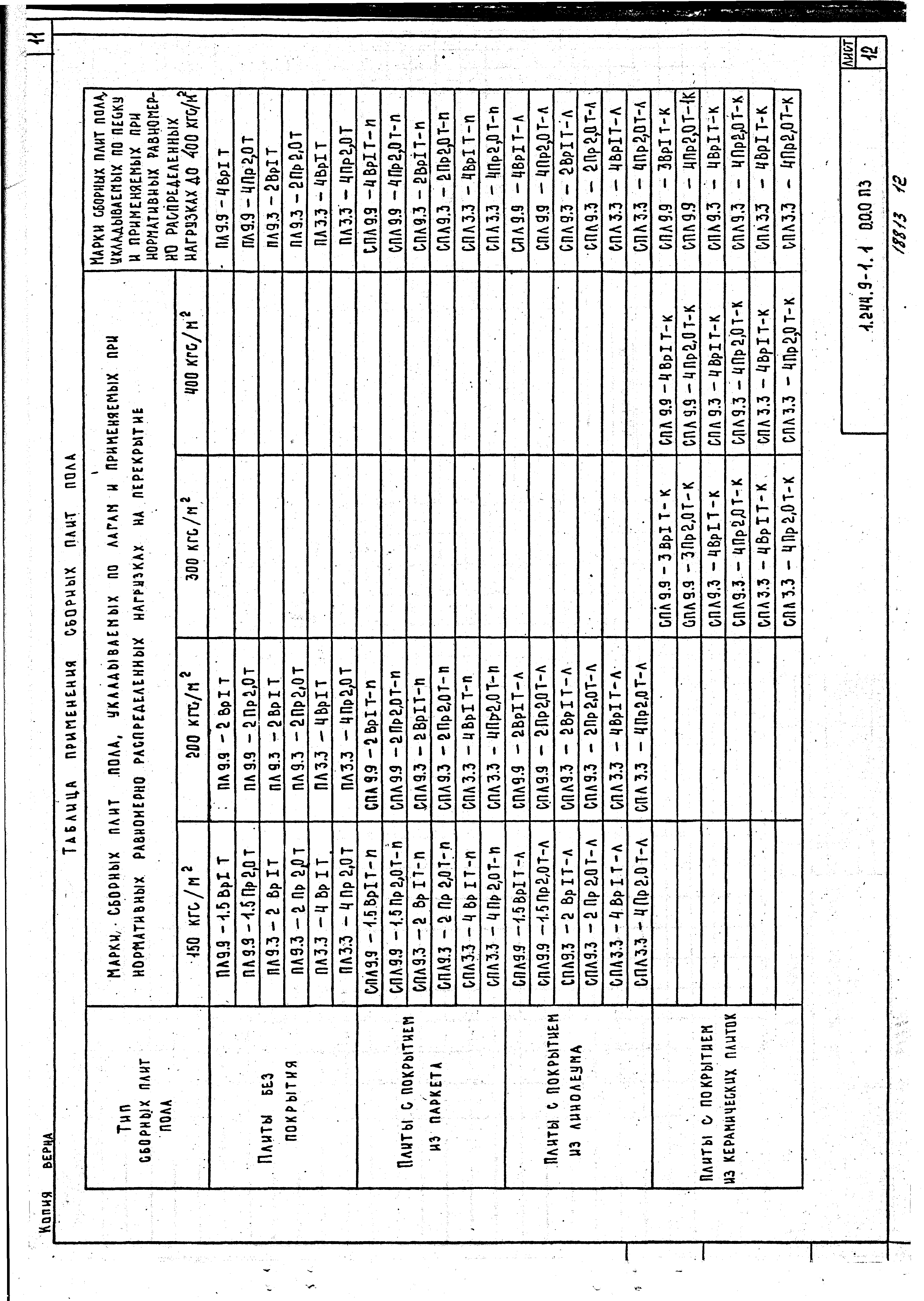
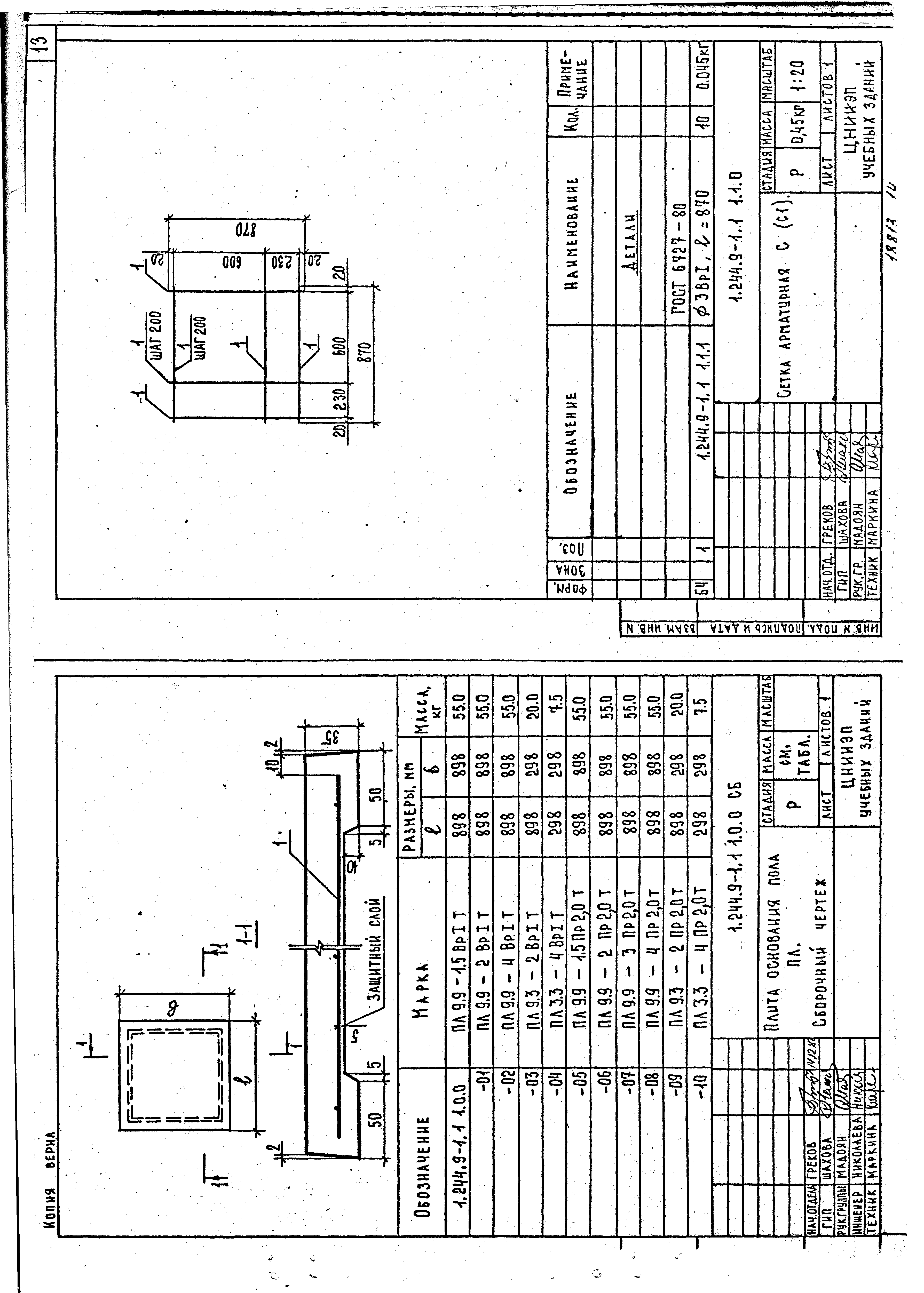
Скачать Серия 1.244.9-1 Выпуск 1. Железобетонные плиты с покрытием из линолеума, паркета и керамических плитокДата актуализации: 01.01.2021 Серия 1.244.9-1
Выпуск 1. Железобетонные плиты с покрытием из линолеума, паркета и керамических плиток| Обозначение: | Серия 1.244.9-1 | | Обозначение англ: | Series 1.244.9-1 | | Статус: | не действует | | Название рус.: | Выпуск 1. Железобетонные плиты с покрытием из линолеума, паркета и керамических плиток | | Дата добавления в базу: | 01.09.2013 | | Дата актуализации: | 01.01.2021 | | Дата введения: | 01.08.1983 | | Дата окончания срока действия: | 01.05.1999 | | Разработан: | ЦНИИЭП учебных зданий Госгражданстроя
| | Утверждён: | 26.05.1983 Госгражданстрой (Gosgrazhdanstroy 162)
|
                            
|