Скачать ГОСТ 16127-70 Детали стальных трубопроводов. Подвески. Типы и основные размеры

Дата актуализации: 01.01.2021

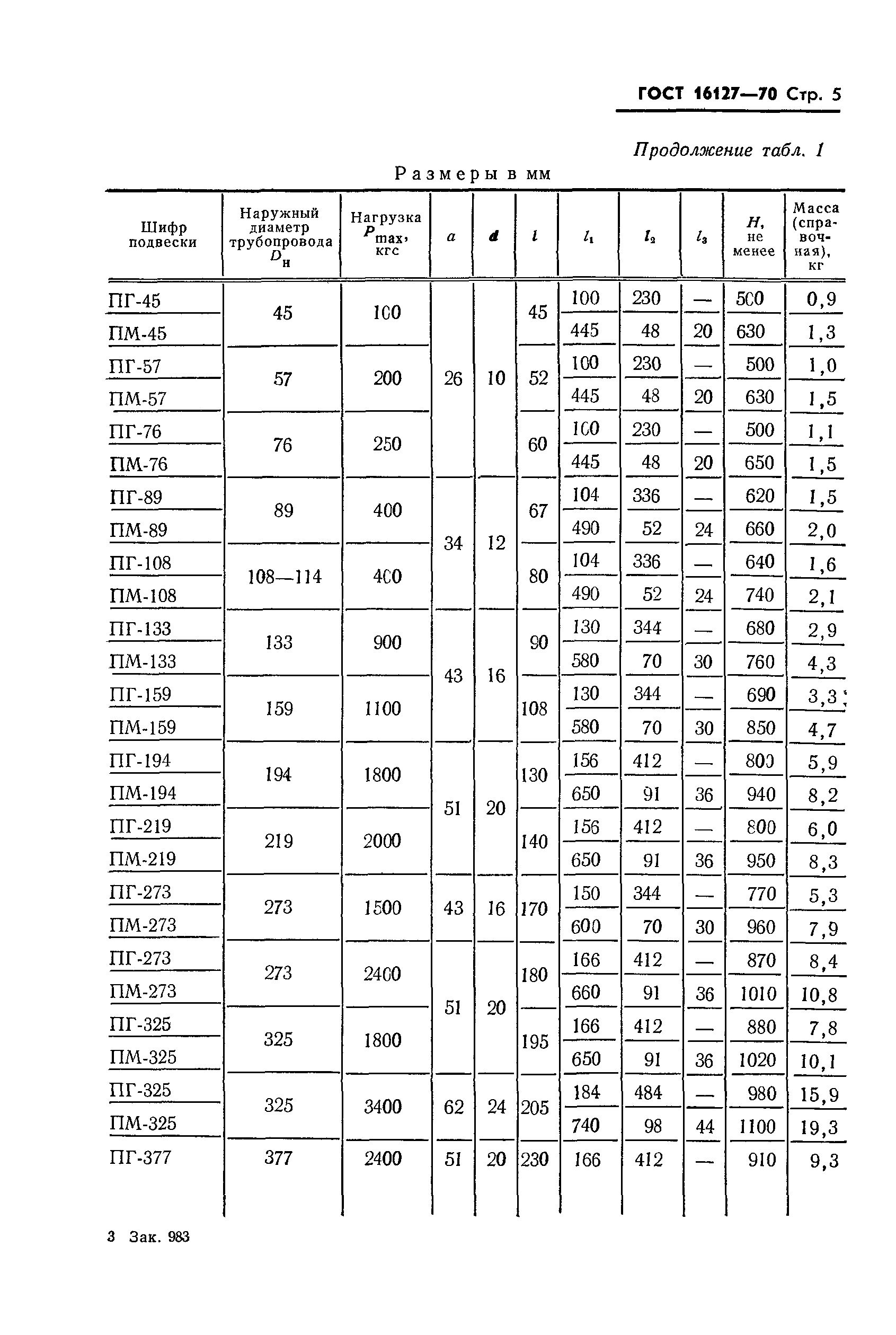
ГОСТ 16127-70

Детали стальных трубопроводов. Подвески. Типы и основные размеры

Обозначение: ГОСТ 16127-70
Обозначение англ: GOST 16127-70
Статус:заменен
Название рус.:Детали стальных трубопроводов. Подвески. Типы и основные размеры
Название англ.:Steel piping details. Hangers. Types and principal dimensions
Дата добавления в базу:01.09.2013
Дата актуализации:01.01.2021
Дата введения:01.04.1971
Дата окончания срока действия:01.07.1979
Область применения:Стандарт распространяется на подвески стальных трубопроводов различного назначения с условным проходом Dy от 25 до 500 мм, транспортирующих рабочую среду с температурой от 0 до плюс 450 °С и давлением Py до 100 кгс/см2, и устанавливает типы и основные размеры этих подвесок. Стандарт не распространяется на подвески магистральных газопроводов, трубопроводов с хладоагентом и внутристанционных трубопроводов электрических станций, а также на подвески для трубопроводов с условным проходом Dy более 500 мм.
Утверждён:23.06.1970 Госстрой СССР (Государственный комитет Совета Министров СССР по делам строительства) (USSR Gosstroy 68)
Издан: Издательство стандартов (1976 г. )
Заменяет собой:
  • МН 3942-62
  • МН 3943-62
  • МН 3944-62
  • МН 3945-62
  • МН 3950-62
  • МН 3951-62
  • МН 3952-62
  • МН 3957-62
  • МН 3959-62
  • МН 3960-62
  • МН 3963-62
  • МН 3965-62
  • МН 3966-62
ГОСТ 16127-70ГОСТ 16127-70ГОСТ 16127-70ГОСТ 16127-70ГОСТ 16127-70ГОСТ 16127-70ГОСТ 16127-70ГОСТ 16127-70ГОСТ 16127-70ГОСТ 16127-70ГОСТ 16127-70ГОСТ 16127-70ГОСТ 16127-70ГОСТ 16127-70ГОСТ 16127-70ГОСТ 16127-70ГОСТ 16127-70ГОСТ 16127-70ГОСТ 16127-70ГОСТ 16127-70ГОСТ 16127-70ГОСТ 16127-70ГОСТ 16127-70ГОСТ 16127-70ГОСТ 16127-70ГОСТ 16127-70ГОСТ 16127-70ГОСТ 16127-70ГОСТ 16127-70