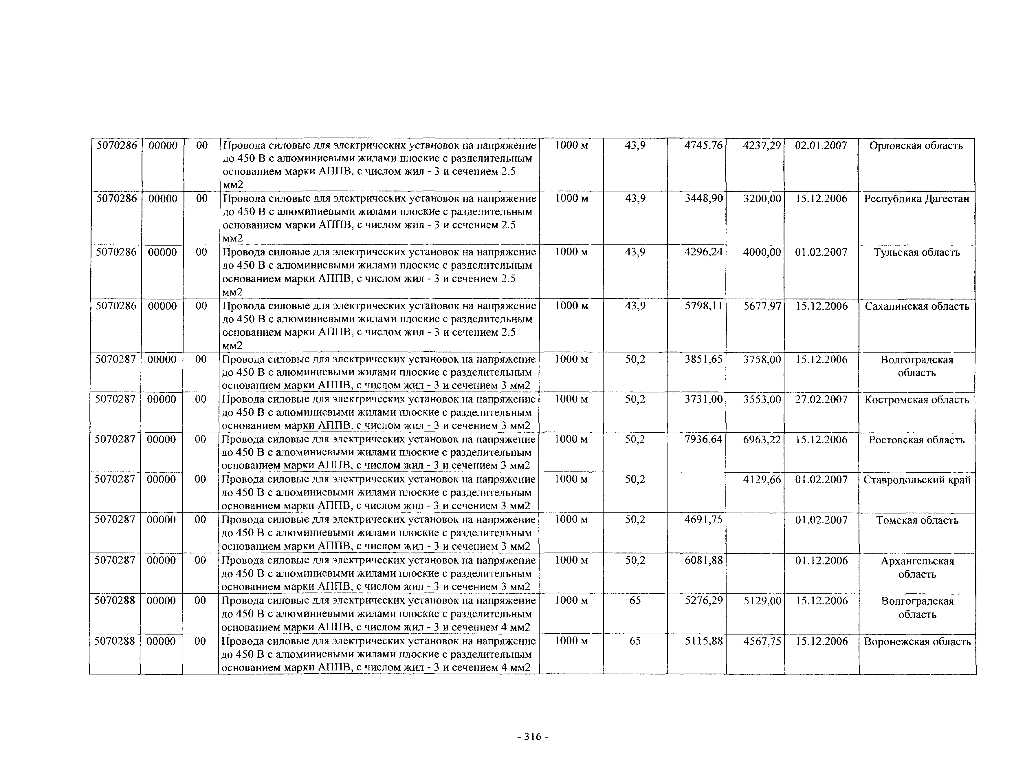
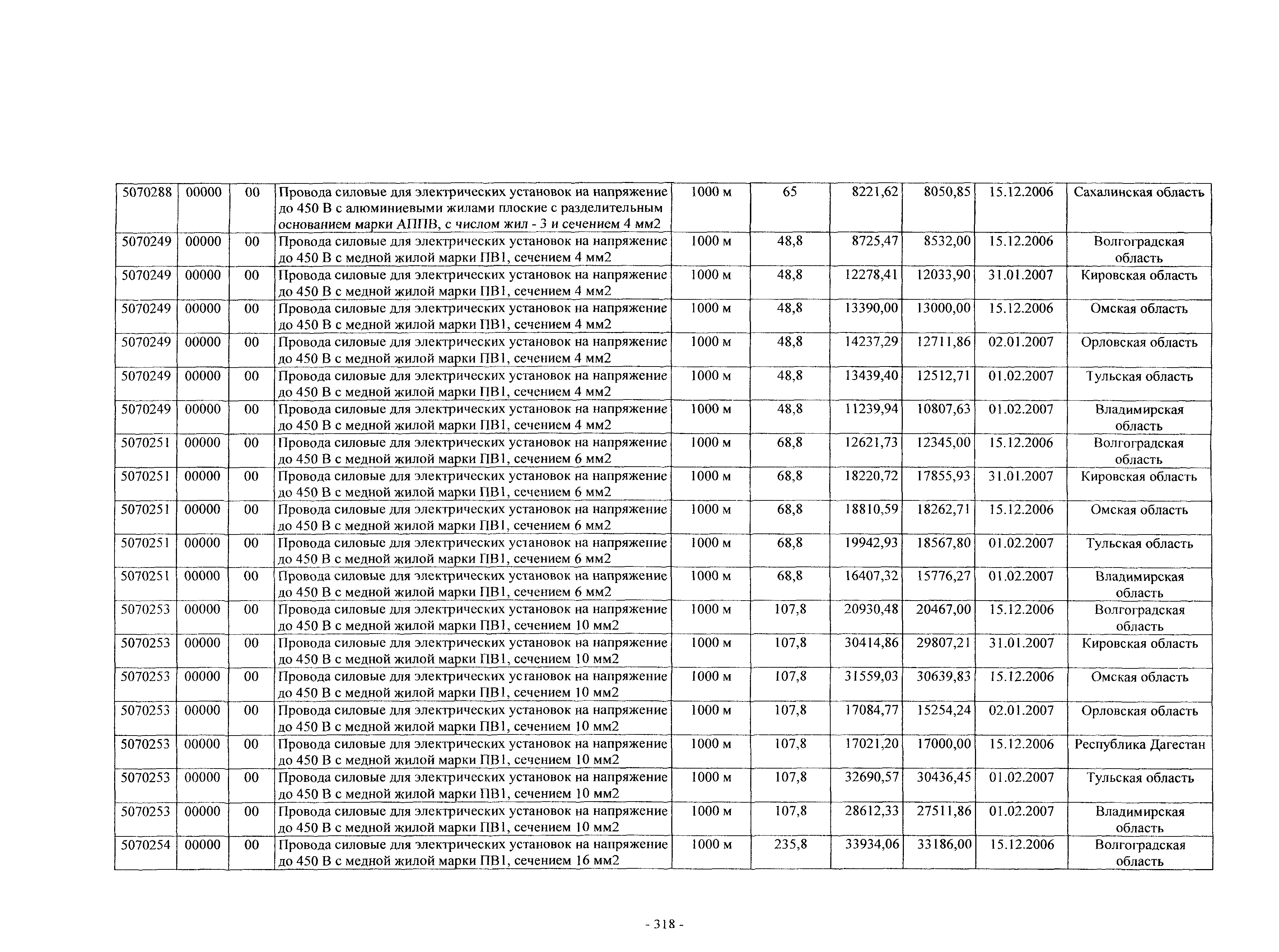
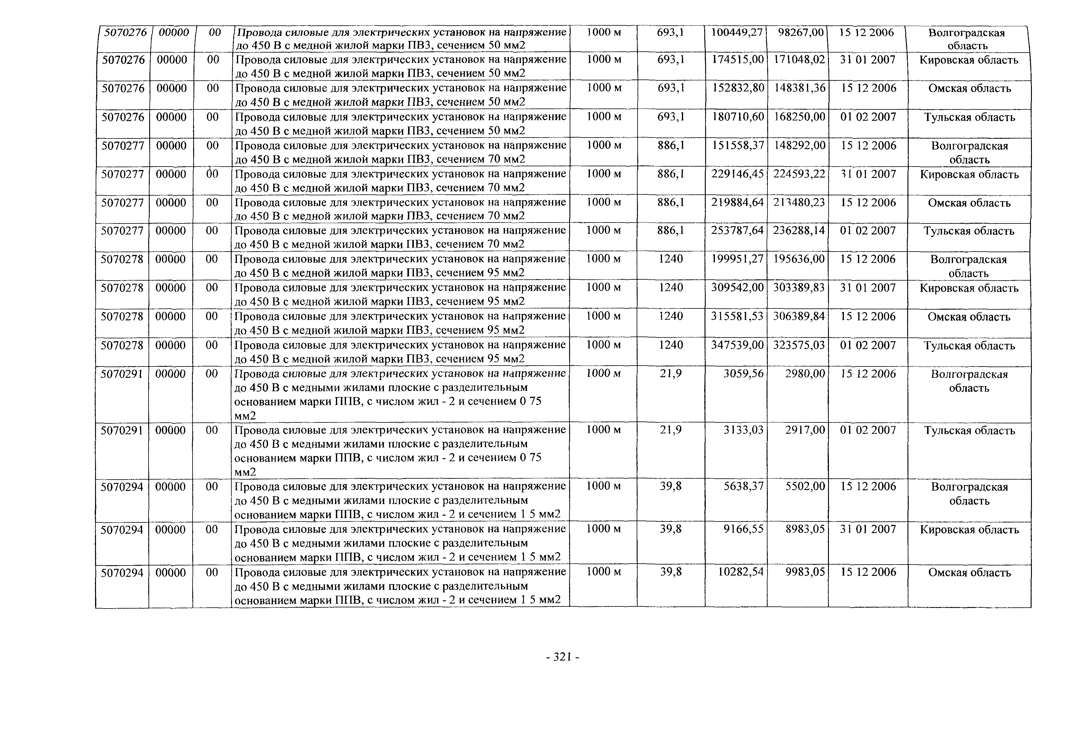
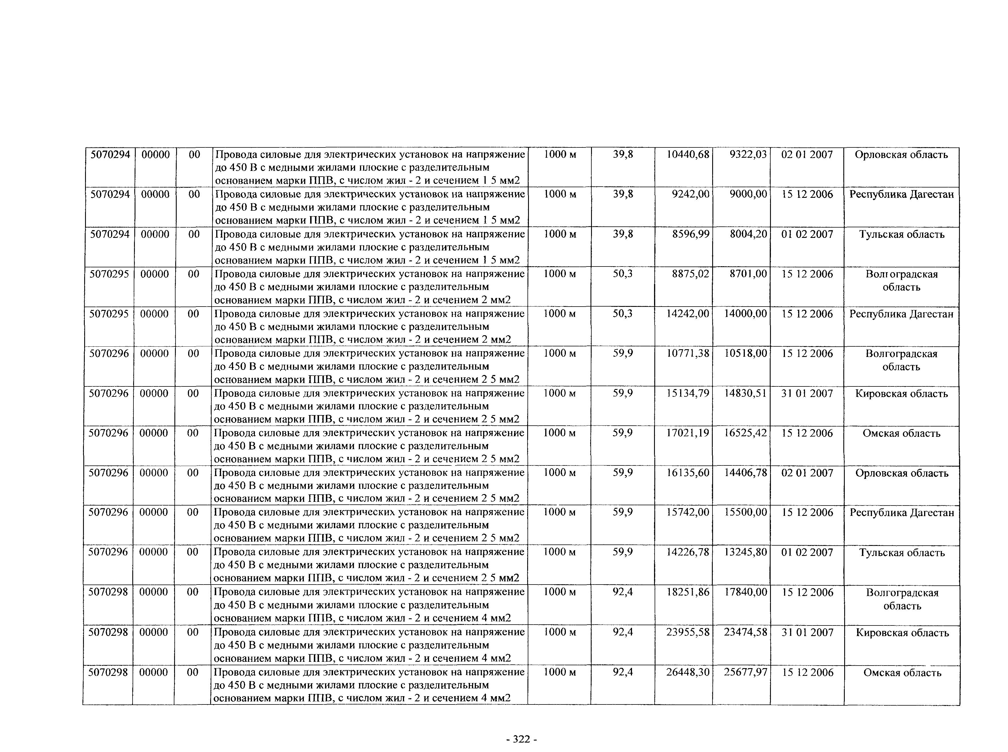
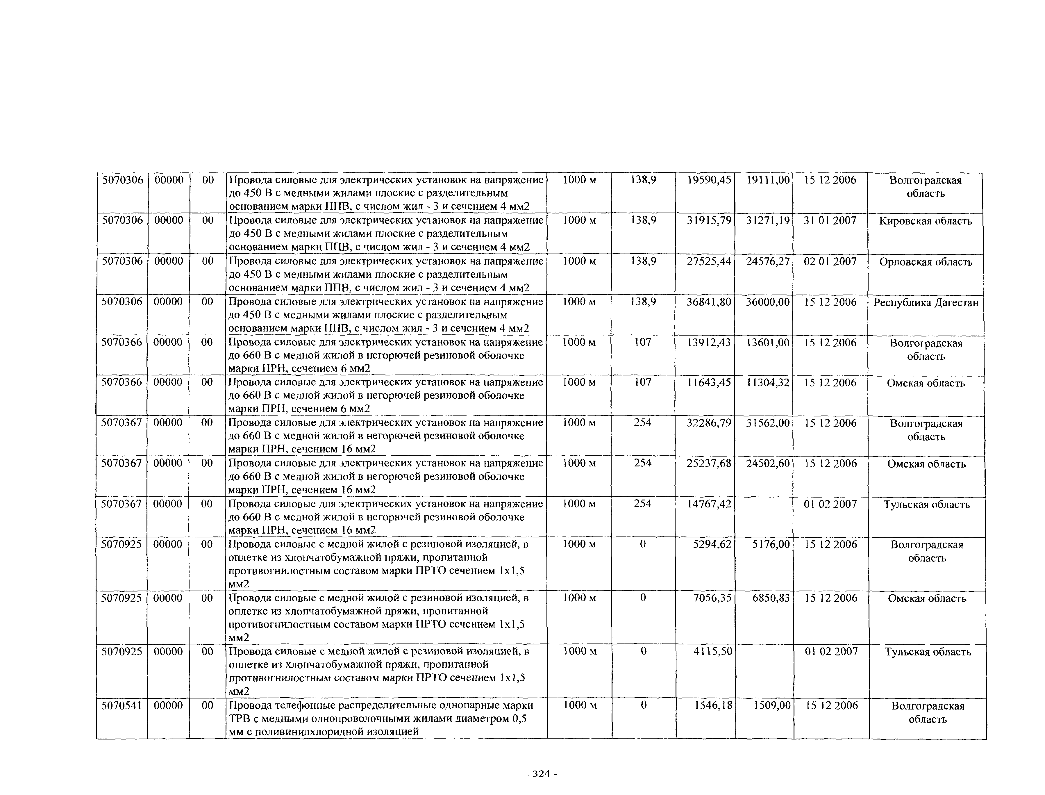
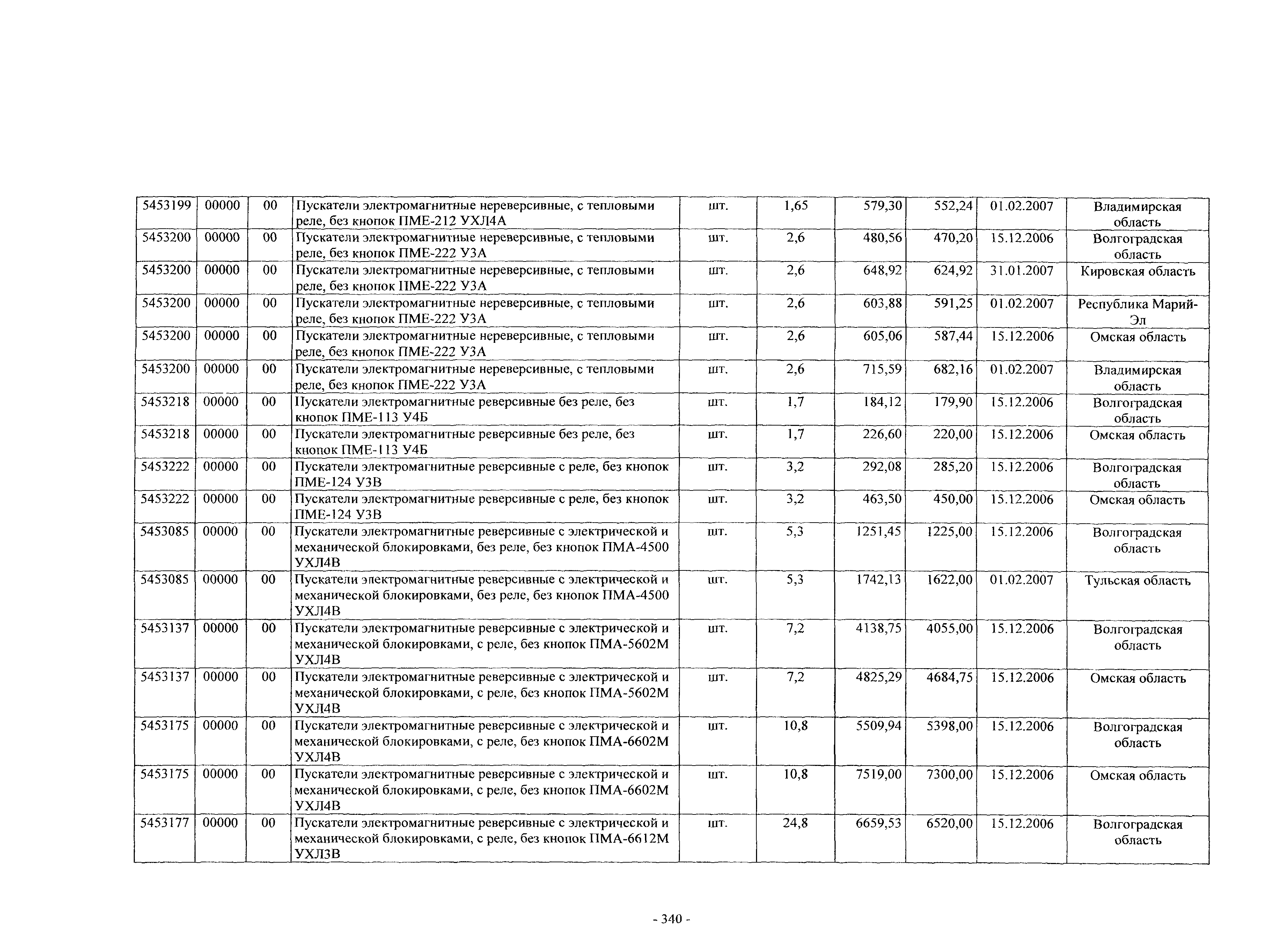
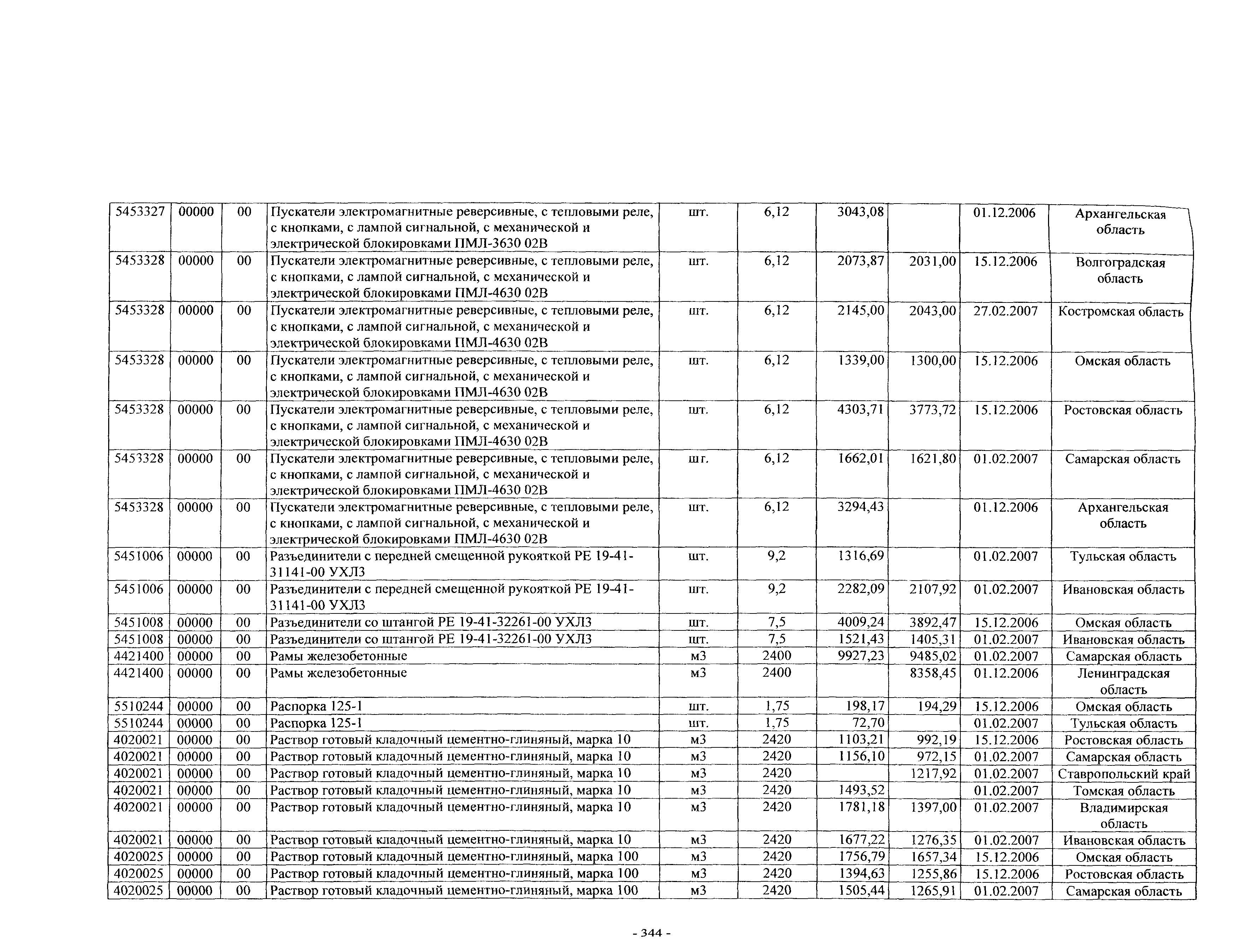
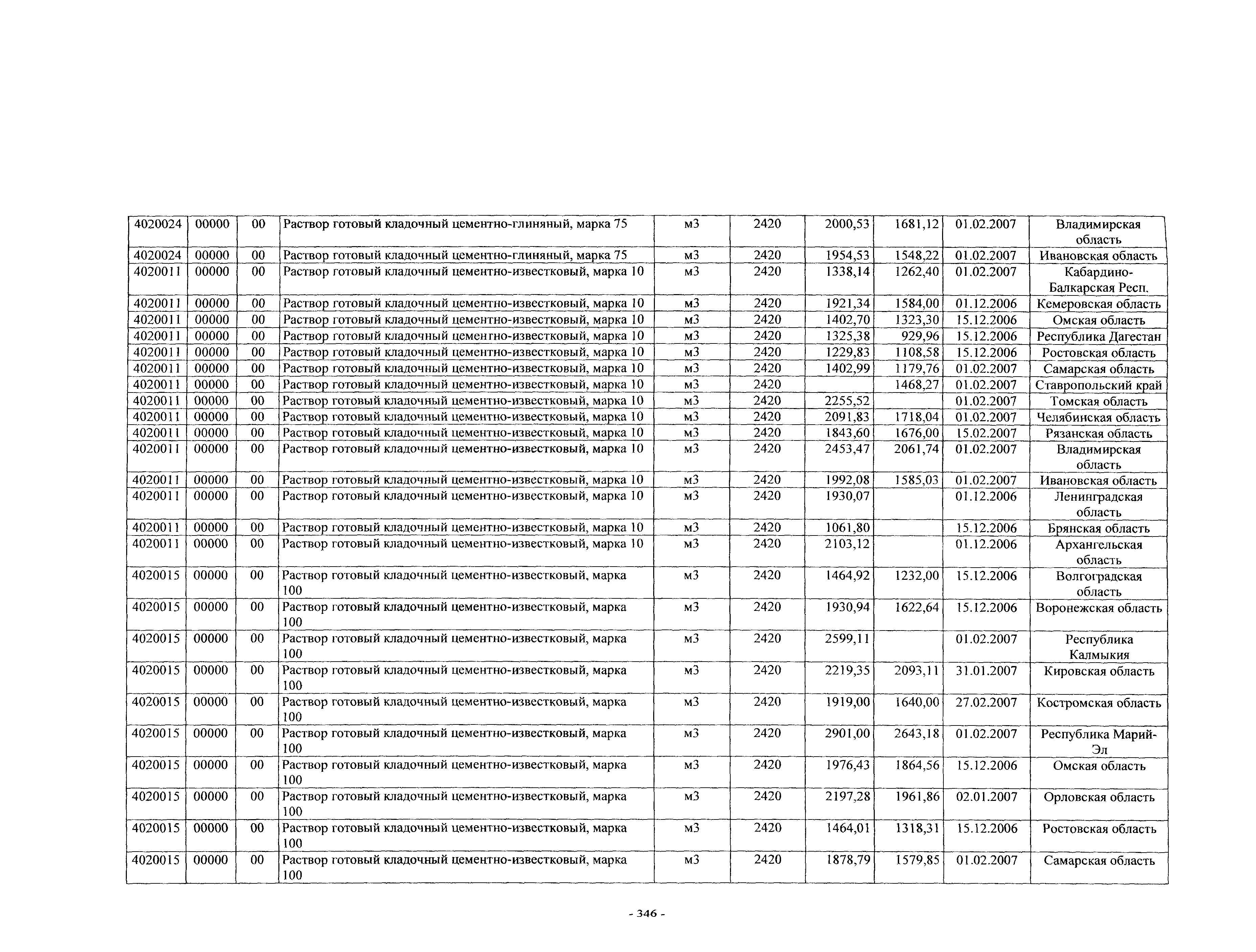
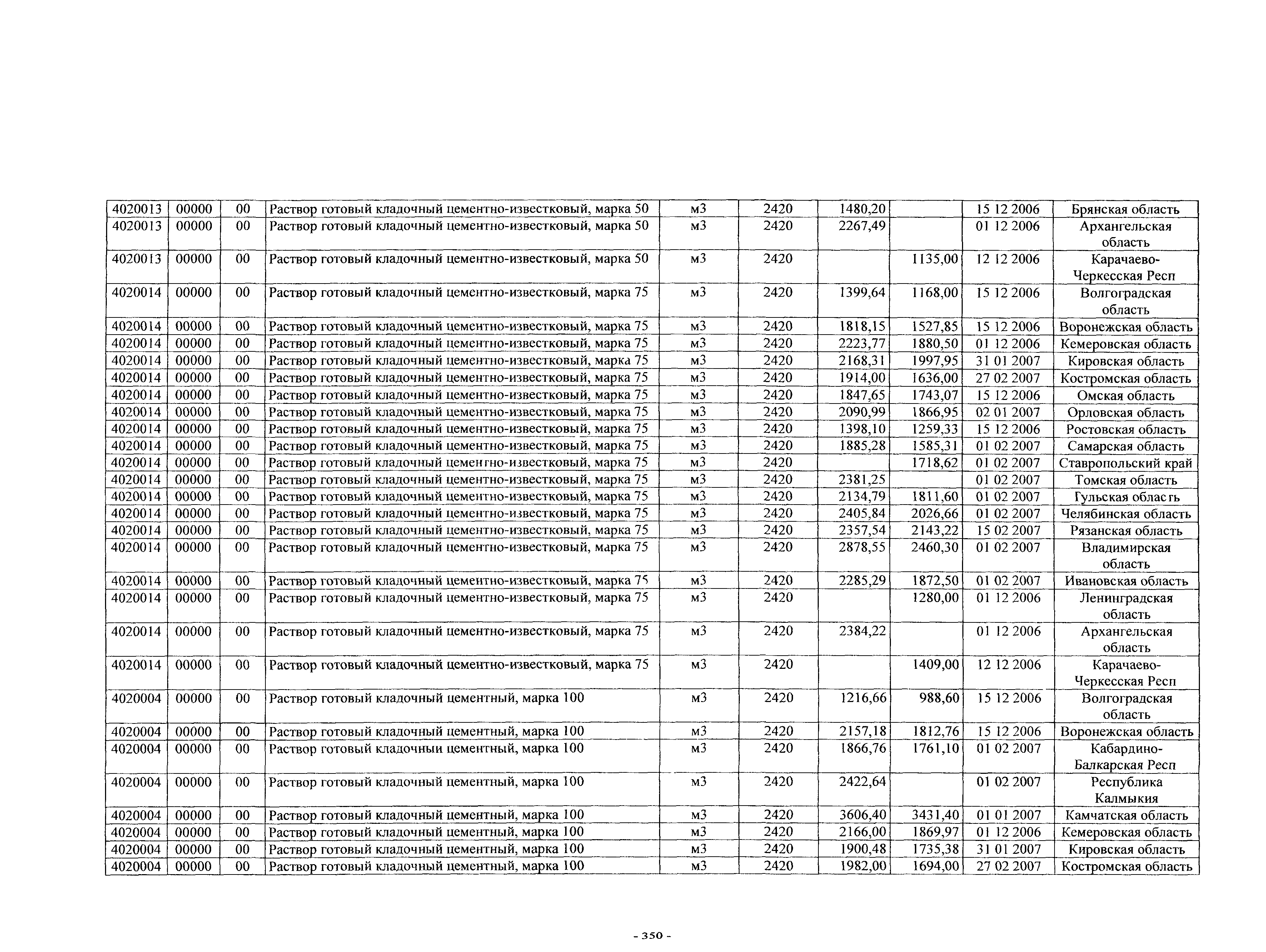
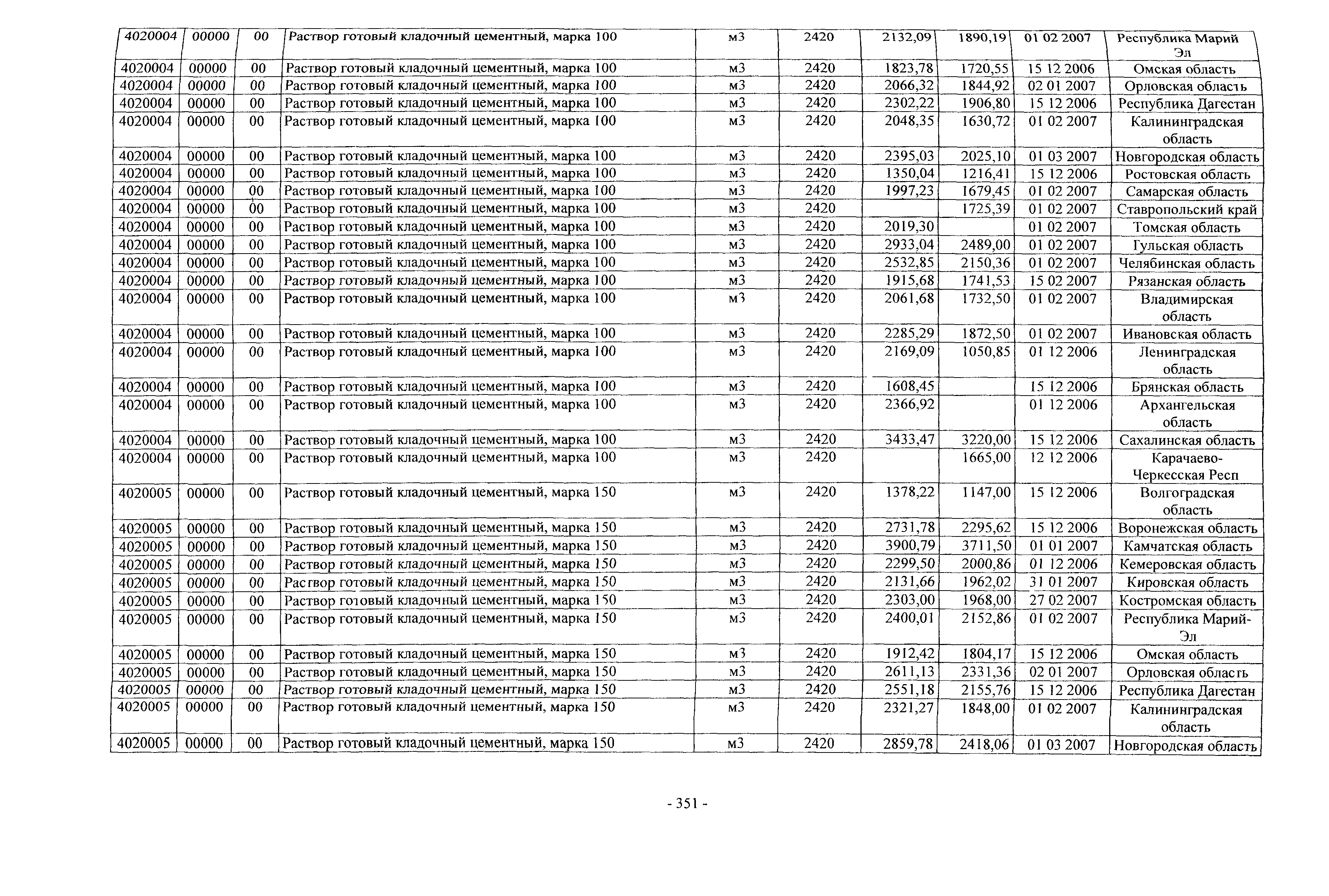
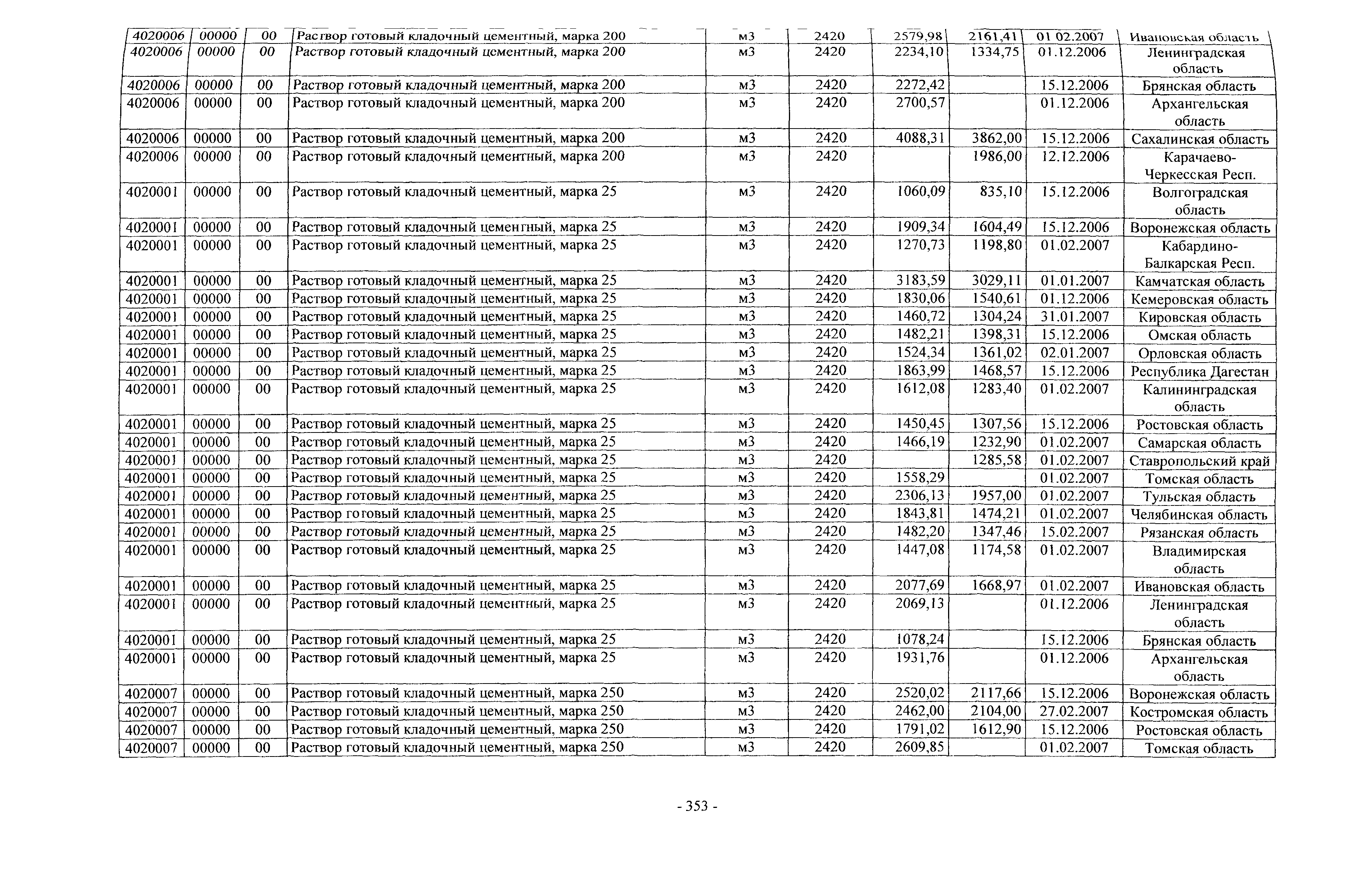
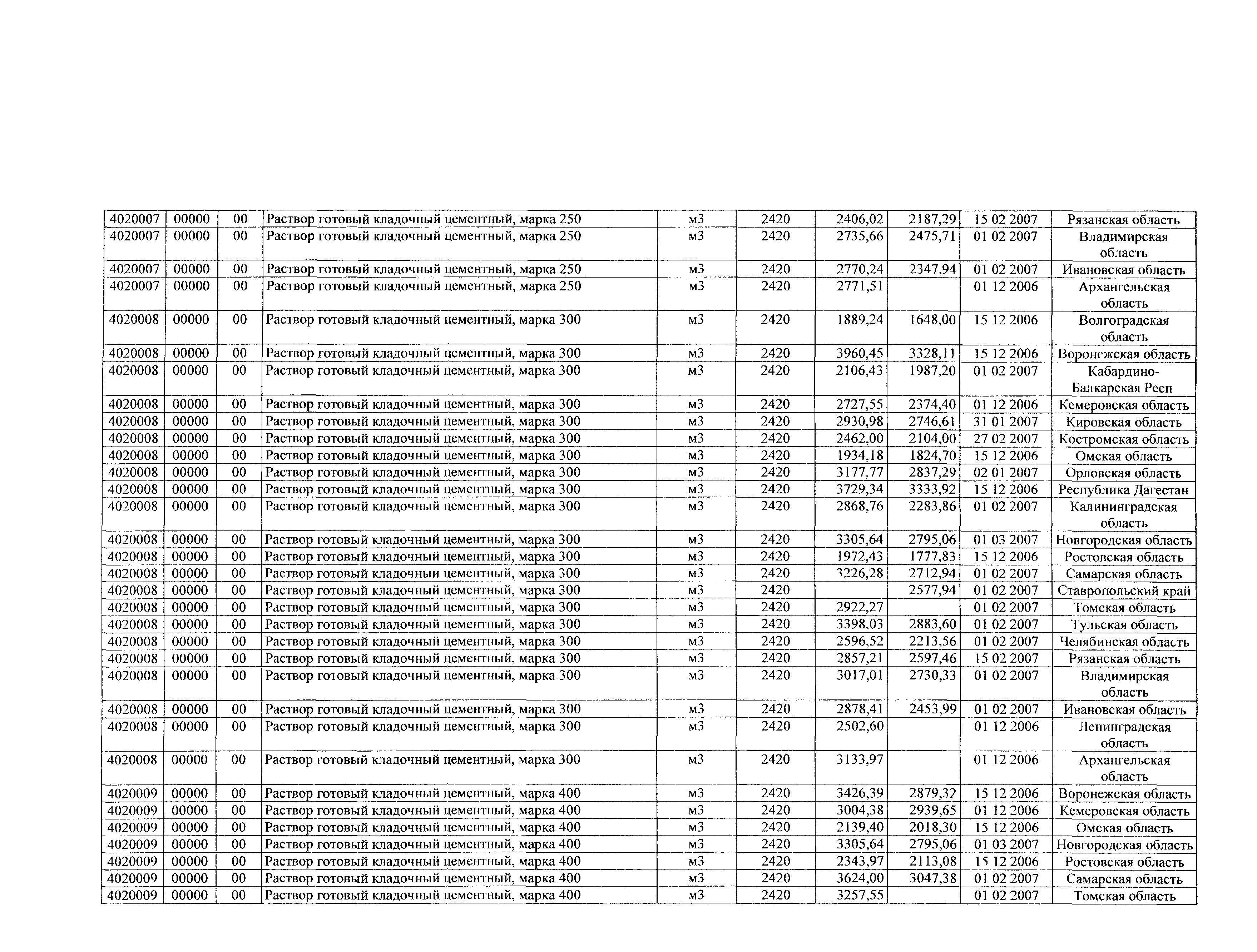
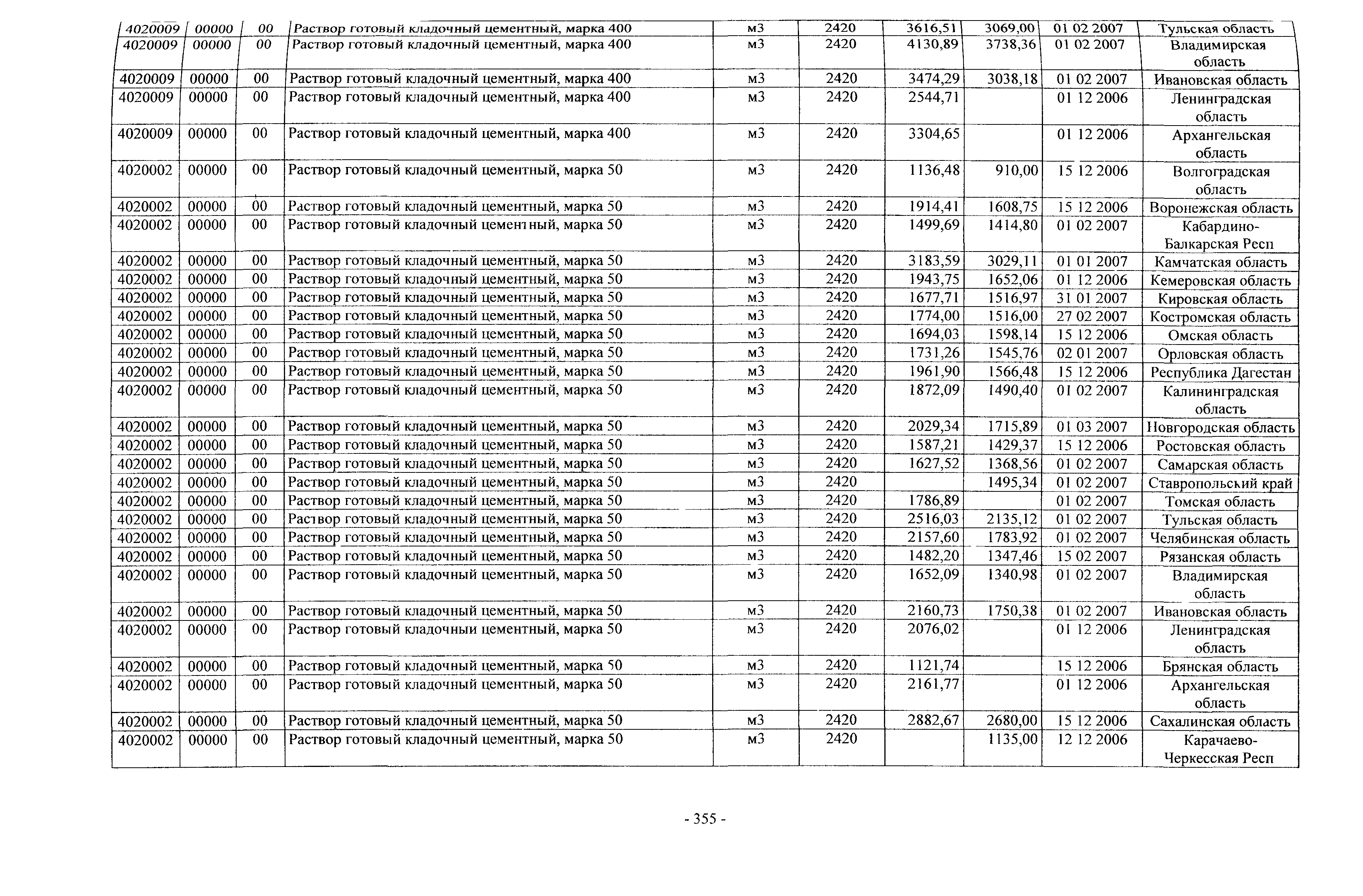
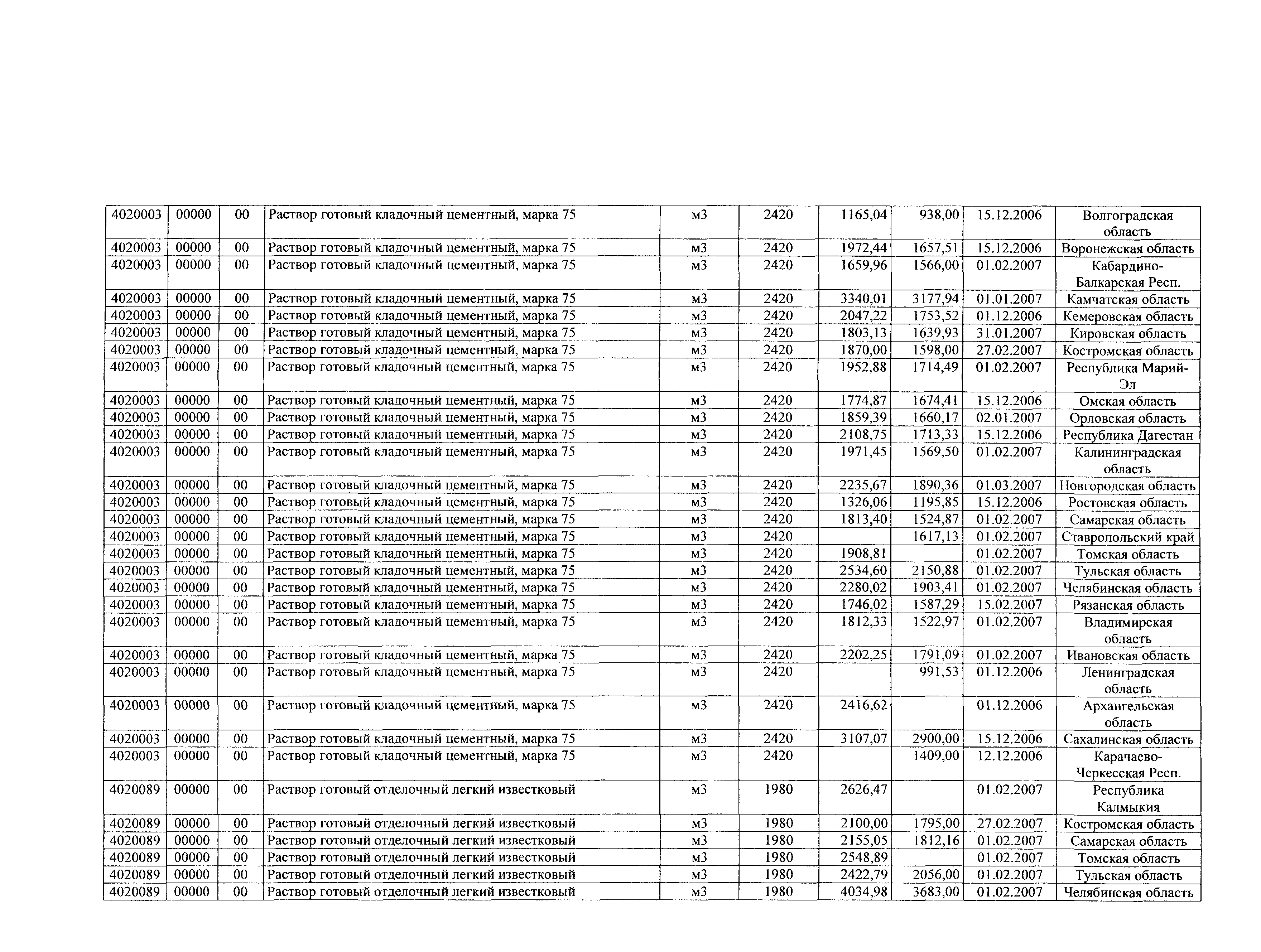
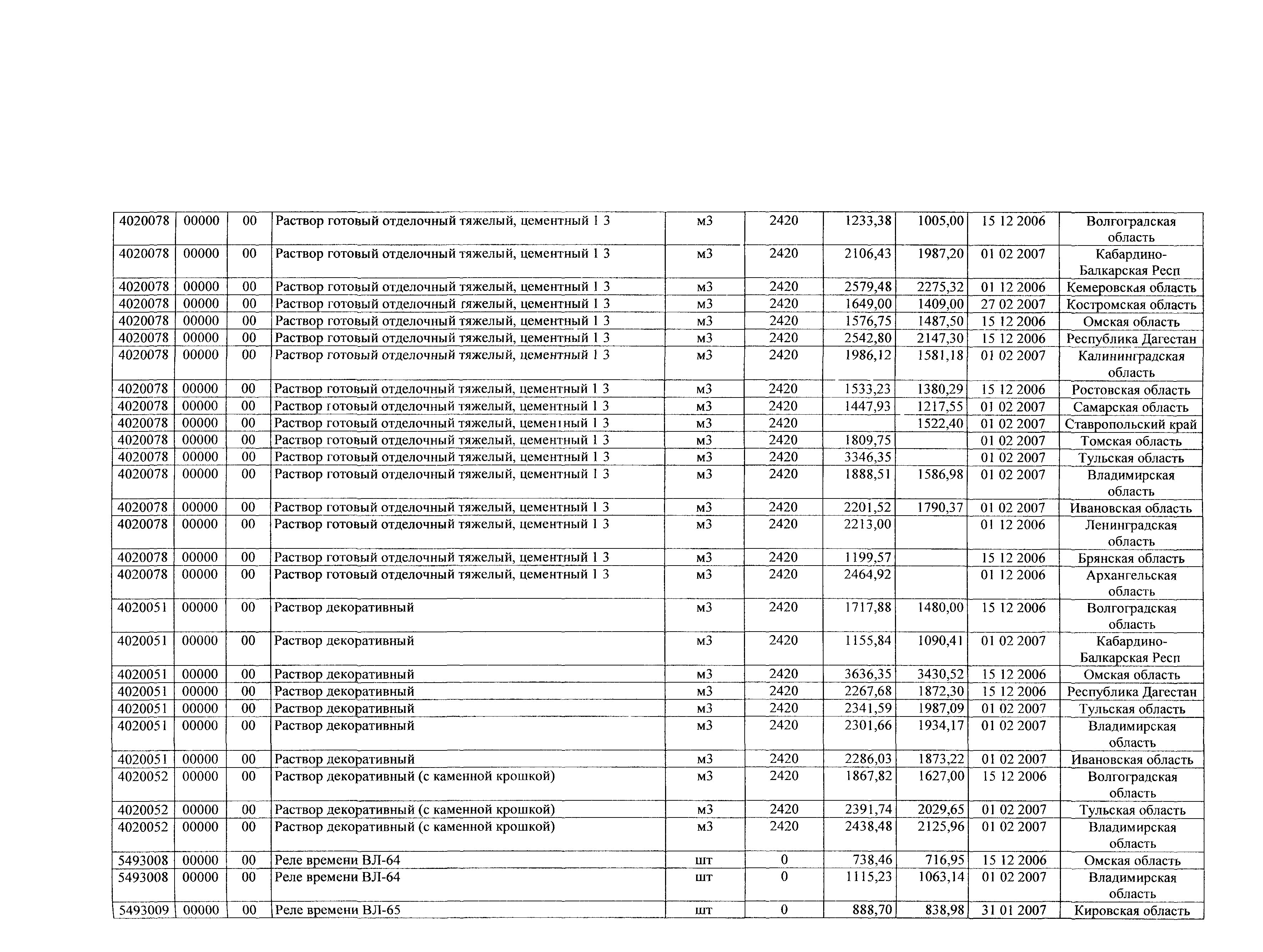
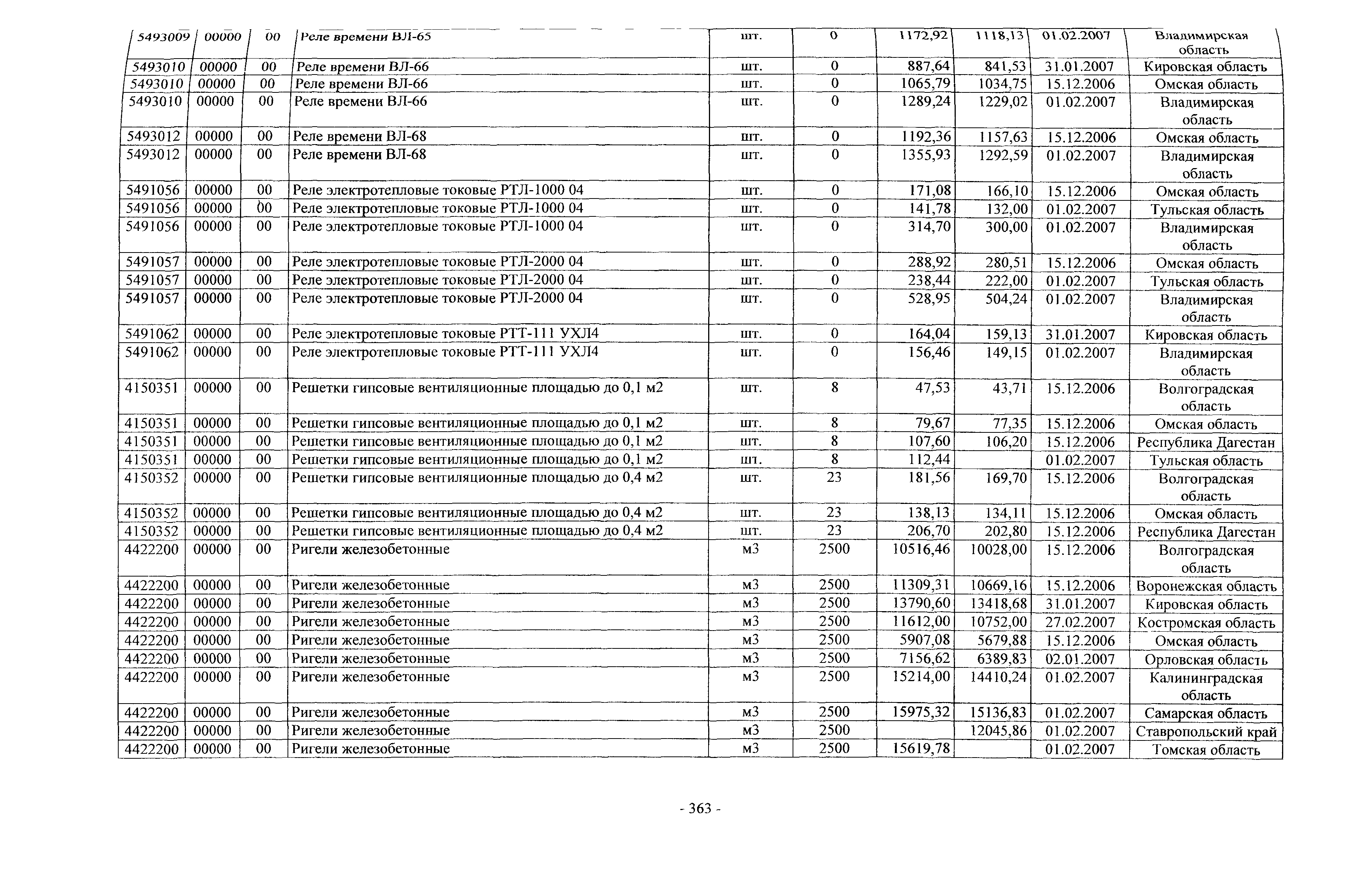
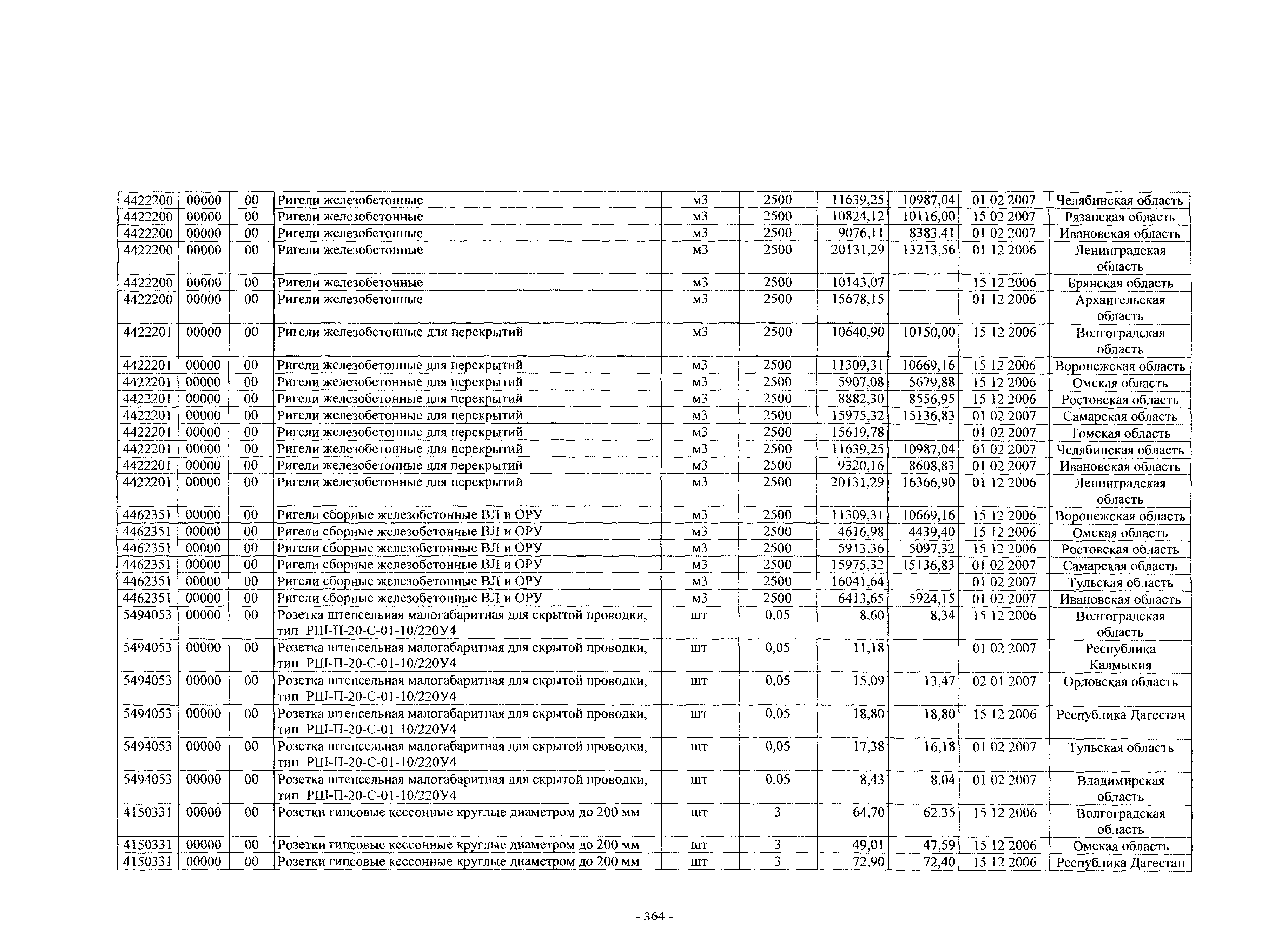
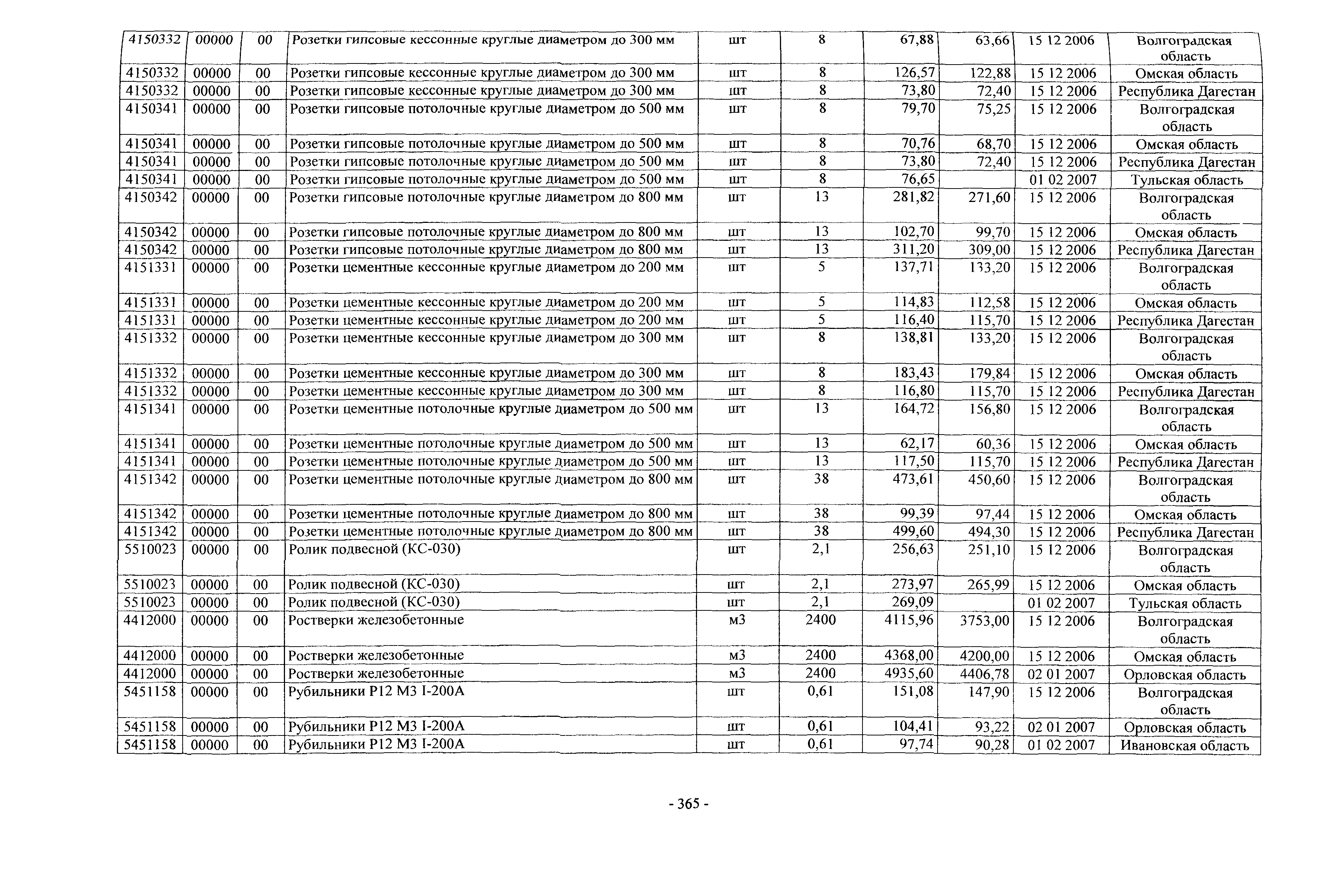
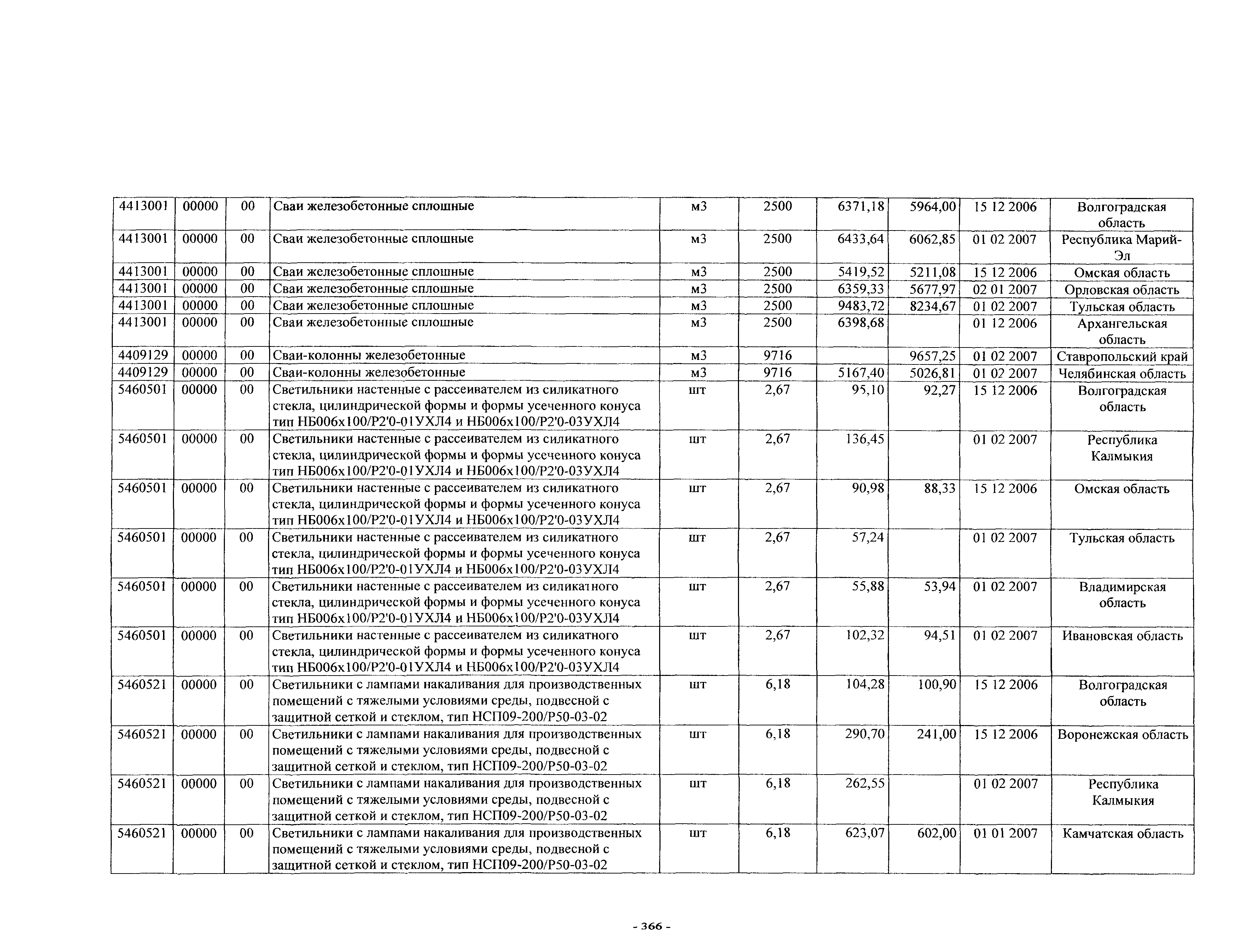
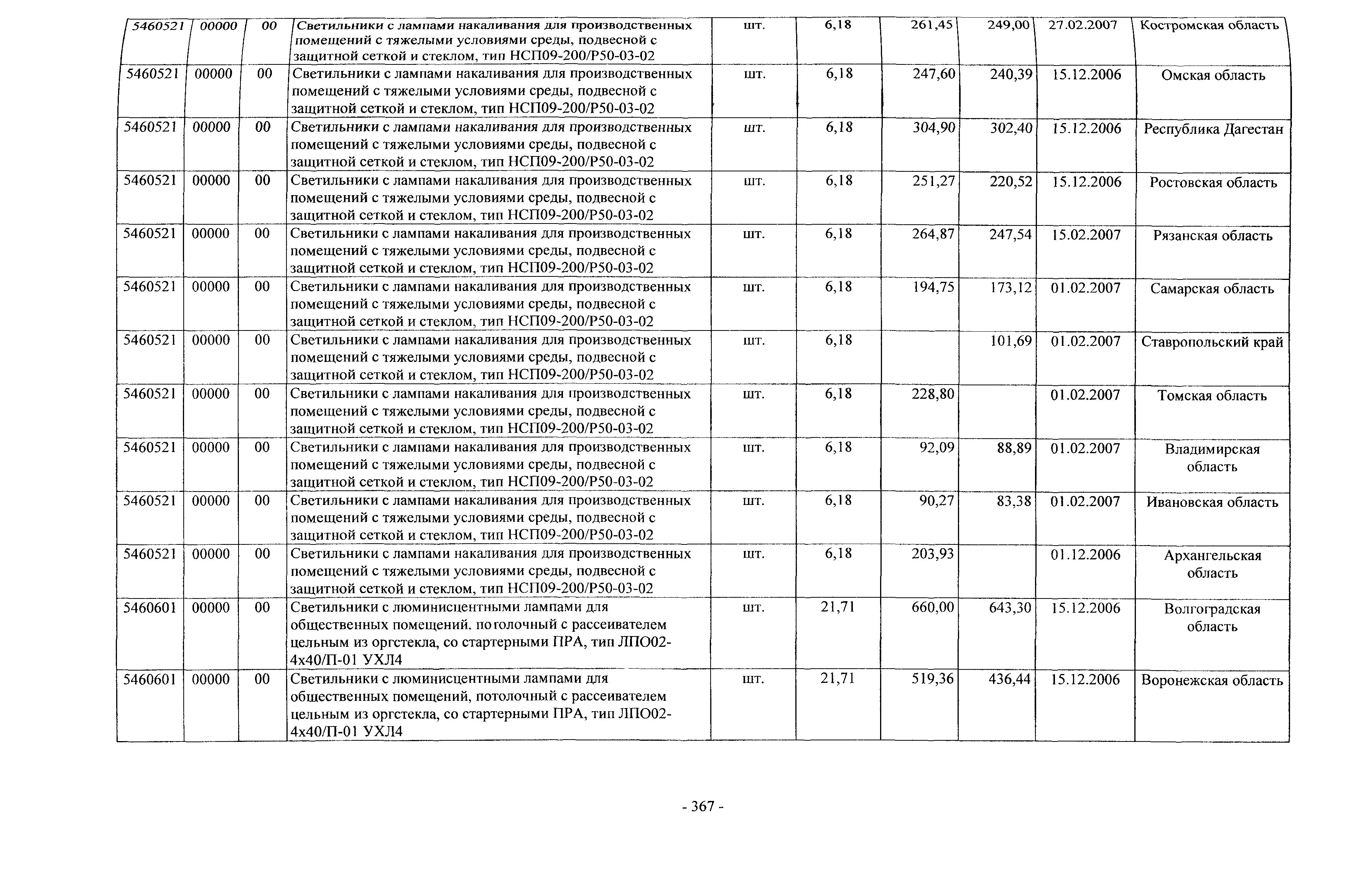
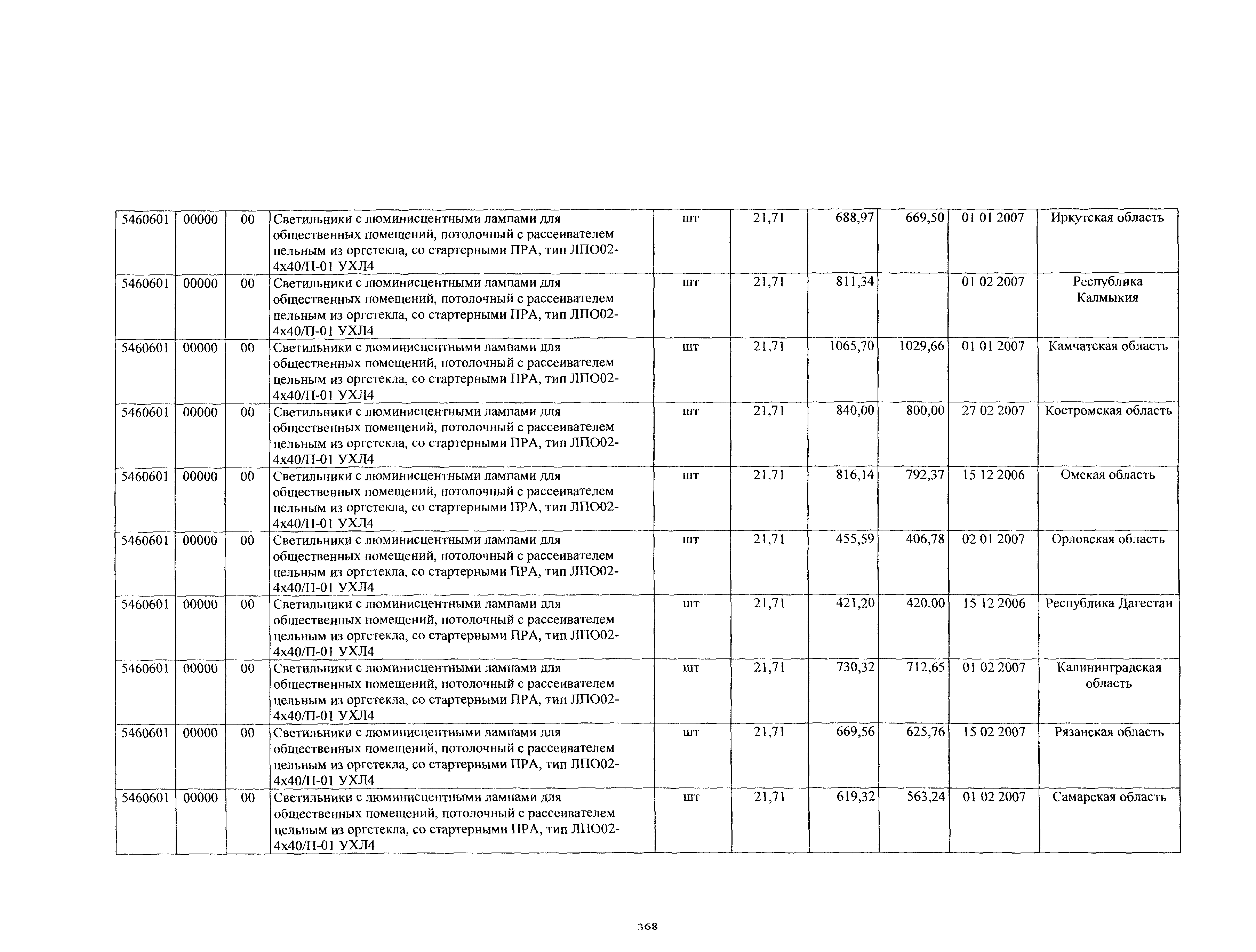
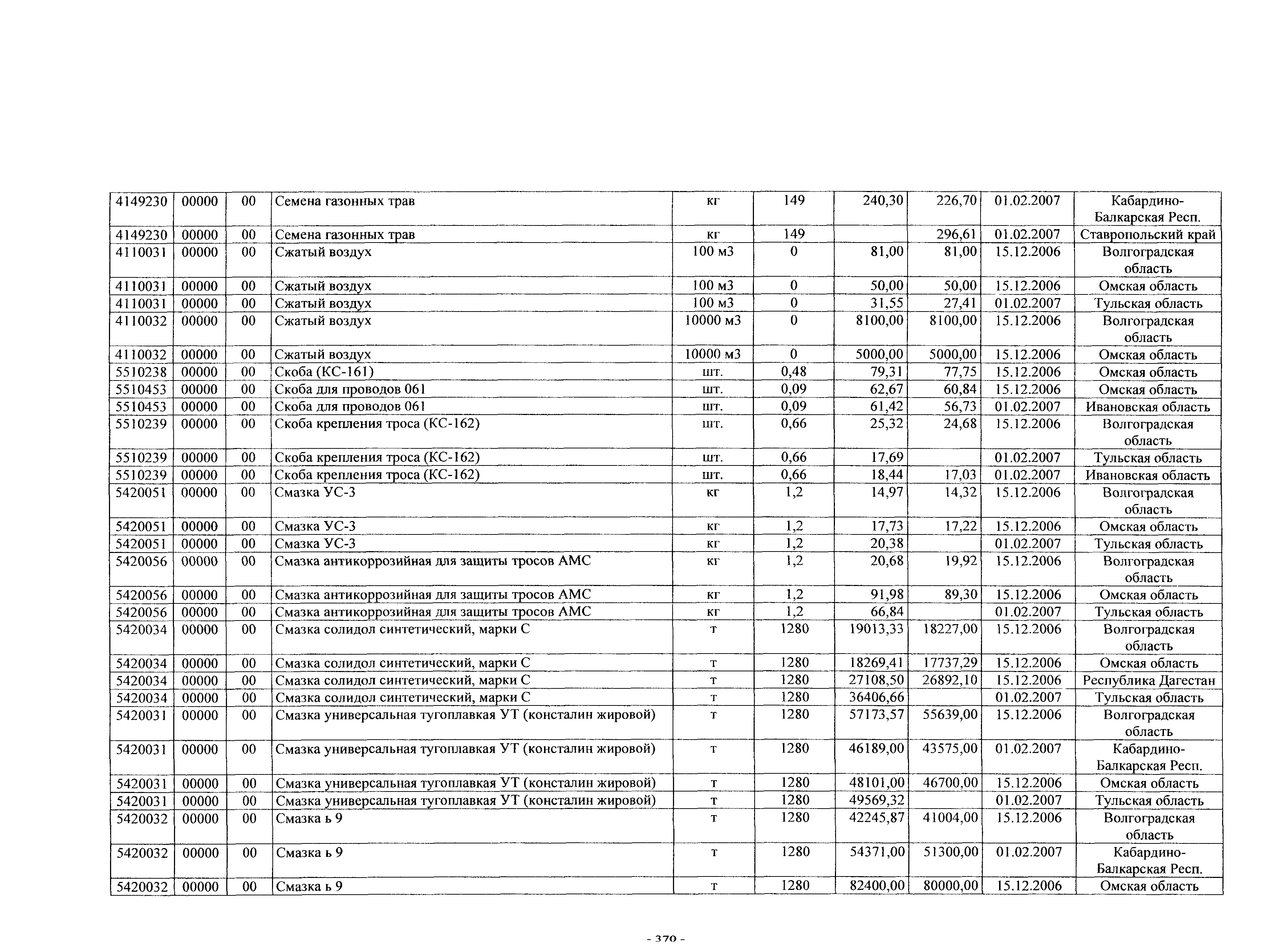
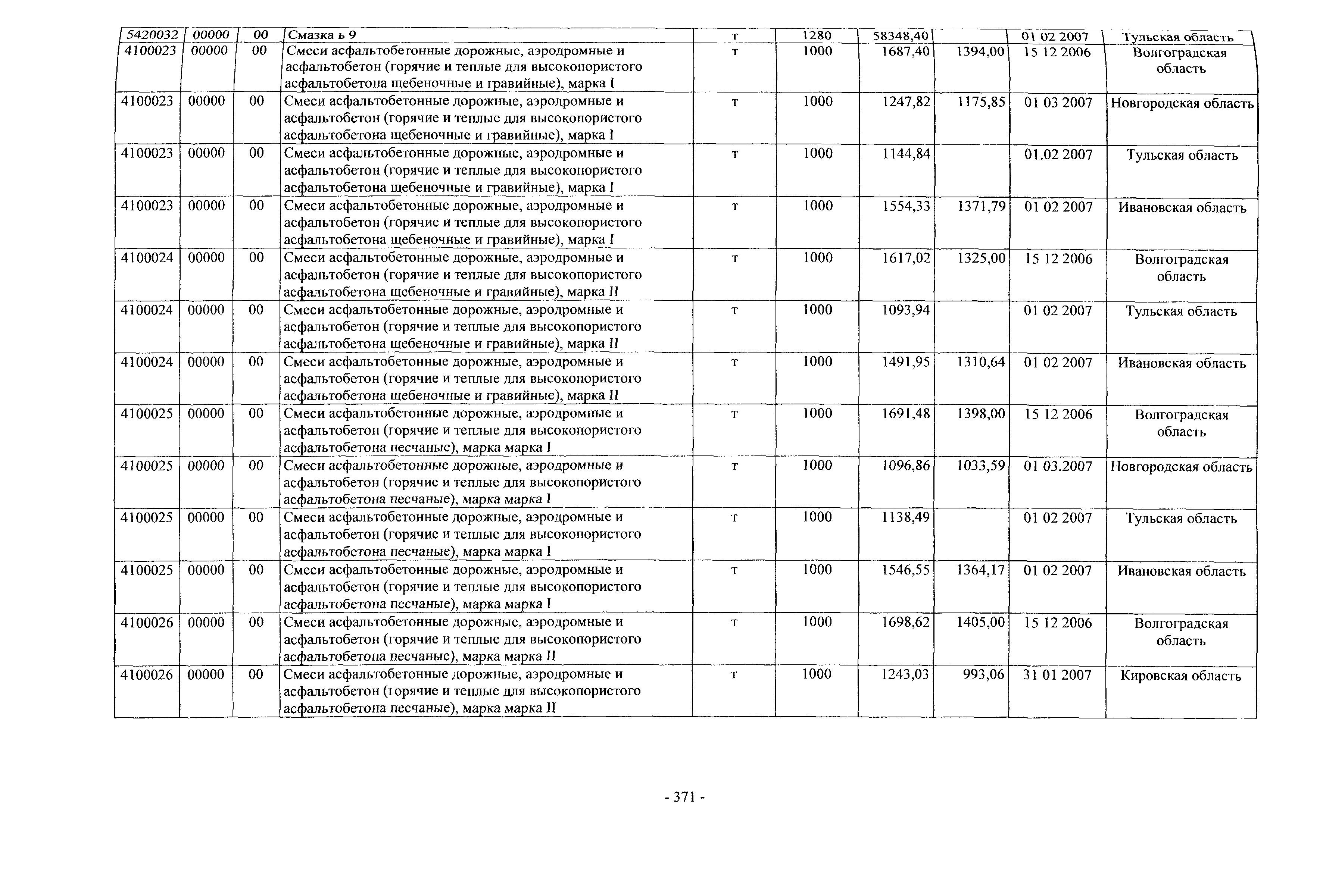
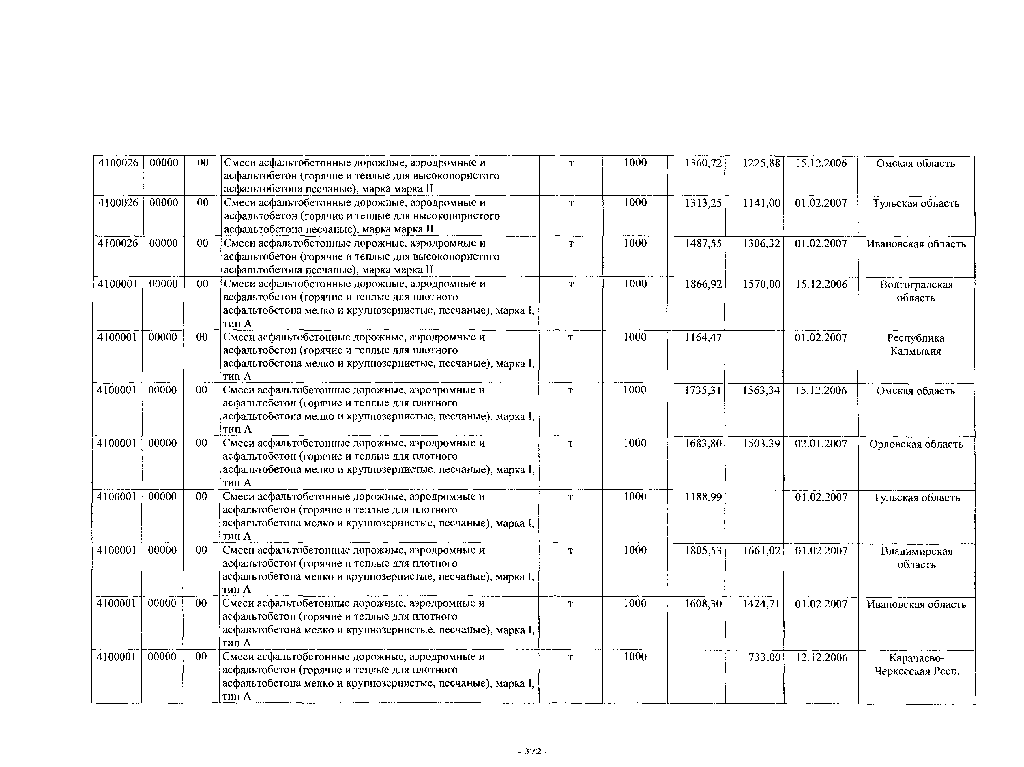
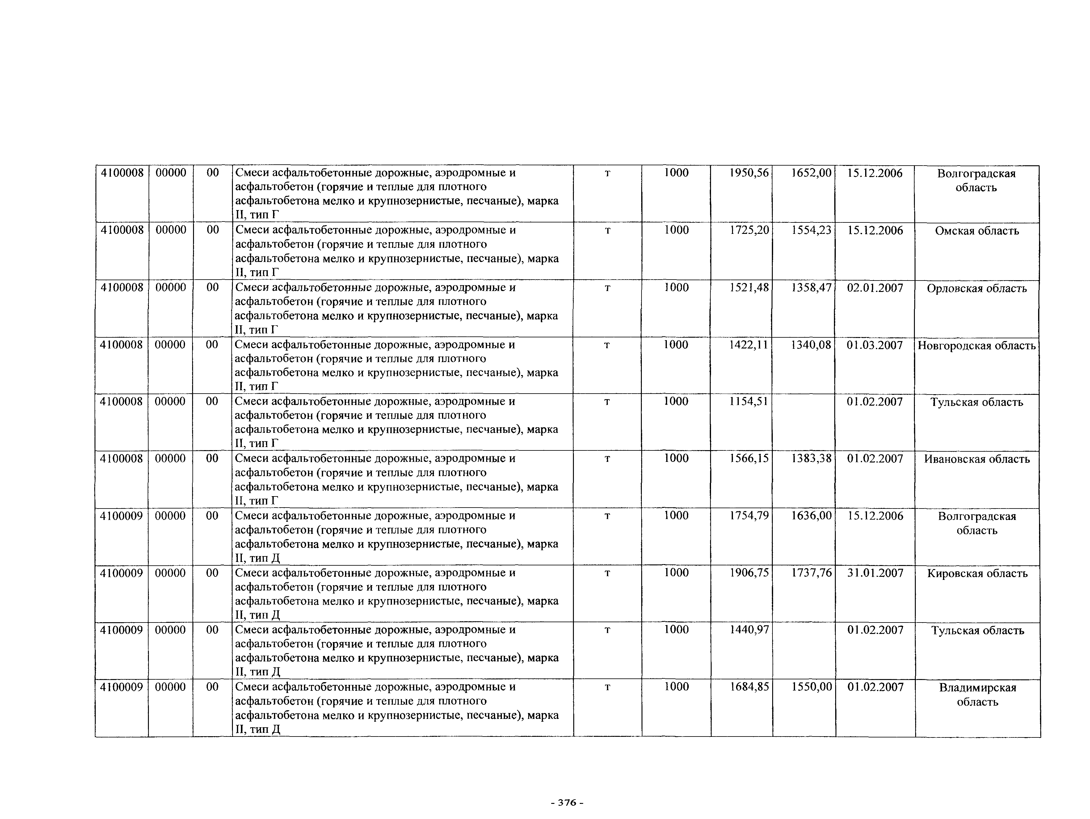
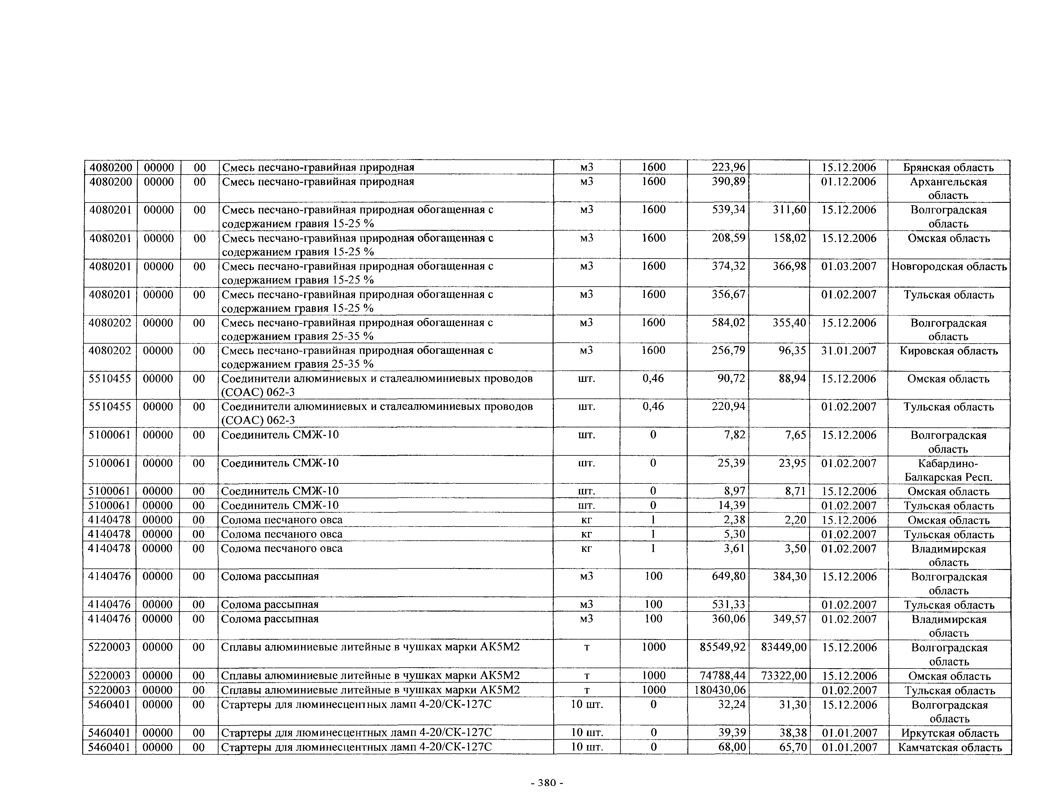
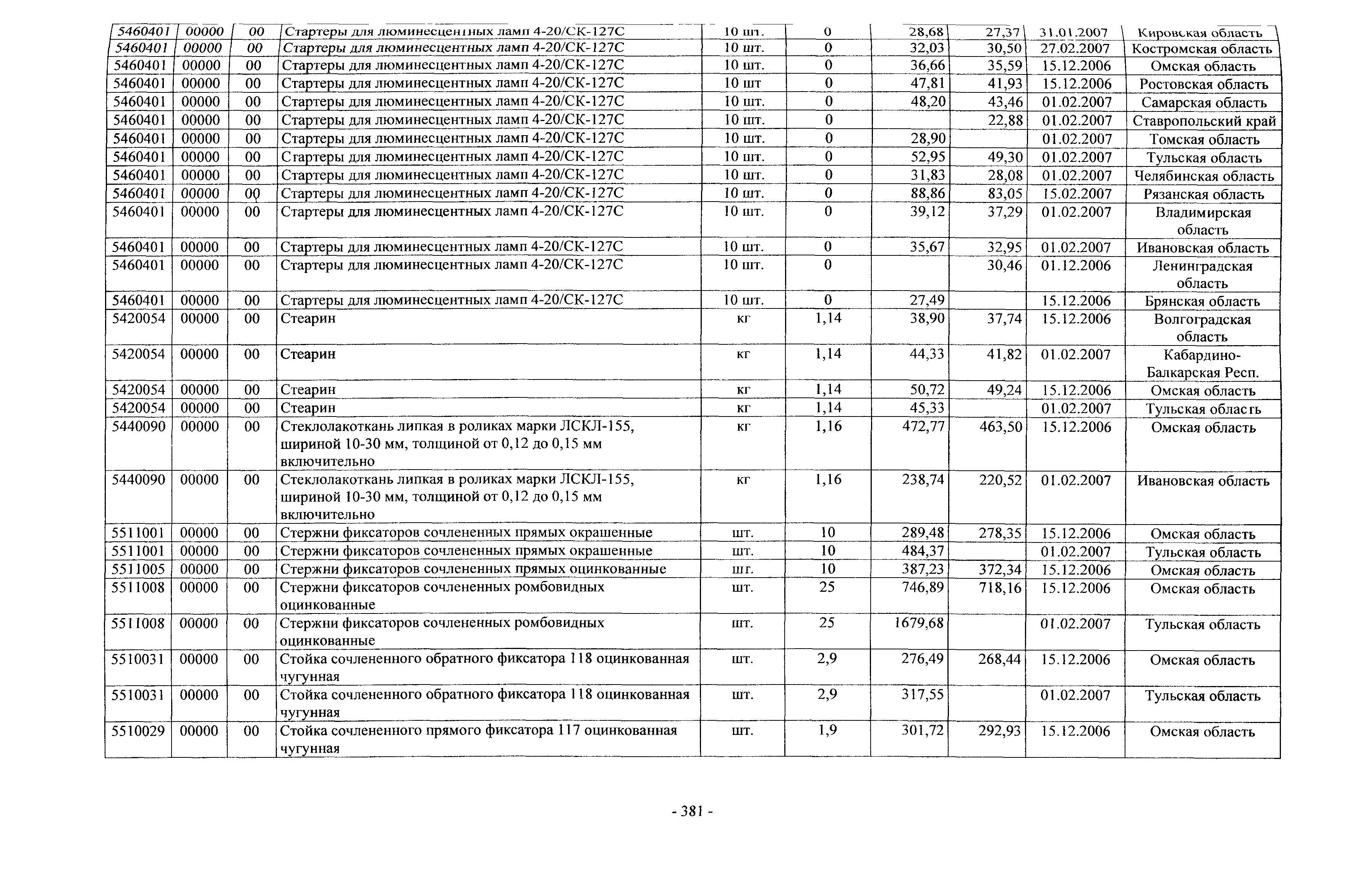
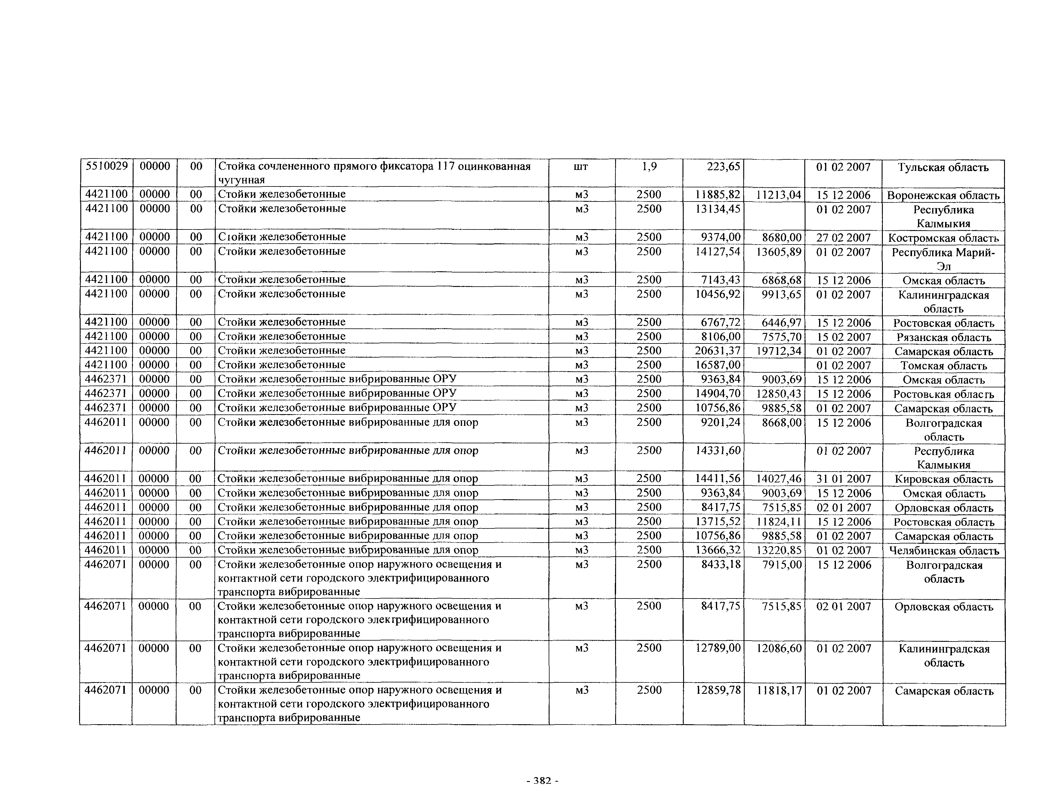
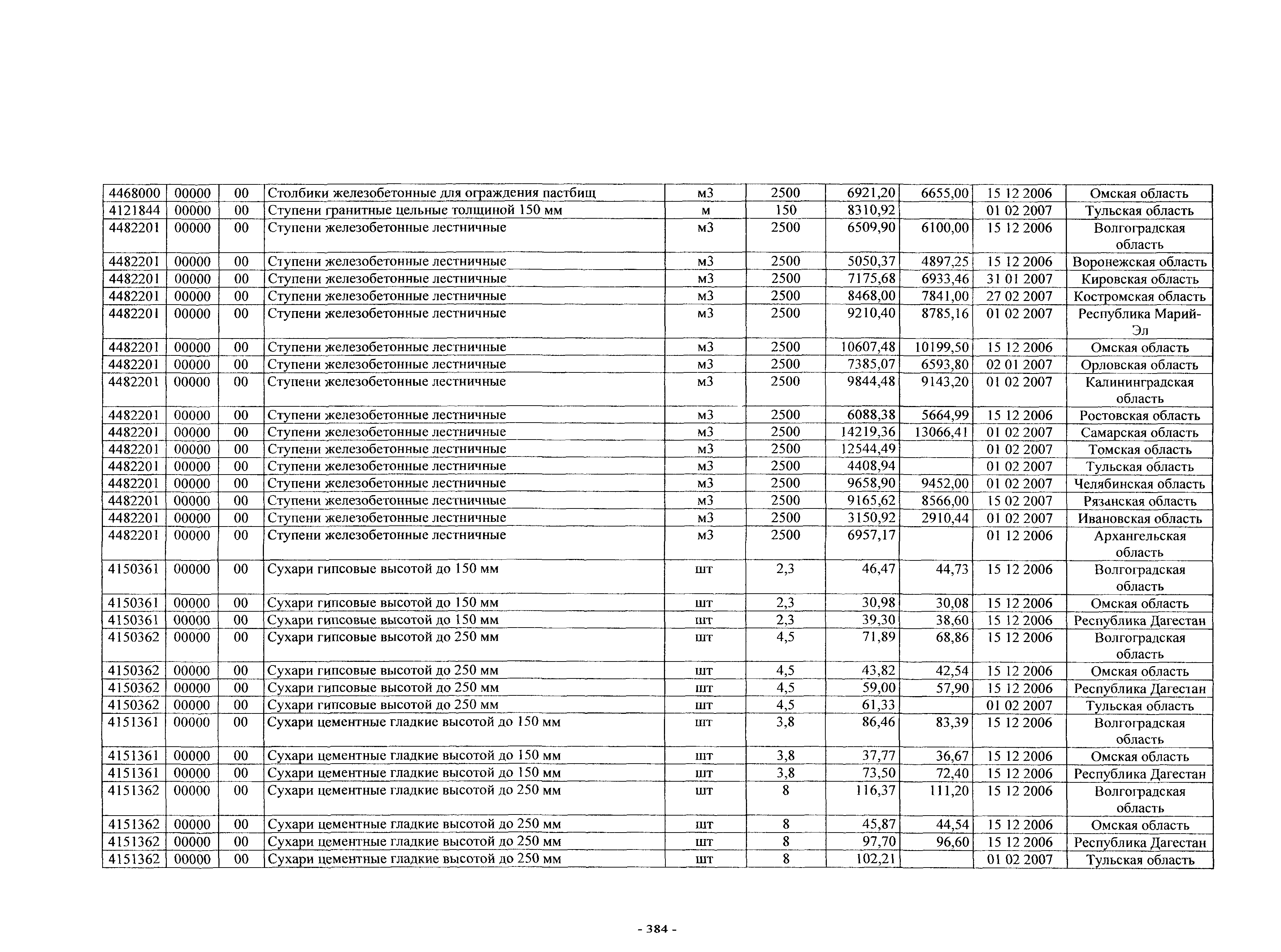
Том III. Сборник средних сметных цен на материалы, изделия и конструкции, применяемые в строительстве, в разрезе субъектов Российской Федерации. В текущем уровне цен (I квартал 2007 г.)| Статус: | действует | | Название рус.: | Том III. Сборник средних сметных цен на материалы, изделия и конструкции, применяемые в строительстве, в разрезе субъектов Российской Федерации. В текущем уровне цен (I квартал 2007 г.) | | Дата добавления в базу: | 01.09.2013 | | Дата актуализации: | 01.01.2021 | | Область применения: | Сборник предназначен для ознакомления со средними сметными ценами по регионам Российской Федерации. | | Оглавление: | А Б В Г Д З И К Л М Н О П Р С Т У Ф Х Ц Ч Ш Щ Э Я | | Разработан: | ФГУ Федеральный центр ценообразования в строительстве и промышленности строительных материалов
| | Издан: | ФГУ Федеральный центр ценообразования в строительстве и промышленности строительных материалов (2007 г. )
|
                                                                                                                                                                                                                                                                                                                                                                                                                                          
|