Скачать ИМ 14-28-00 Соединители низкочастотные. Номенклатурный справочникДата актуализации: 01.01.2021
|
| Обозначение: | ИМ 14-28-00 |
| Обозначение англ: | 14-28-00 |
| Статус: | действует |
| Название рус.: | Соединители низкочастотные. Номенклатурный справочник |
| Дата добавления в базу: | 01.09.2013 |
| Дата актуализации: | 01.01.2021 |
| Область применения: | В справочнике приведены основные характеристики изделий |
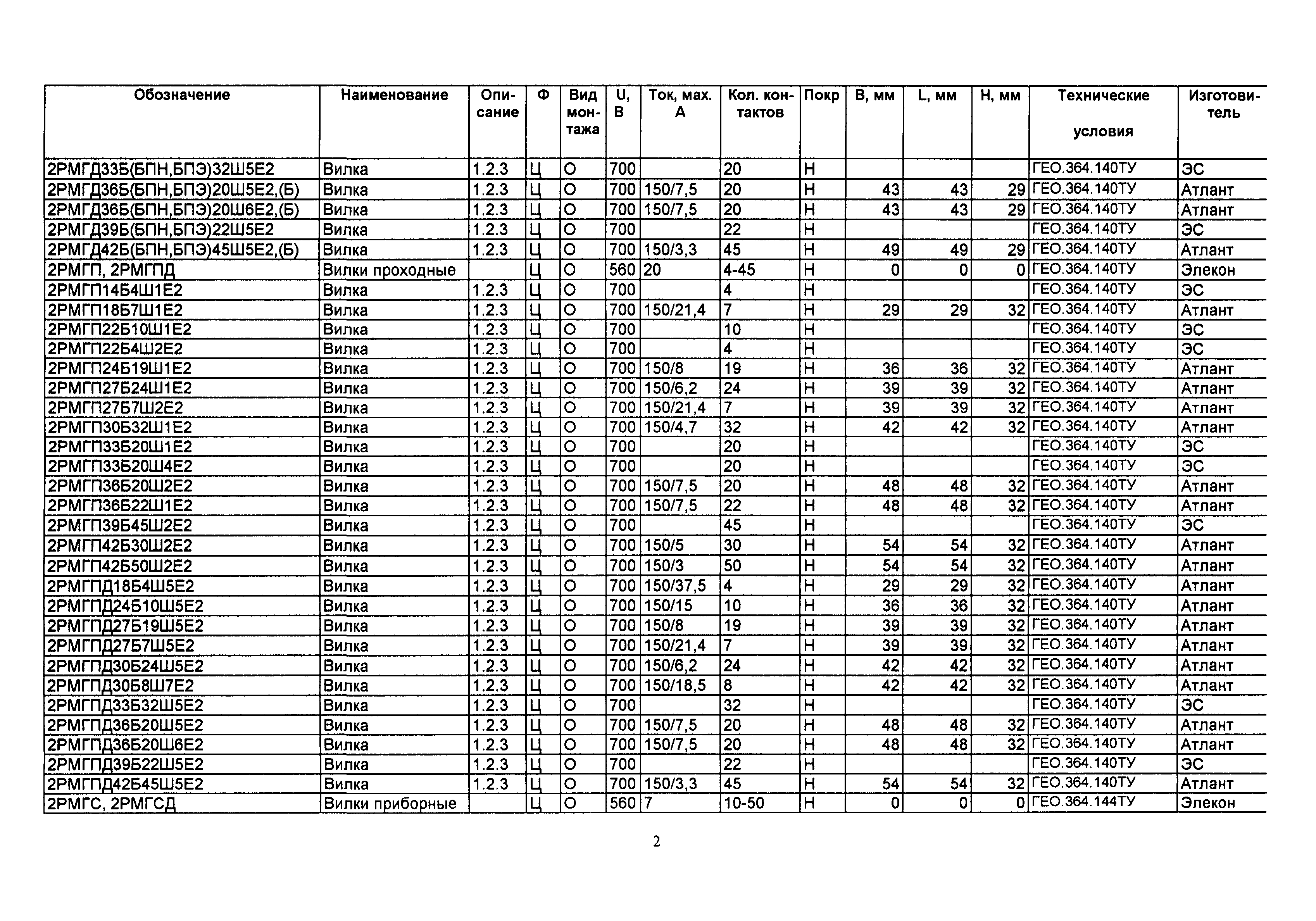
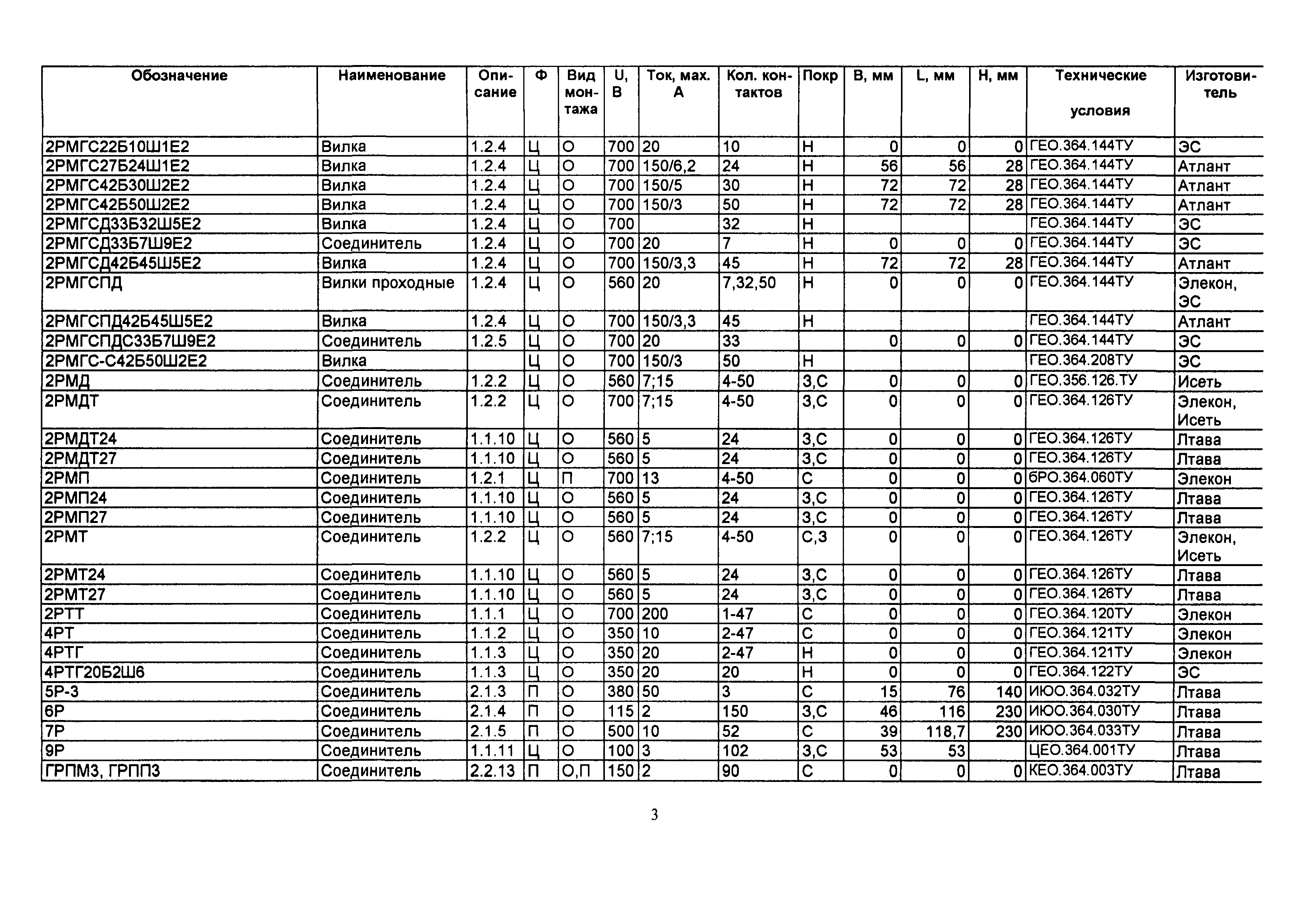
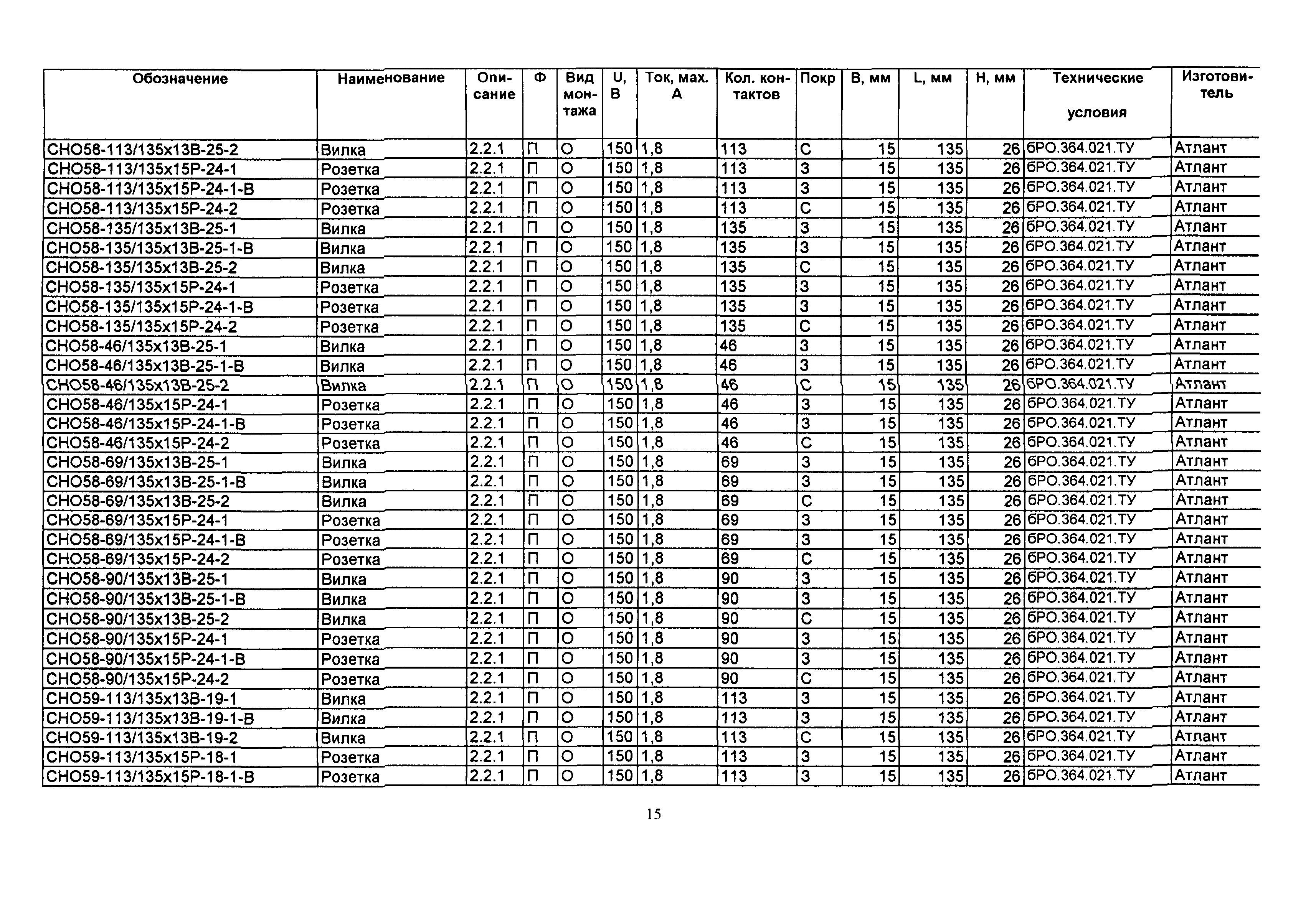
| Оглавление: | Алфавитный указатель 1. Соединители низкочастотные на напряжение до 1500 В, цилиндрические 2. Соединители низкочастотные на напряжение до 1500 В, прямоугольные Адреса и телефоны заводов-изготовителей |
| Разработан: | ООО Норма-РТМ |
| Издан: | ООО Норма-РТМ (2000 г. ) |












































































