Скачать РД 39-Р-088-91 Инструкция по определению температурного режима вечномерзлых и сезонномерзлых грунтов и прогнозированию последствий изменения тепловых условий на поверхностиДата актуализации: 01.01.2021
|
| Обозначение: | РД 39-Р-088-91 |
| Обозначение англ: | RD 39-Р-088-91 |
| Статус: | не действует |
| Название рус.: | Инструкция по определению температурного режима вечномерзлых и сезонномерзлых грунтов и прогнозированию последствий изменения тепловых условий на поверхности |
| Дата добавления в базу: | 01.09.2013 |
| Дата актуализации: | 01.01.2021 |
| Дата введения: | 01.05.1991 |
| Дата окончания срока действия: | 01.05.1996 |
| Область применения: | Инструкция служит для прогнозирования температурного режима вечномерзлых и сезонномерзлых грунтов при изменении условий теплообмена на поверхности в процессе хозяйственного освоения территории и предназначена для сотрудников проектных и научно-исследовательских институтов, занимающихся проектированием обустройства нефтяных месторождений. В инструкции изложены вывод и обоснование численного метода расчета температурного режима и рассматривается приближенный способ расчета, основанный на методе смены стационарных состояний. |
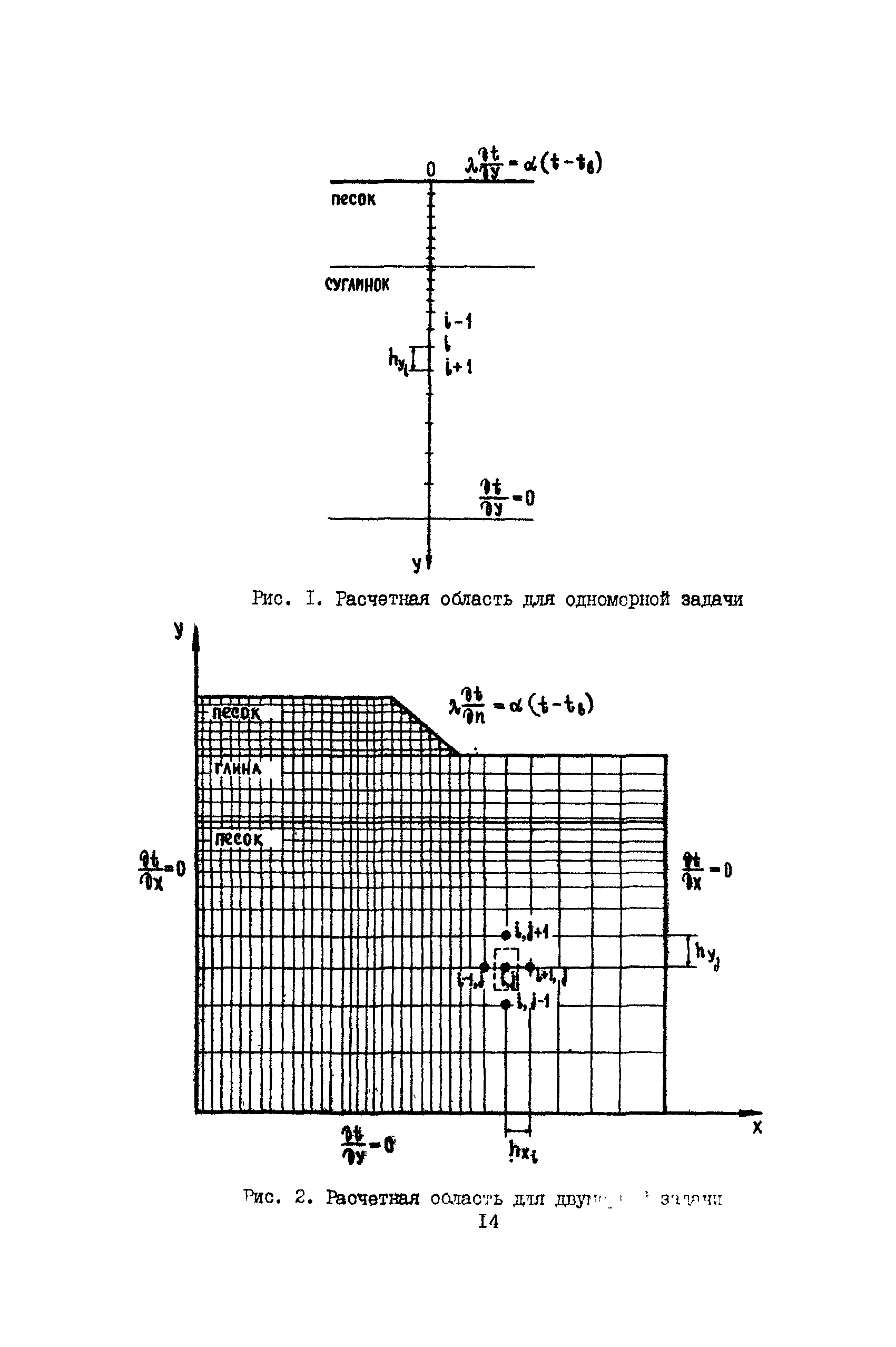
| Оглавление: | 1 Общие положения 2 Численный метод расчета. Вывод и обоснование 2.1 Постановка задачи 2.2 Вывод уравнения 2.3 Некоторые замечания 2.4 Способ решения 2.5 Схема решения одномерной задачи 2.6 Схема решения двумерной задачи 2.7 Контроль точности решения 2.8 Поверхностные условия 2.9 Замечания по реализации 3 Приближенный метод расчета температурного режима грунта 3.1 Общее описание 3.2 Безразмерные параметры и переменные 3.3 Изменение температуры воздуха 3.4 Вычисление значений температур 3.5 Определение глубины промерзания 3.6 Определение минимальных температур Приложение 1 Текст программы решения одномерной задачи Приложение 2 Текст программы решения двумерной задачи Приложение 3 Пример расчета температурного режима грунта |
| Разработан: | Гипротюменнефтегаз Миннефтепрома (Giprotyumenneftegaz, Minnefteprom ) |
| Утверждён: | 26.12.1990 Главтюменнефтегаз (Glavtyumenneftegaz ) |
| Издан: | Ротапринт Гипротюменнефтегаза (1991 г. ) |















































