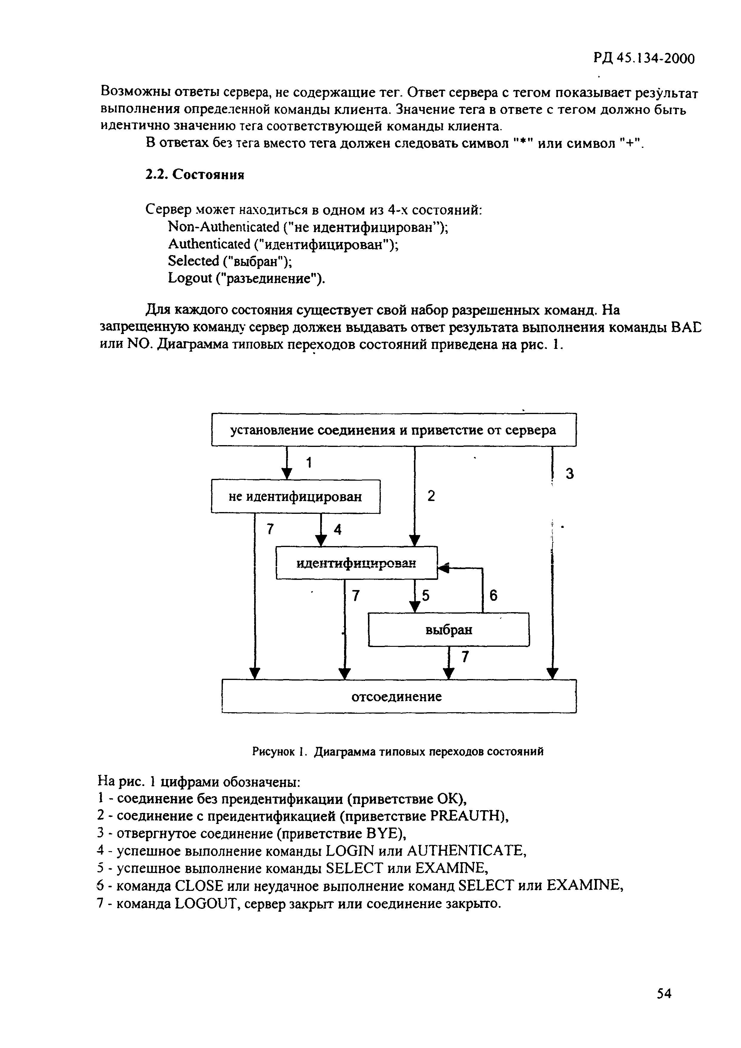
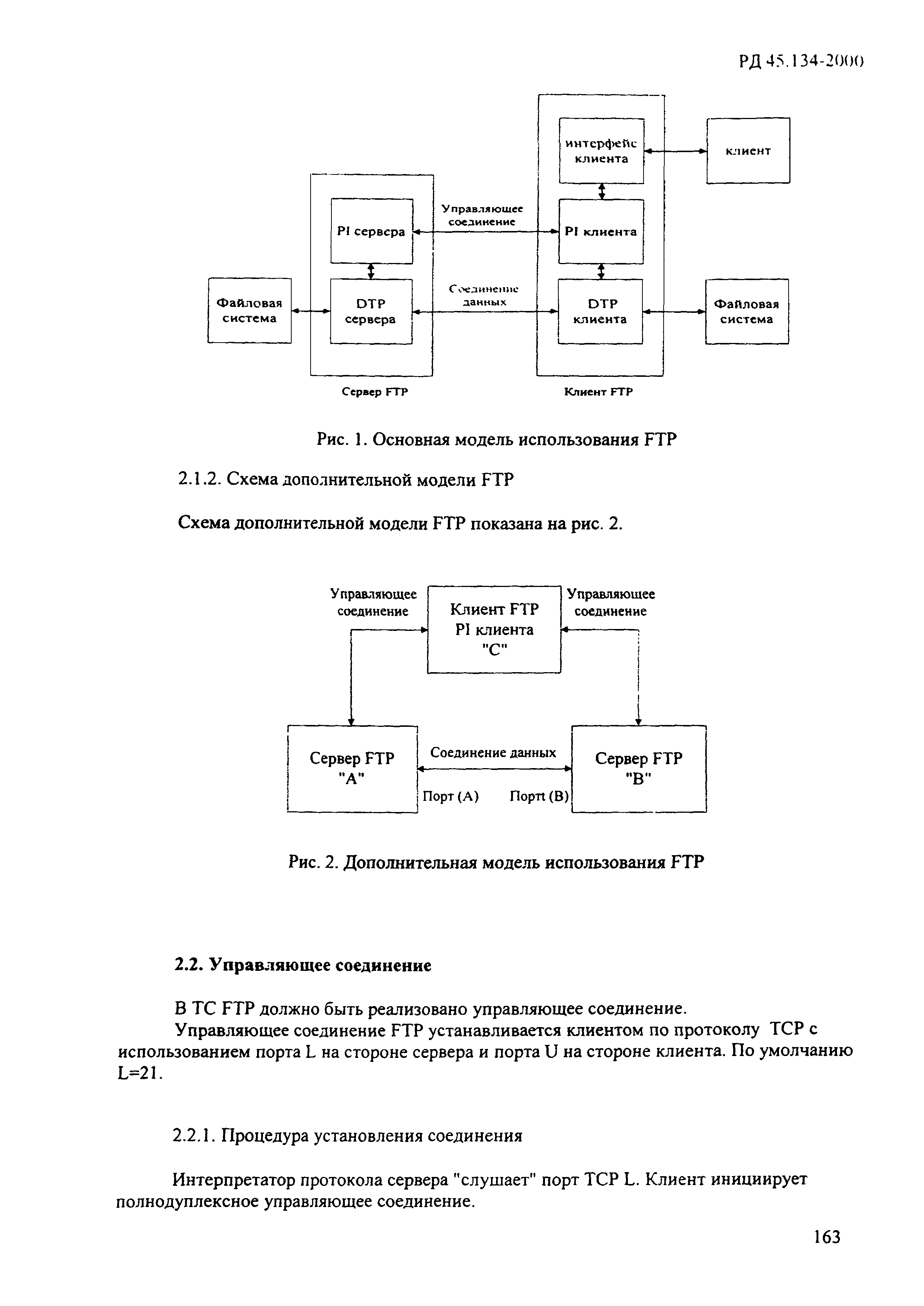
Скачать РД 45.134-2000 Средства технические телематических служб. Общие технические требованияДата актуализации: 01.01.2021
|
| Обозначение: | РД 45.134-2000 |
| Обозначение англ: | RD 45.134-2000 |
| Статус: | введен впервые |
| Название рус.: | Средства технические телематических служб. Общие технические требования |
| Дата добавления в базу: | 01.09.2013 |
| Дата актуализации: | 01.01.2021 |
| Дата введения: | 14.07.2000 |
| Область применения: | Требования предназначены для руководства при проведении сертификационных испытаний и инспекционного контроля в системе «Электросвязь» технических средств телематических служб. |
| Оглавление: | 1 Область применения 2 Нормативные ссылки 3 Обозначения и сокращения 4 Технические требования 5 Требования к техническому обеспечению 6 Требования к надежности и достоверности 7 Требования к диагностике 8 Требования к электропитанию 9 Требования к электробезопасности и электромагнитной совместимости 10 Требования по устойчивости к климатическим факторам 11 Требования к документации Приложение 1. Технические требования к техническим средствам службы электронной почты по протоколу smtp Приложение 2. Технические требования к техническим средствам службы электронной почты по протоколу рор3 Приложение 3. Технические требования к техническим средствам службы электронной почты по протоколу imap4 Приложение 4. Технические требования к техническим средствам службы доменных имен протоколу dns Приложение 5. Технические требования к техническим средствам службы доступа к информационным ресурсам по протоколу http Приложение 6. Технические требования к техническим средствам службы доступа к информационным ресурсам по протоколу nntp Приложение 7. Технические требования к техническим средствам службы доступа к информационным ресурсам по протоколу ftp |
| Разработан: | АДЭ (Ассоциация Документальной Электросвязи) ИЦ ДЭС (испытательный центр документальной электросвязи) Испытательный центр ЦНИИС |
| Утверждён: | 26.06.2000 Министерство РФ по связи и информатизации (Russian Federation Ministry of Communications and Information Technologies ) |
| Принят: | 23.06.2000 Департамент электросвязи |





















































































































































































