Скачать ТЕР Республика Карелия 2001-20 Вентиляция и кондиционирование воздуха. Территориальные единичные расценки для определения стоимости строительства в Республике КарелияДата актуализации: 01.01.2021
|
| Обозначение: | ТЕР Республика Карелия 2001-20 |
| Обозначение англ: | 2001-20 |
| Статус: | действует |
| Название рус.: | Вентиляция и кондиционирование воздуха. Территориальные единичные расценки для определения стоимости строительства в Республике Карелия |
| Дата добавления в базу: | 01.09.2013 |
| Дата актуализации: | 01.01.2021 |
| Область применения: | Предназначены для определения прямых затрат в сметной стоимости строительных работ на территории Республики Карелия в базисных ценах на 1 января 2000 года при выполнении работ по устройству систем вентиляции, кондиционирования воздуха и воздушного отопления. |
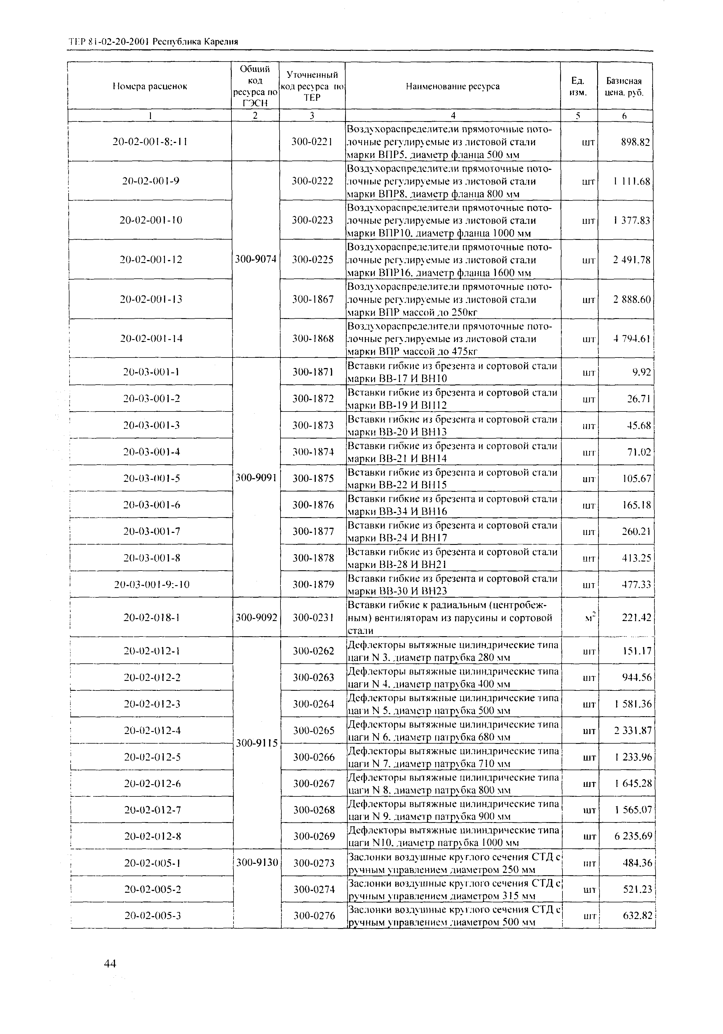
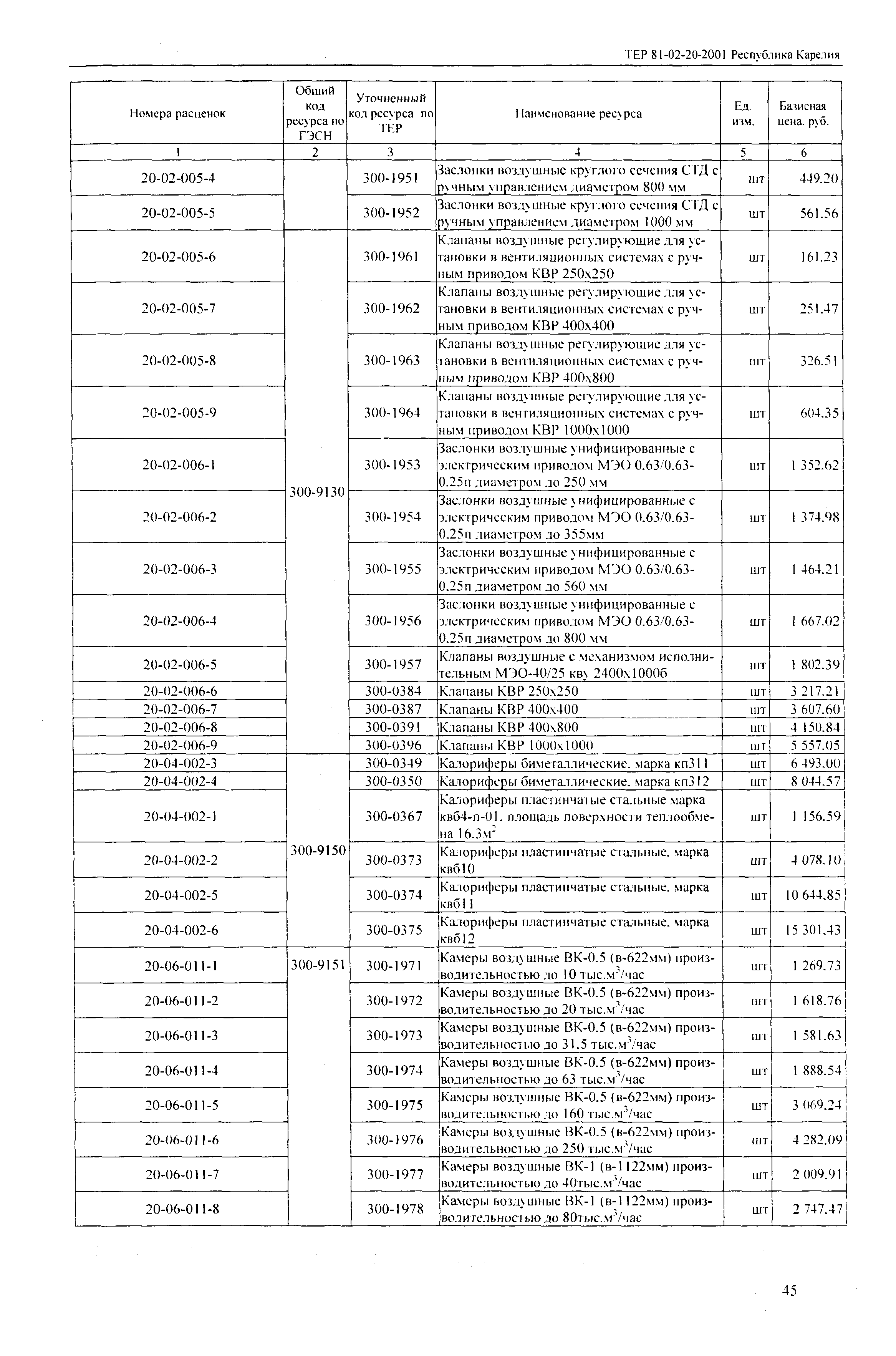
| Оглавление: | Техническая часть 1. Общие указания 2. Правила исчисления объемов работ 3. Коэффициенты к расценкам Раздел 01. Воздуховоды металлические 20-01-001. Прокладка воздуховодов из листовой, оцинкованной стали и алюминия класса Н (нормальные) 20-01-002. Прокладка воздуховодов из листовой, оцинкованной стали и алюминия класса П (плотные) 20-01-003. Прокладка воздуховодов для аэс и тэс из листовой и оцинкованной стали толщиной 1 и 1,2 мм 20-01-004. Прокладка воздуховодов для аэс и тэс из листовой и оцинкованной стали толщиной 1,5 мм 20-01-005. Прокладка воздуховодов для аэс из листовой стали толщиной 1.8 мм и 2 мм Раздел 02. Конструктивные элементы монтажа систем вентиляции и кондиционирования воздуха 20-02-001. Установка воздухораспределителей, предназначенных для подачи воздуха 20-02-002. Установка решеток жалюзийных 20-02-003. Установка решеток жалюзийных стальных 20-02-004. Установка клапанов 20-02-005. Установка заслонок воздушных и клапанов воздушных квр с ручным приводом 20-02-006. Установка заслонок воздушных и клапанов воздушных КВР с электрическим или пневматическим приводом 20-02-007. Установка клапанов воздушных утепленных кву с электрическим или пневматическим приводами 20-02-008. Установка отсосов 20-02-009. Установка зонтов над шахтами из листовой и оцинкованной стали круглого сечения 20-02-010. Установка зонтов над шахтами из листовой и оцинкованной стали прямоугольного сечения 20-02-011. Установка зонтов над оборудованием 20-02-012. Установка дефлекторов 20-02-013. Установка узлов прохода вытяжных вентиляционных шахт 20-02-014. Установка глушителей шума вентиляционных установок трубчатых круглого сечения типа ГТК 20-02-015. Установка глушителей шума вентиляционных установок трубчатых типа гтп 20-02-016. Установка глушителей шума вентиляционных установок пластинчатых 20-02-017. Установка дверей и люков герметических 20-02-018. Установка вставок гибких к радиальным вентиляторам 20-02-019. Установка кронштейнов под вентиляционное оборудование 20-02-020. Установка виброизоляторов Раздел 03. Вентиляторы 20-03-001. Установка вентиляторов радиальных 20-03-002. Установка вентиляторов осевых 20-03-003. Установка вентиляторов крышных 20-03-004. Установка агрегатов вентиляционных пылеулавливающих Раздел 04. Колориферы 20-04-001. Установка агрегатов воздушно-отопительных 20-04-002. Установка калориферов Раздел 05. Фильтрующие устройства 20-05-001. Установка фильтров 20-05-003. Установка циклонов Раздел 06. Кондиционеры 20-06-001. Установка кондиционеров доводчиков эжекционных 20-06-002. Установка камер приточных типовых 20-06-003. Установка камер орошения 20-06-004. Установка фильтров воздушных сетчатых (масляных) 20-06-005. Установка фильтров воздушных (сухих) 20-06-006. Установка воздухонагревателей для обводного канала однорядных 20-06-007. Установка воздухонагревателей для обводного канала двухрядных 20-06-008. Установка воздухонагревателей без обводного канала однорядных 20-06-009. Установка воздухонагревателей без обводного канала двухрядных 20-06-010. Установка камер обслуживания 20-06-011. Установка камер воздушных 20-06-012. Установка клапанов воздушных 20-06-013. Установка блоков тепломассообмена 20-06-014. Присоединение трубопроводов к оросительной системе блока тепломассобмена 20-06-015. Установка агрегатов вентиляторных 20-06-016. Установка блоков присоединительных 20-06-017. Установка блоков приемных Приложение Сметные расценки на эксплуатацию строительных машин Сметные цены на материалы, изделия и конструкции Часовая оплата труда рабочих, занятых в строительстве и ремонтно-строительных работах с нормальными условиями труда Таблица замены кодов |
| Разработан: | РЦЦС Республики Карелия |
| Утверждён: | 22.12.2003 Правительство Республики Карелия (450р-П) |
| Издан: | Госстрой Республики Карелия (2003 г. ) |
| Список изменений: |
|
| Заменяет собой: |

























































Текстовое изменение № от 17.12.2004









Текстовое изменение № от 29.11.2005










