Скачать Методика проведения инвентаризации выбросов загрязняющих веществ в атмосферу для авторемонтных предприятий (расчетным методом)

Дата актуализации: 01.01.2021

Методика проведения инвентаризации выбросов загрязняющих веществ в атмосферу для авторемонтных предприятий (расчетным методом)

Статус:действует
Название рус.:Методика проведения инвентаризации выбросов загрязняющих веществ в атмосферу для авторемонтных предприятий (расчетным методом)
Дата добавления в базу:01.09.2013
Дата актуализации:01.01.2021
Дата введения:28.10.1998
Область применения:Методика устанавливает порядок расчета выбросов загрязняющих веществ от производственных участков авторемонтных предприятий.
Оглавление:Введение
1 Основные положения
2 Расчет выбросов загрязняющих веществ от передвижных источников
3 Расчет выбросов загрязняющих веществ от различных производственных участков
   3.1 Общие положения
   3.2 Сжигание топлива в котлоагрегатах котельной
   3.3 Нанесение лакокрасочных покрытий
   3.4 Раскройно-заготовительные работы
   3.5 Мойка и очистка деталей, узлов и агрегатов
   3.6 Сварка, наплавка и пайка металлов
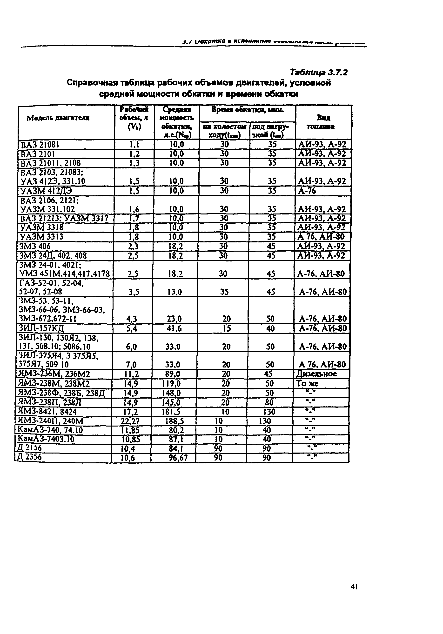
   3.7 Обкатка и испытание двигателей после ремонта
   3.8 Механическая обработка материалов
   3.9 Химическая и электрохимическая обработка металлов
   3.10 Кузнечно-прессовые и термические работы
   3.11 Изготовление изделий из полимерных материалов
   3.12 Испытание и ремонт топливной аппаратуры
Литература
Утверждён:28.10.1998 Министерство транспорта РФ (Russian Federation Ministry of Transport )
Принят:26.08.1998 Государственный Комитет РФ по охране окружающей среды и гидрометеорологии (05-12/16-389)