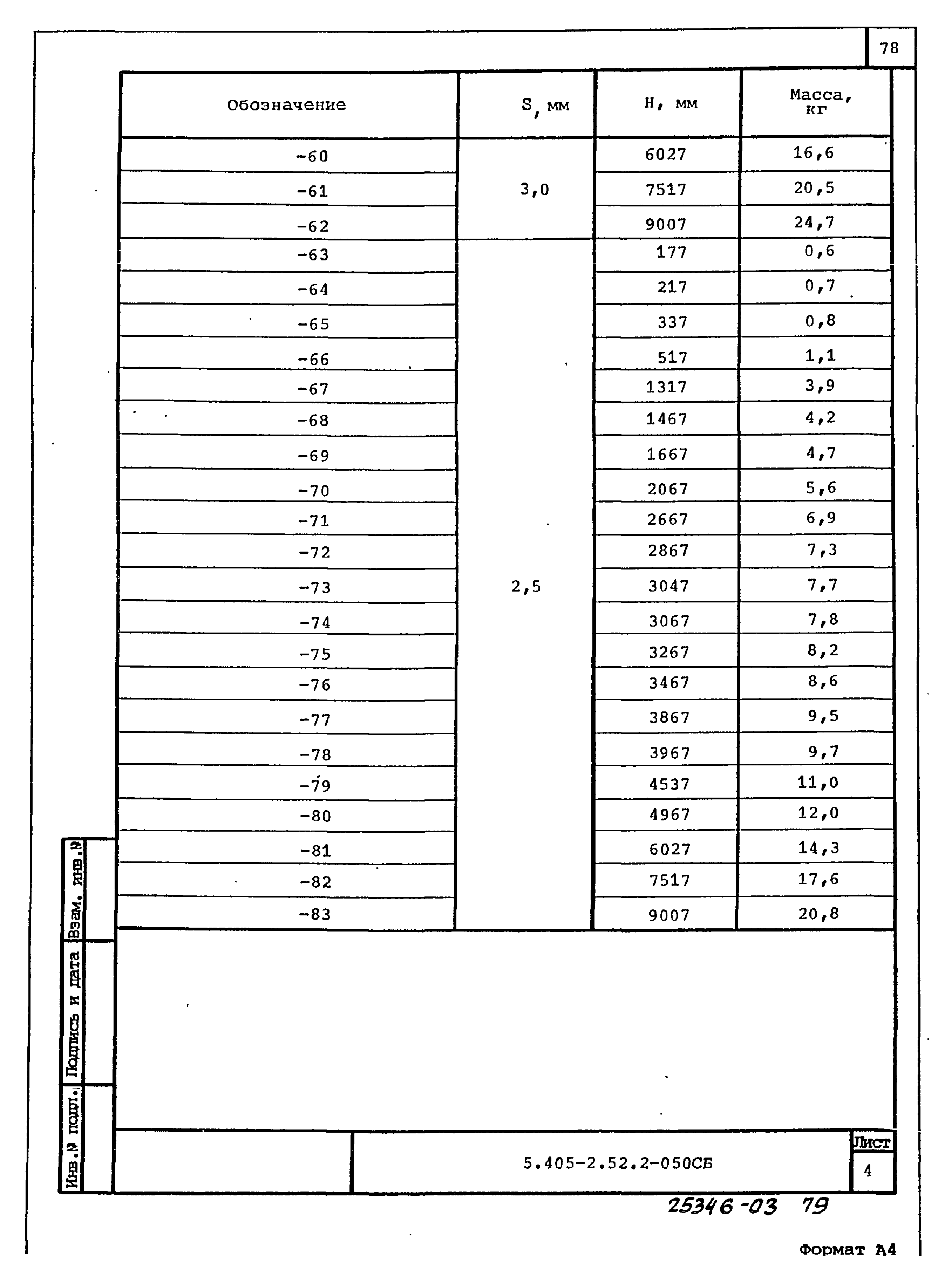
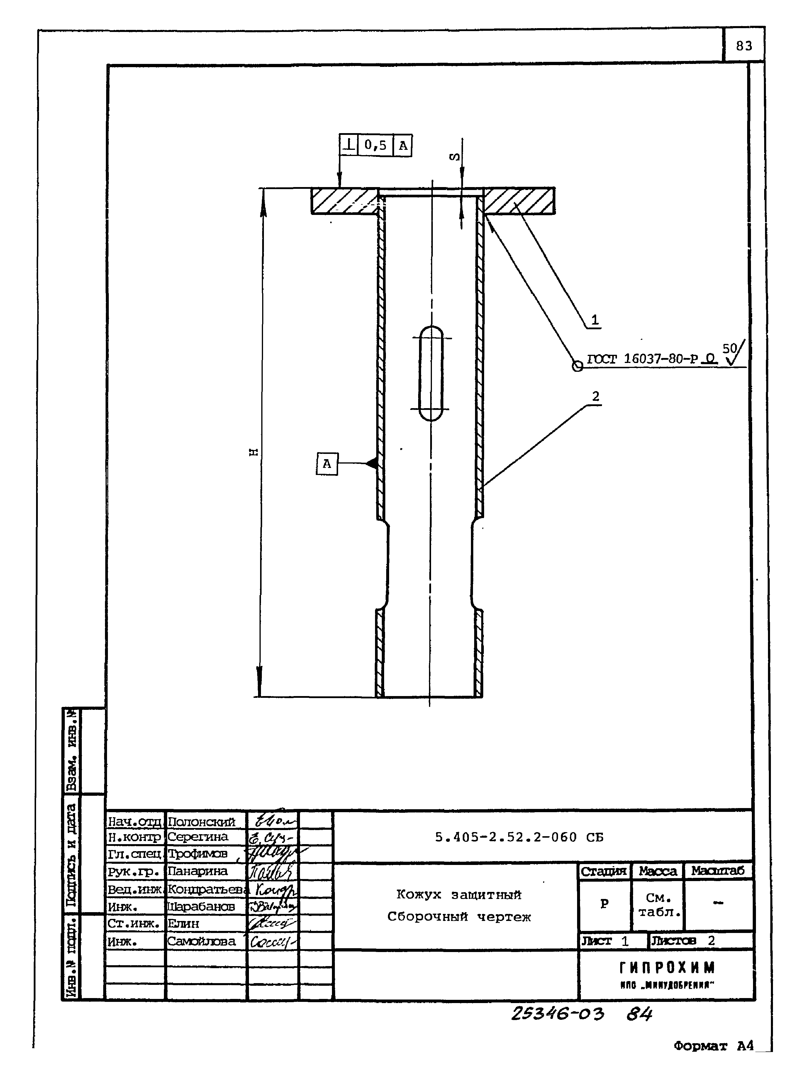
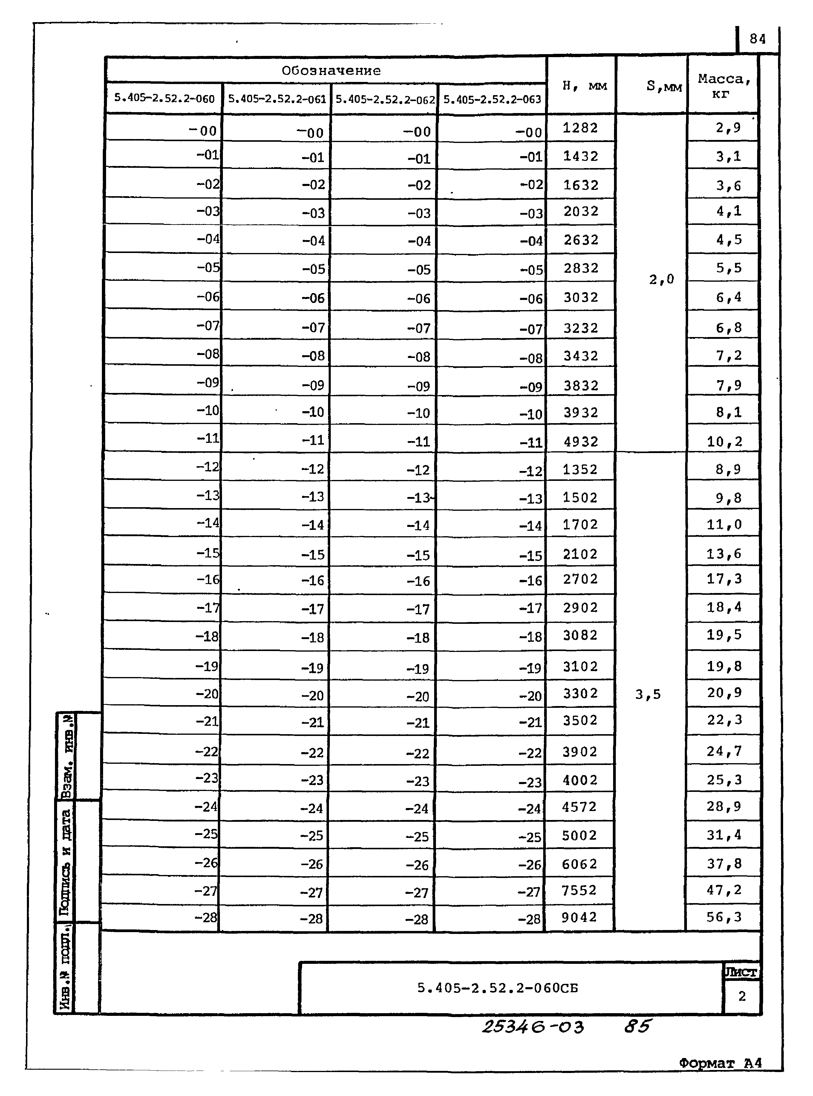
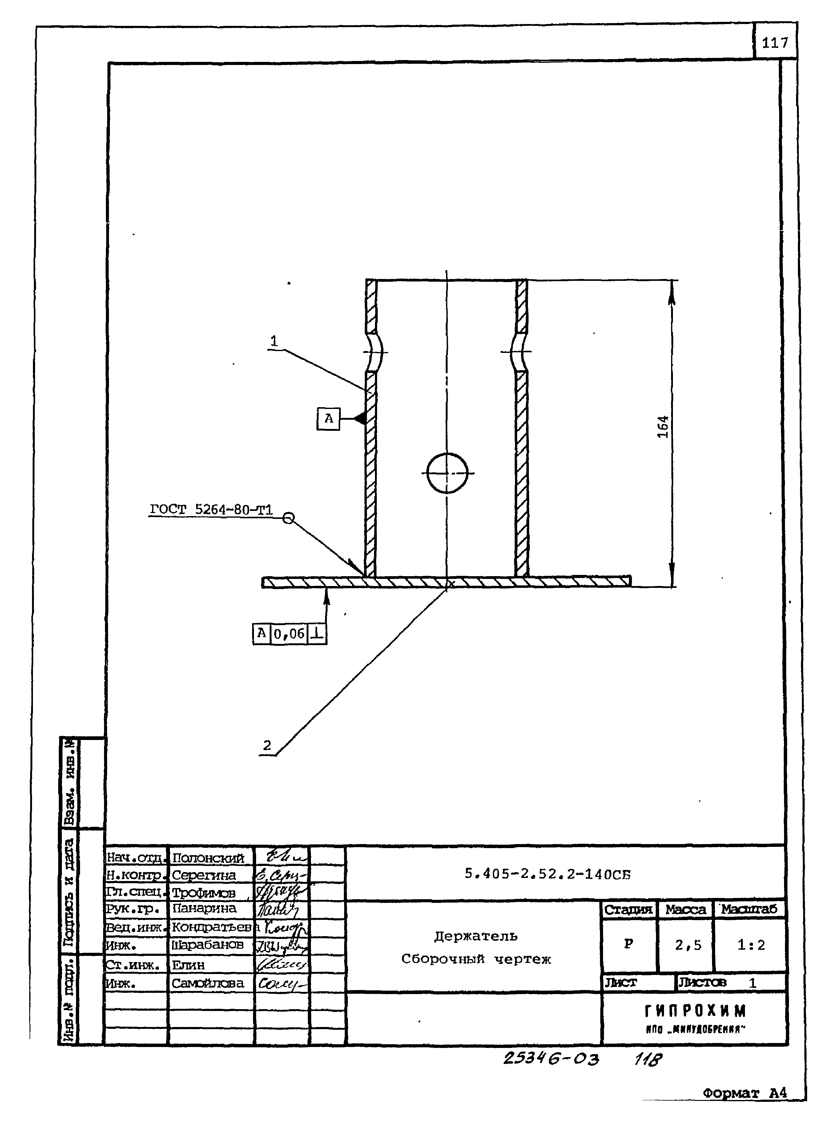
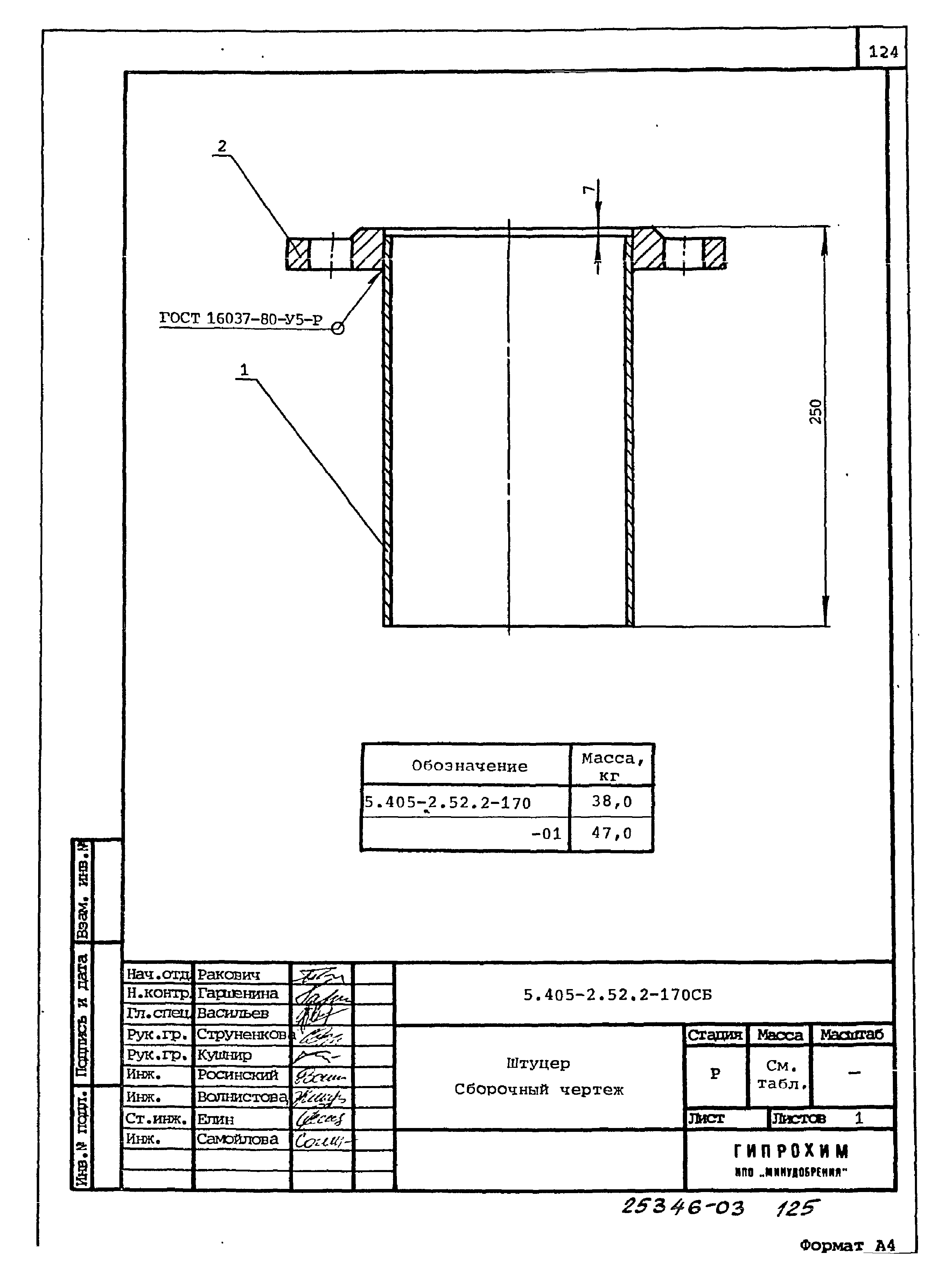
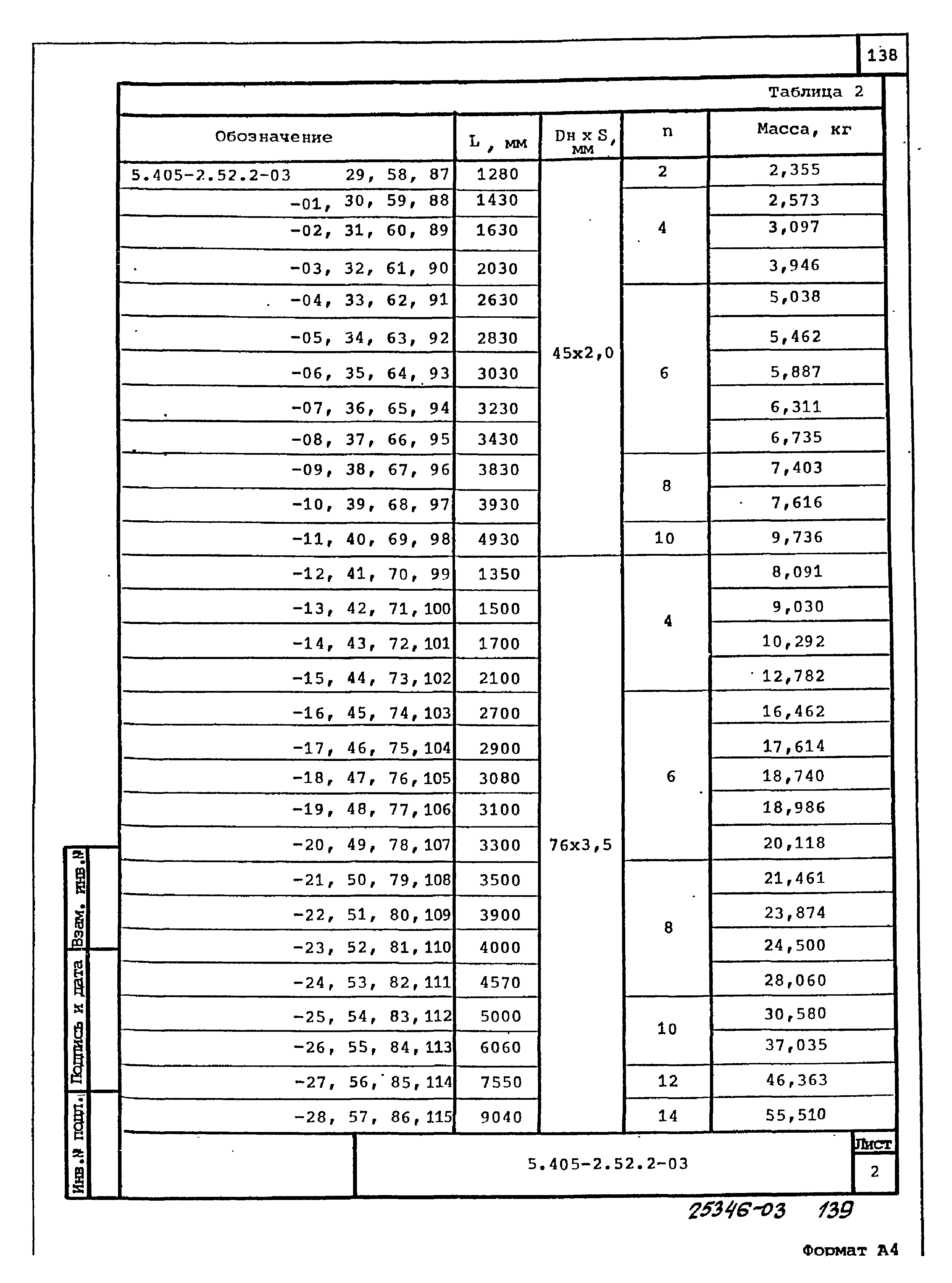
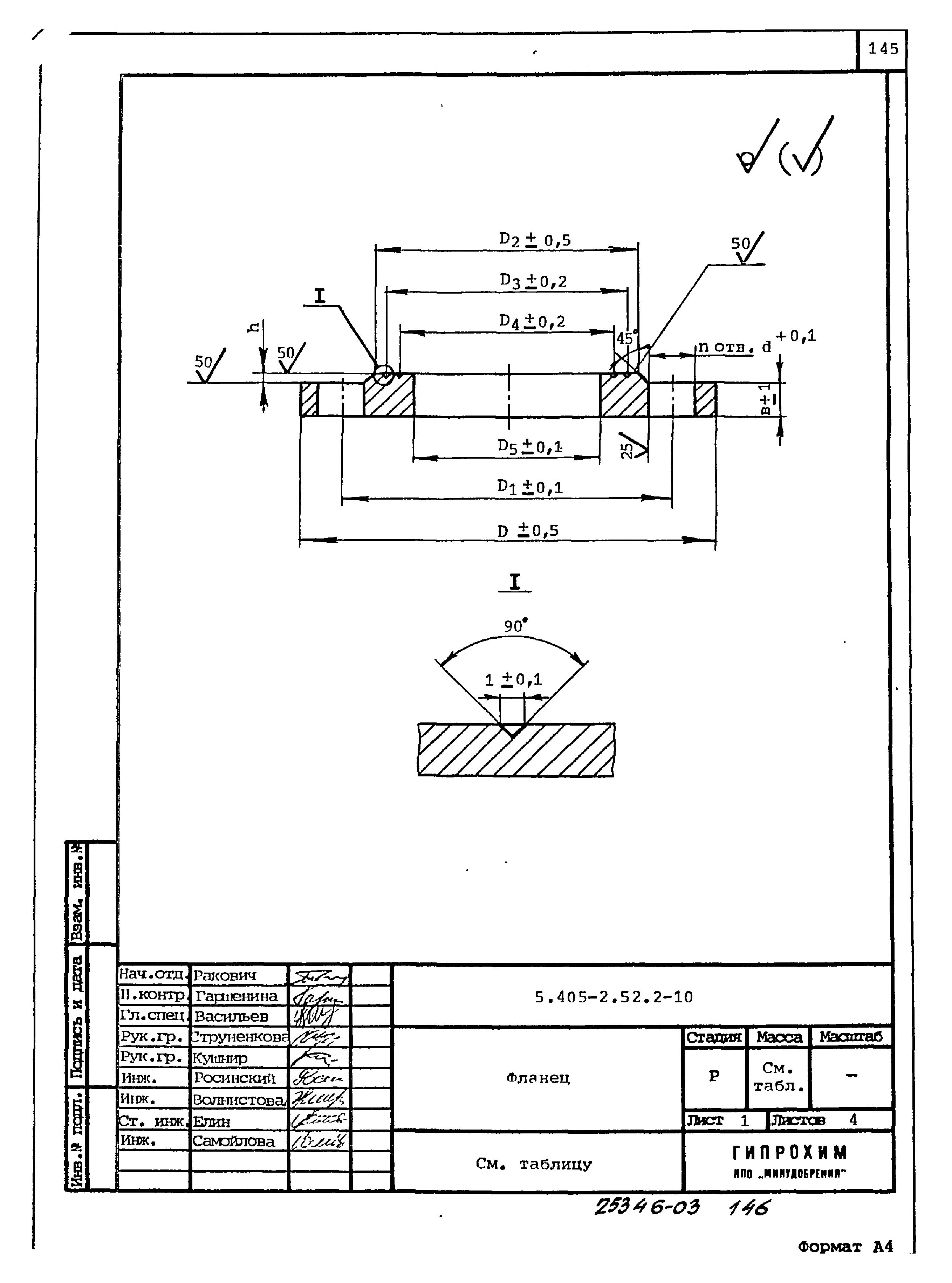
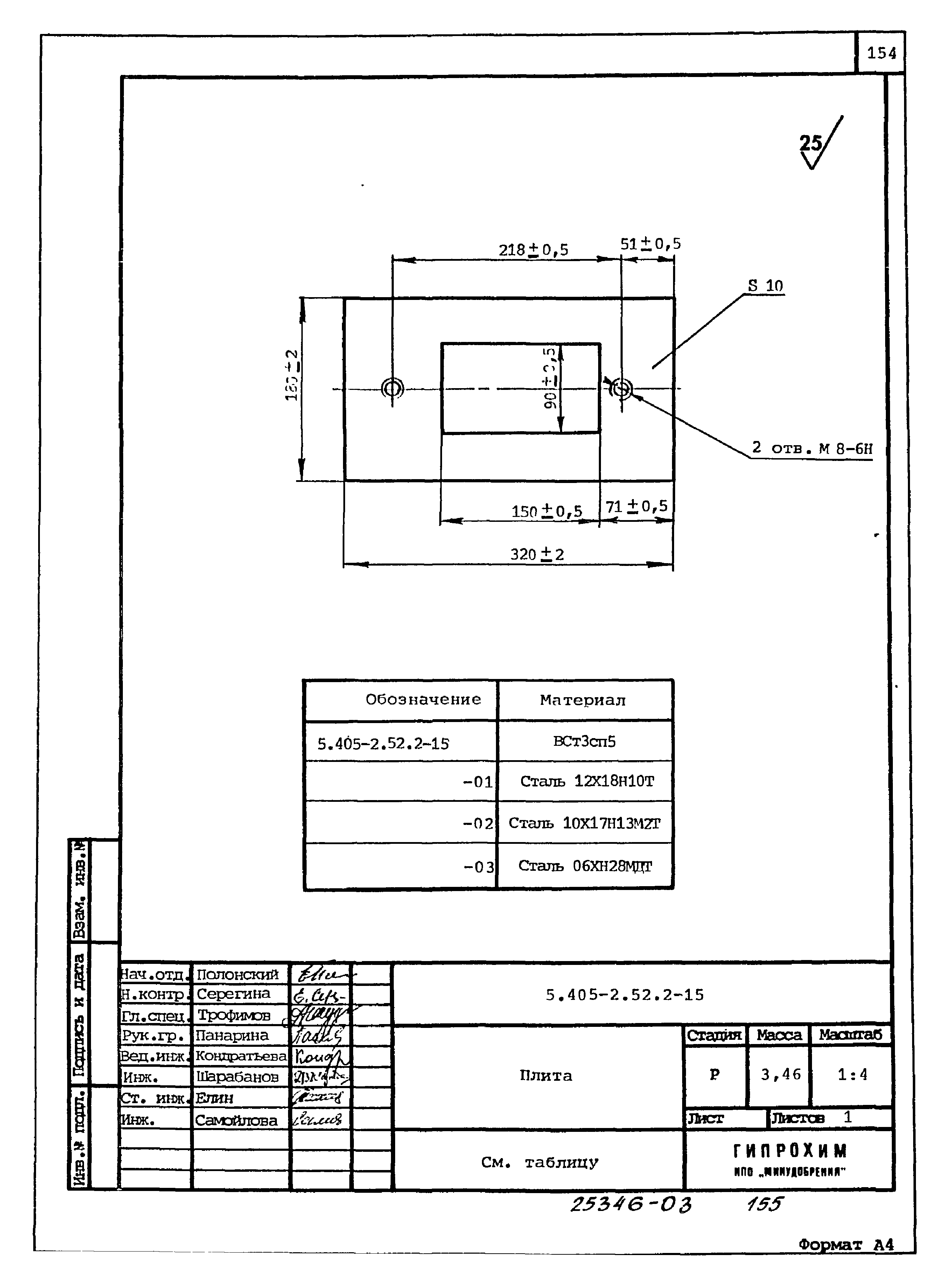
Скачать Серия 5.405-2.52 Выпуск 2. Узлы и детали. Рабочие чертежиДата актуализации: 01.01.2021
|
| Обозначение: | Серия 5.405-2.52 |
| Обозначение англ: | Series 5.405-2.52 |
| Статус: | не определен законодательством |
| Название рус.: | Выпуск 2. Узлы и детали. Рабочие чертежи |
| Дата добавления в базу: | 01.09.2013 |
| Дата актуализации: | 01.01.2021 |
| Дата введения: | 26.07.1988 |
| Дата окончания срока действия: | 30.06.2003 |
| Разработан: | Гипрохим Минудобрений СССР |
| Утверждён: | 25.07.1988 Минудобрений СССР (USSR Minudobreniy 25-192) |
















































































































































































