Скачать Типовой проект 407-1-95.91 Альбом 4. Нестандартизированные изделияДата актуализации: 01.01.2021
|
| Обозначение: | Типовой проект 407-1-95.91 |
| Обозначение англ: | 407-1-95.91 |
| Статус: | не определен законодательством |
| Название рус.: | Альбом 4. Нестандартизированные изделия |
| Дата добавления в базу: | 01.09.2013 |
| Дата актуализации: | 01.01.2021 |
| Дата введения: | 08.05.1991 |
| Дата окончания срока действия: | 30.06.2003 |
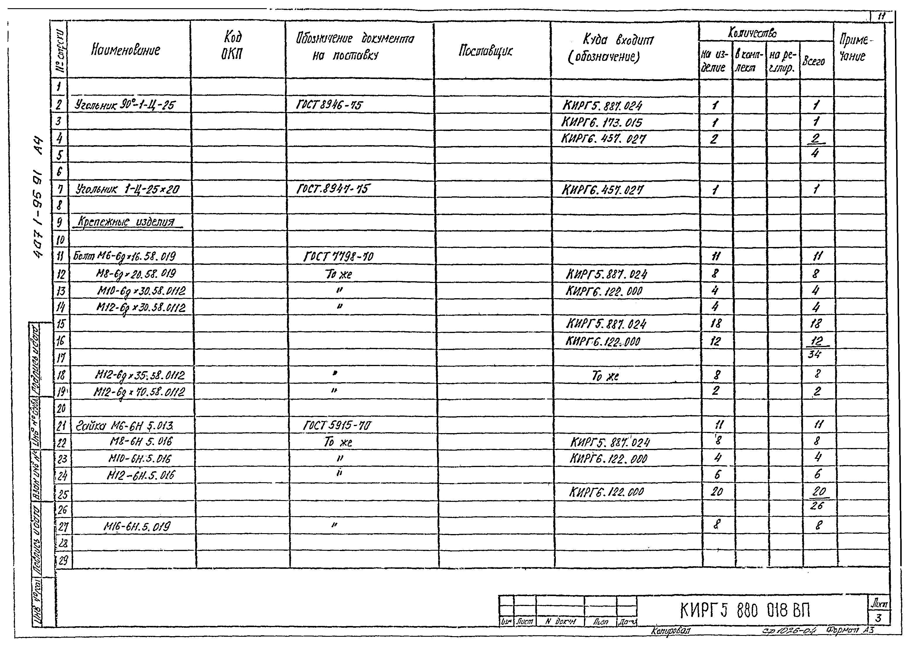
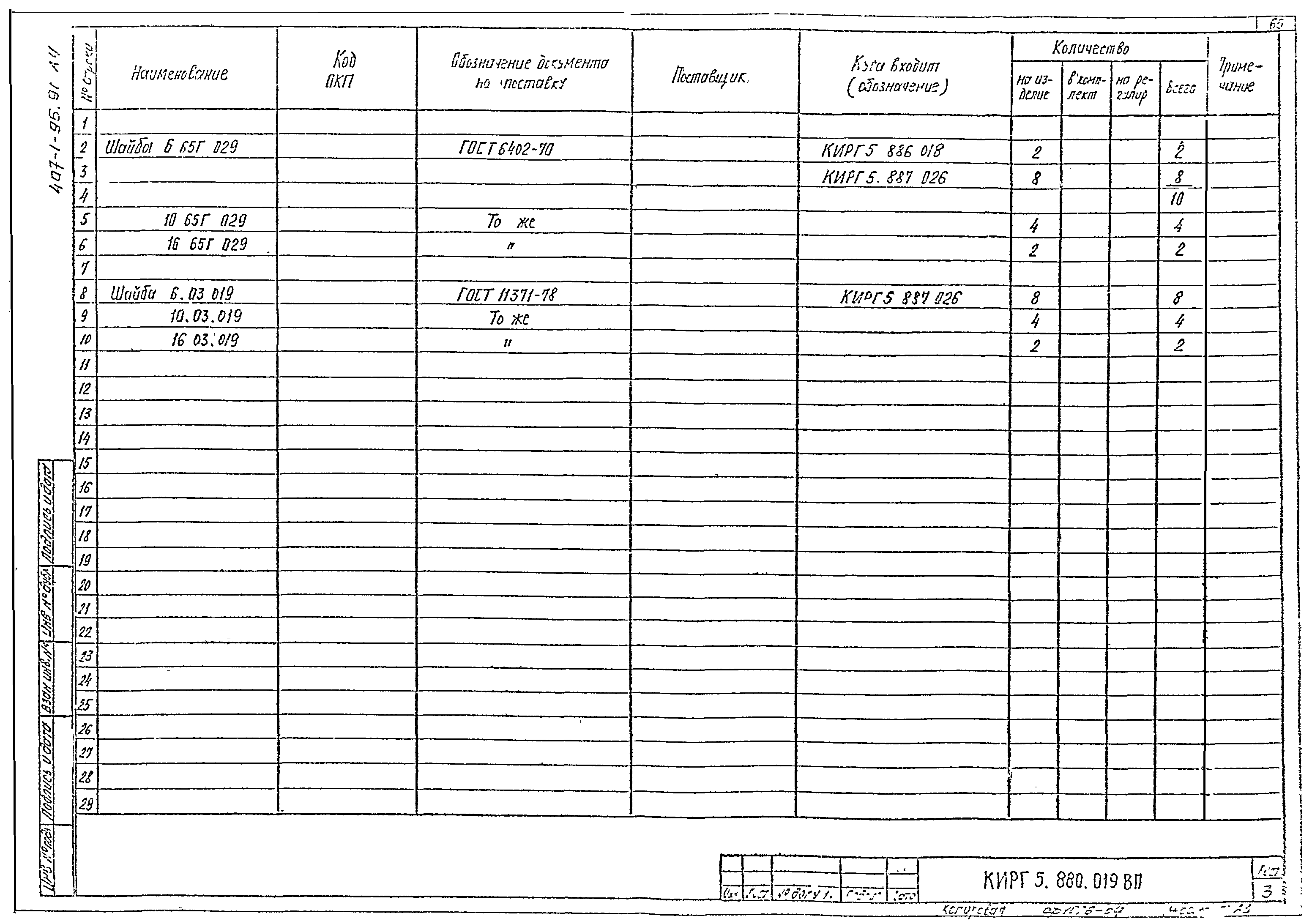
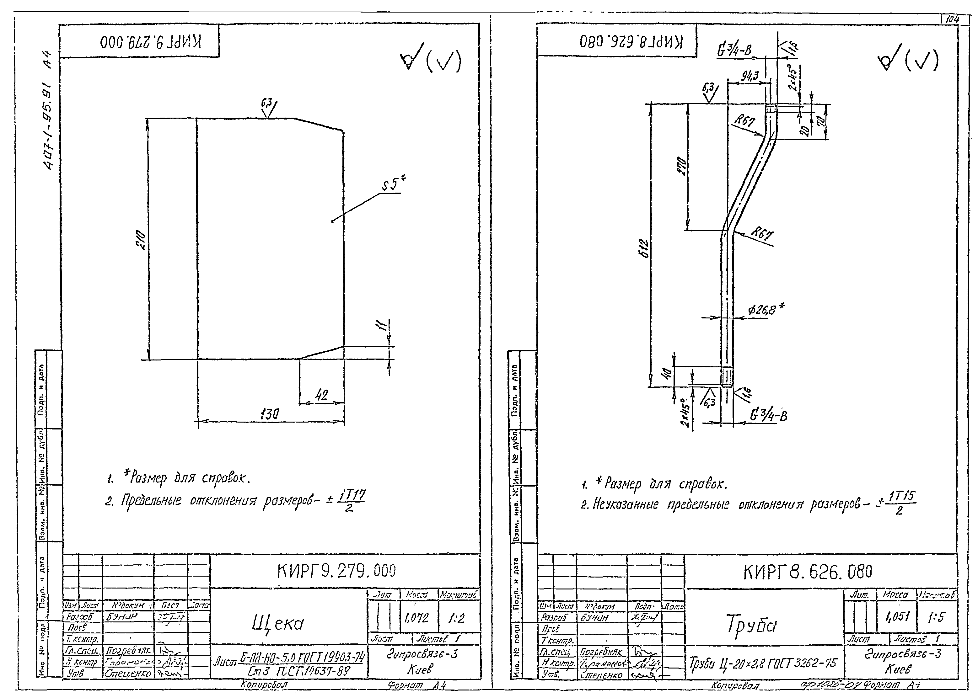
| Оглавление: | Содержание КИРГ 5.880.018 Система топливная с баком емкостью 100 литров. Спецификация КИРГ 5.880.018 СБ Система топливная с баком емкостью 100 литров. Сборочный чертеж КИРГ 5.880.018 Г4 Система топливная с баком емкостью 100 литров. Схема гидравлическая соединений КИРГ 5.880.018 ВП Система топливная с баком емкостью 100 литров. Ведомость покупных изделий КИРГ 8.667.000 Скоба КИРГ 8.667.001 Скоба КИРГ 8.667.002 Скоба КИРГ 8.927.019 Ерш КИРГ 5.887.024 Бак. Спецификация КИРГ 5.887.024 СБ Бак. Сборочный чертеж КИРГ 8.683.002 Прокладка КИРГ 8.683.003 Прокладка КИРГ 5.886.015 Фильтр для заливки. Спецификация КИРГ 5.886.015 СБ Фильтр для заливки. Сборочный чертеж КИРГ 8.034.016 Корпус фильтра КИРГ 5.886.016 Фильтр расходный. Спецификация КИРГ 5.886.016 СБ Фильтр расходный. Сборочный чертеж КИРГ 8.683.004 Кольцо уплотнительное КИРГ 8.934.000 Гайка накидная КИРГ 5.886.017 Фильтр. Спецификация КИРГ 5.886.017 СБ Фильтр. Сборочный чертеж КИРГ 8.034.017 Корпус фильтра КИРГ 8.663.000 Кольцо КИРГ 5.887.025 Бак. Спецификация КИРГ 5.887.025 СБ Бак. Сборочный чертеж КИРГ 8.613.000 Стенка КИРГ 8.613.001 Стенка КИРГ 8.613.002 Стенка КИРГ 8.613.003 Дно КИРГ 8.626.066 Труба КИРГ 8.626.067 Труба КИРГ 9.280.006 Бобышка КИРГ 9.300.002 Патрубок КИРГ 9.300.003 Патрубок КИРГ 9.300.004 Патрубок КИРГ 6.173.015 Крышка. Спецификация КИРГ 6.173.015СБ Крышка. Сборочный чертеж КИРГ 8.054.000 Крышка КИРГ 8.679.000 Ручка КИРГ 6.122.000 Рама. Спецификация КИРГ 6.122.000 СБ Рама. Сборочный чертеж КИРГ 8.604.000 Накладка КИРГ 8.604.001 Накладка КИРГ 8.665.013 Уголок КИРГ 8.667.003 Скоба КИРГ 6.122.001 Рама верхняя. Спецификация КИРГ 6.122.001 СБ Рама верхняя. Сборочный чертеж КИРГ 8.094.000 Консоль КИРГ 8.120.000 Стойка КИРГ 8.604.002 Косынка КИРГ 8.604.003 Косынка КИРГ 8.604.004 Накладка КИРГ 8.604.005 Накладка КИРГ 8.665.014 Уголок КИРГ 6.122.002 Рама нижняя. Спецификация КИРГ 8.604.006 Косынка КИРГ 6.122.002 СБ Рама нижняя. Сборочный чертеж КИРГ 8.604.007 Косынка КИРГ 8.610.000 Пластина КИРГ 8.665.015 Уголок КИРГ 8.665.016 Уголок КИРГ 8.665.017 Уголок КИРГ 8.665.018 Уголок КИРГ 8.665.019 Уголок КИРГ 8.665.020 Уголок КИРГ 6.150.000 Стойка. Спецификация КИРГ 6.150.000 СБ Стойка. Сборочный чертеж КИРГ 8.120.001 Стойка КИРГ 8.600.010 Подкладка КИРГ 6.457.027 Трубопровод нагнетательный. Спецификация КИРГ 6.457.027 СБ Трубопровод нагнетательный. Сборочный чертеж КИРГ 8.626.068 Труба КИРГ 8.626.069 Труба КИРГ 8.626.070 Труба КИРГ 8.626.071 Труба КИРГ 6.457.028 Трубопровод сливной. Спецификация КИРГ 6.457.028 СБ Трубопровод сливной. Сборочный чертеж КИРГ 8.626.072 Труба КИРГ 6.457.029 Трубопровод переливной. Спецификация КИРГ 6.457.029 СБ Трубопровод переливной. Сборочный чертеж КИРГ 8.626.073 Труба КИРГ 6.457.030 Трубопровод расходный. Спецификация КИРГ 6.457.030 СБ Трубопровод расходный. Сборочный чертеж КИРГ 8.626.074 Труба КИРГ 8.626.075 Труба КИРГ 5.880.019 Система масляная с баком емкостью 500 литров. Спецификация КИРГ 5.880.019Г4 Система масляная с баком емкостью 500 литров. Схема гидравлических соединений КИРГ 5.880.019 СБ Система масляная с баком емкостью 500 литров. Сборочный чертеж КИРГ 5.880.019 ВП Система масляная с баком емкостью 500 литров. Ведомость покупных изделий КИРГ 8.610.001 Полоса КИРГ 8.626.076 Труба КИРГ 8.626.077 Труба КИРГ 8.626.078 Труба КИРГ 5.887.026 Бак для масла. Спецификация КИРГ 5.887.026 СБ Бак для масла. Сборочный чертеж КИРГ 8.683.005 Прокладка КИРГ 5.886.018 Фильтр сетчатый. Спецификация КИРГ 5.886.018 СБ Фильтр сетчатый. Сборочный чертеж КИРГ 8.665.023 Хомут КИРГ 6.112.000 Корпус фильтра. Спецификация КИРГ 6.112.000 СБ Корпус фильтра. Сборочный чертеж КИРГ 8.034.018 Обечайка КИРГ 8.613.004 Стенка КИРГ 8.613.005 Дно КИРГ 5.887.027 Бак. Спецификация КИРГ 5.887.027 СБ Бак. Сборочный чертеж КИРГ 8.613.006 Стенка КИРГ 8.613.007 Стенка КИРГ 8.613.008 Стенка КИРГ 8.613.009 Стенка КИРГ 8.613.010 Дно КИРГ 9.300.005 Патрубок КИРГ 9.300.006 Патрубок КИРГ 9.300.007 Патрубок КИРГ 6.173.016 Крышка. Спецификация КИРГ 6.173.016 СБ Крышка. Сборочный чертеж КИРГ 8.054.001 Крышка КИРГ 6.150.001 Подставка. Спецификация КИРГ 6.150.001 СБ Подставка. Сборочный чертеж КИРГ 8.665.024 Уголок КИРГ 8.667.004 Лапка КИРГ 5.880.020 Система с баком для воды 250 литров. Спецификация КИРГ 5.880.020 СБ Система с баком для воды 250 литров. Сборочный чертеж КИРГ 5.880.020 ВП Система с баком для воды 250 литров. Ведомость покупных изделий КИРГ 8.667.005 Скоба КИРГ 8.667.006 Скоба КИРГ 5.887.028 Бак. Спецификация КИРГ 5.887.028 СБ Бак. Сборочный чертеж КИРГ 5.887.029 Бак. Спецификация КИРГ 5.887.029 Бак. Сборочный чертеж КИРГ 8.604.008 Накладка КИРГ 8.030.006 Обечайка КИРГ 8.613.011 Стенка КИРГ 8.626.079 Труба КИРГ 8.927.020 Шпилька КИРГ 9.300.008 Патрубок КИРГ 6.173.017 Крышка. Спецификация КИРГ 6.173.017 СБ Крышка. Сборочный чертеж КИРГ 8.249.000 Кольцо КИРГ 8.679.001 Ручка КИРГ 6.122.003 Рама. Спецификация КИРГ 8.120.002 Стойка КИРГ 6.122.003 Рама. Сборочный чертеж КИРГ 8.604.009 Косынка КИРГ 8.620.010 Подкос КИРГ 8.665.025 Уголок КИРГ 8.665.026 Уголок КИРГ 8.665.027 Уголок КИРГ 8.665.028 Уголок КИРГ 8.665.029 Уголок КИРГ 8.665.030 Уголок КИРГ 9.279.000 Щека КИРГ 8.626.080 Труба КИРГ 6.457.031 Трубопровод нагнетательный, всасывающий и расходный. Спецификация КИРГ 8.457.031 СБ Трубопровод нагнетательный, всасывающий и расходный. Сборочный чертеж КИРГ 8.626.081 Труба КИРГ 8.626.082 Труба КИРГ 8.626.083 Труба КИРГ 9.300.009 Патрубок КИРГ 6.457.032 Трубопровод переливной. Спецификация КИРГ 6.457.032 СБ Трубопровод переливной. Сборочный чертеж КИРГ 8.626.084 Труба КИРГ 6.457.033 Трубопровод сливной. Спецификация КИРГ 6.457.033 СБ Трубопровод сливной. Сборочный чертеж КИРГ 8.626.085 Труба КИРГ 6.126.000 Опора для выхлопного трубопровода. Спецификация КИРГ 6.126.000 СБ Опора для выхлопного трубопровода. Сборочный чертеж КИРГ 8.616.002 Стропка КИРГ 8.616.003 Стяжка КИРГ 8.665.031 Хомут КИРГ 8.667.007 Скоба КИРГ 6.400.000 Амортизатор. Спецификация КИРГ 6.400.000 СБ Амортизатор. Сборочный чертеж КИРГ 8.034.019 Корпус КИРГ 8.054.002 Крышка КИРГ 8.126.000 Стержень КИРГ 8.227.000 Втулка КИРГ 8.362.000 Фиксатор КИРГ 8.639.000 Амортизатор КИРГ 8.942.000 Шайба КИРГ 8.942.001 Шайба КИРГ 6.133.002 Кронштейн крепления вытяжного трубопровода. Спецификация КИРГ 6.133.002 СБ Кронштейн крепления вытяжного трубопровода. Сборочный чертеж КИРГ 8.600.011 Планка КИРГ 8.604.010 Косынка КИРГ 8.623.000 Швеллер КИРГ 8.667.008 Скоба КИРГ 5.887.030 Бак перелива масла емкостью 100 литров. Спецификация КИРГ 5.887.030 СБ Бак перелива масла емкостью 100 литров. Сборочный чертеж КИРГ 8.030.007 Обечайка КИРГ 8.613.012 Стенка КИРГ 8.656.000 Пробка КИРГ 8.683.006 Прокладка КИРГ 9.300.010 Горловина КИРГ 9.300.011 Патрубок КИРГ 6.451.000 Наконечник вентиляционный. Спецификация КИРГ 6.451.000 СБ Наконечник вентиляционный. Сборочный чертеж КИРГ 9.300.012 Патрубок КИРГ 9.300.013 Патрубок КИРГ 8.231.003 Фланец КИРГ 8.683.007 Прокладка КИРГ 8.620.011 Ребро КИРГ 8.626.080 Труба КИРГ 9.300.014 Патрубок |
| Разработан: | Гипросвязь - 3 |
| Утверждён: | 24.04.1991 Министерство связи СССР |




































































































































