Скачать Часть V. Материалы, изделия и конструкции для монтажных и специальных строительных работДата актуализации: 01.01.2021 |
| Статус: | действует |
| Название рус.: | Часть V. Материалы, изделия и конструкции для монтажных и специальных строительных работ |
| Дата добавления в базу: | 01.09.2013 |
| Дата актуализации: | 01.01.2021 |
| Дата введения: | 01.09.2003 |
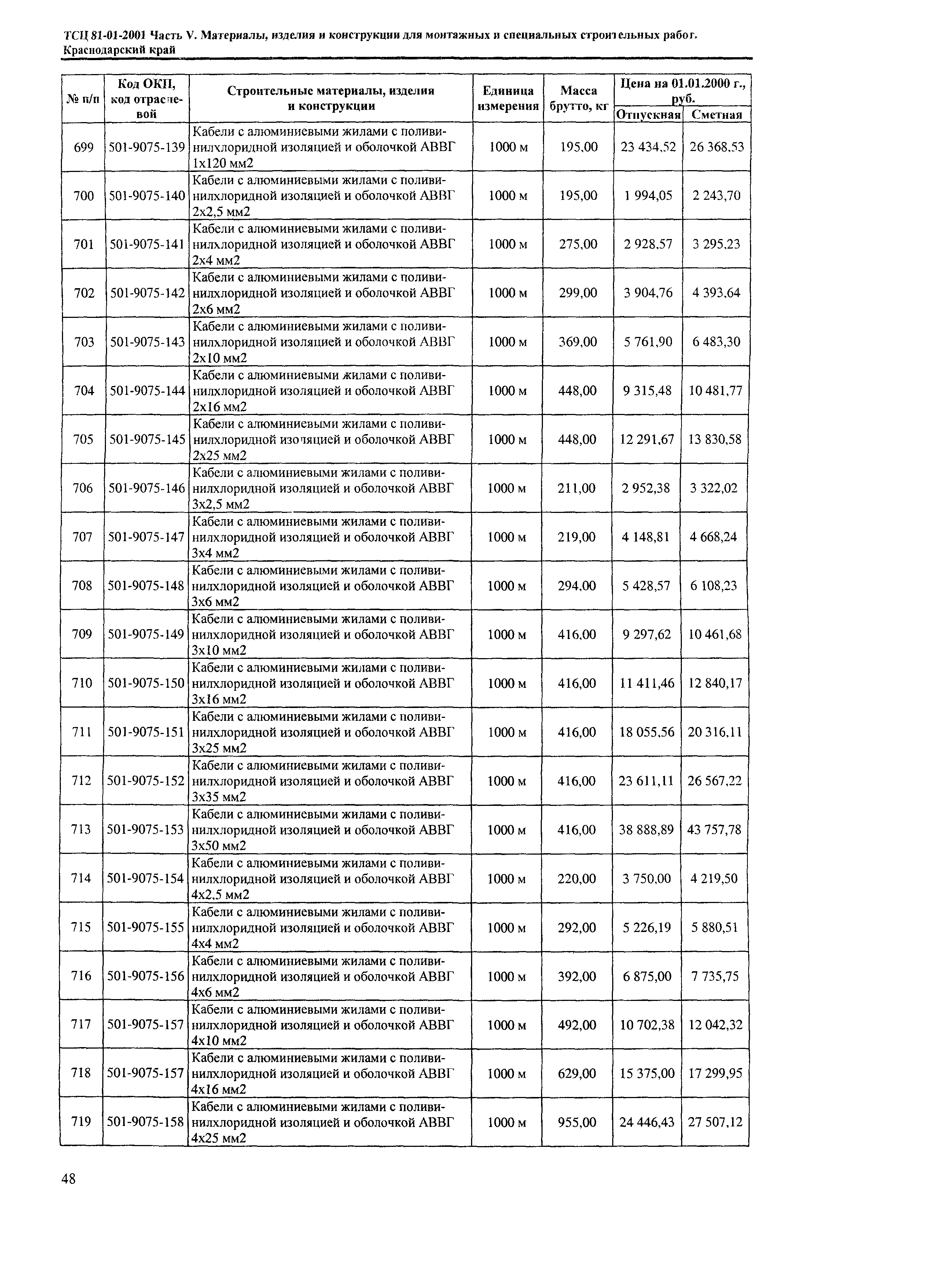
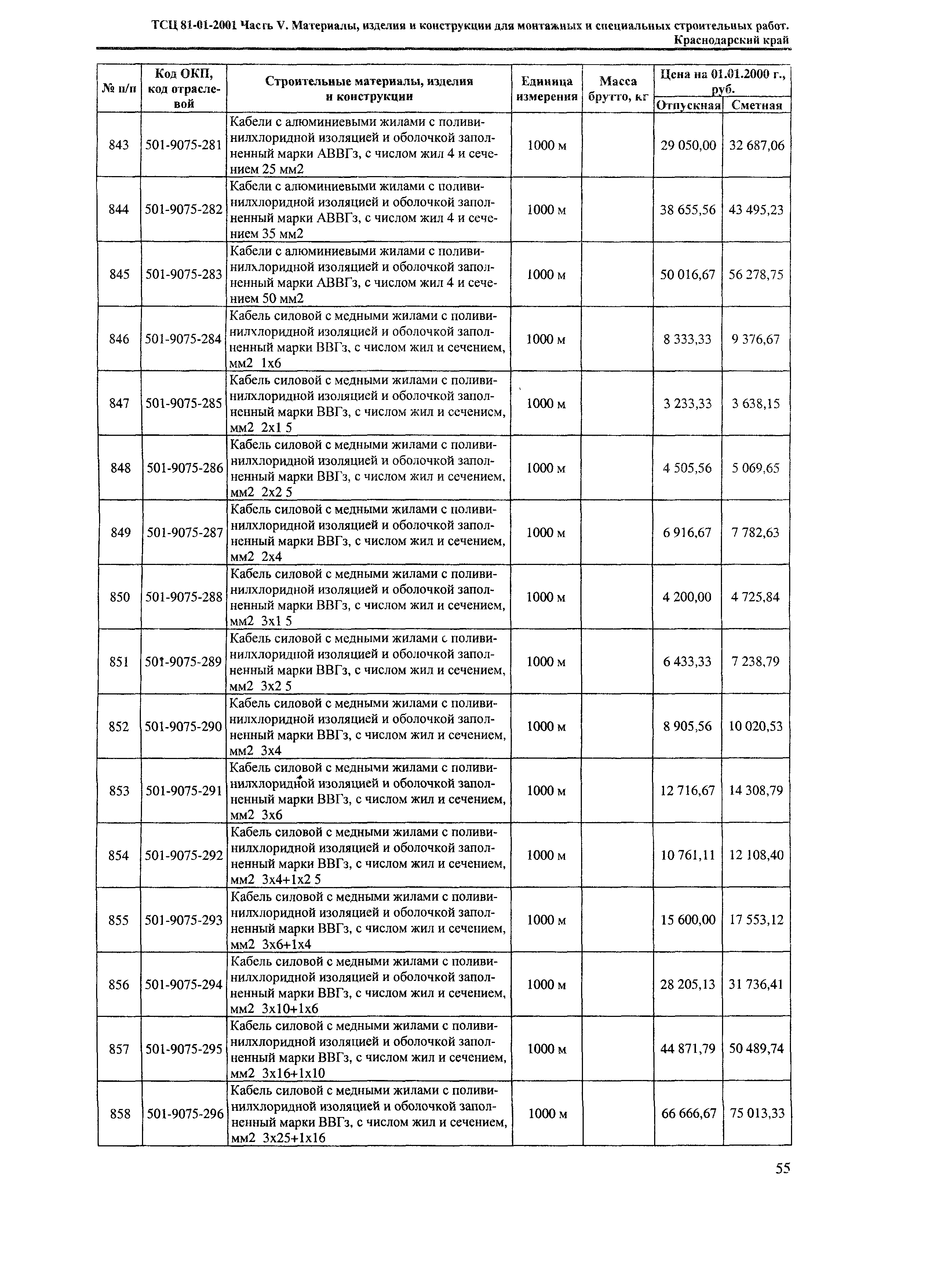
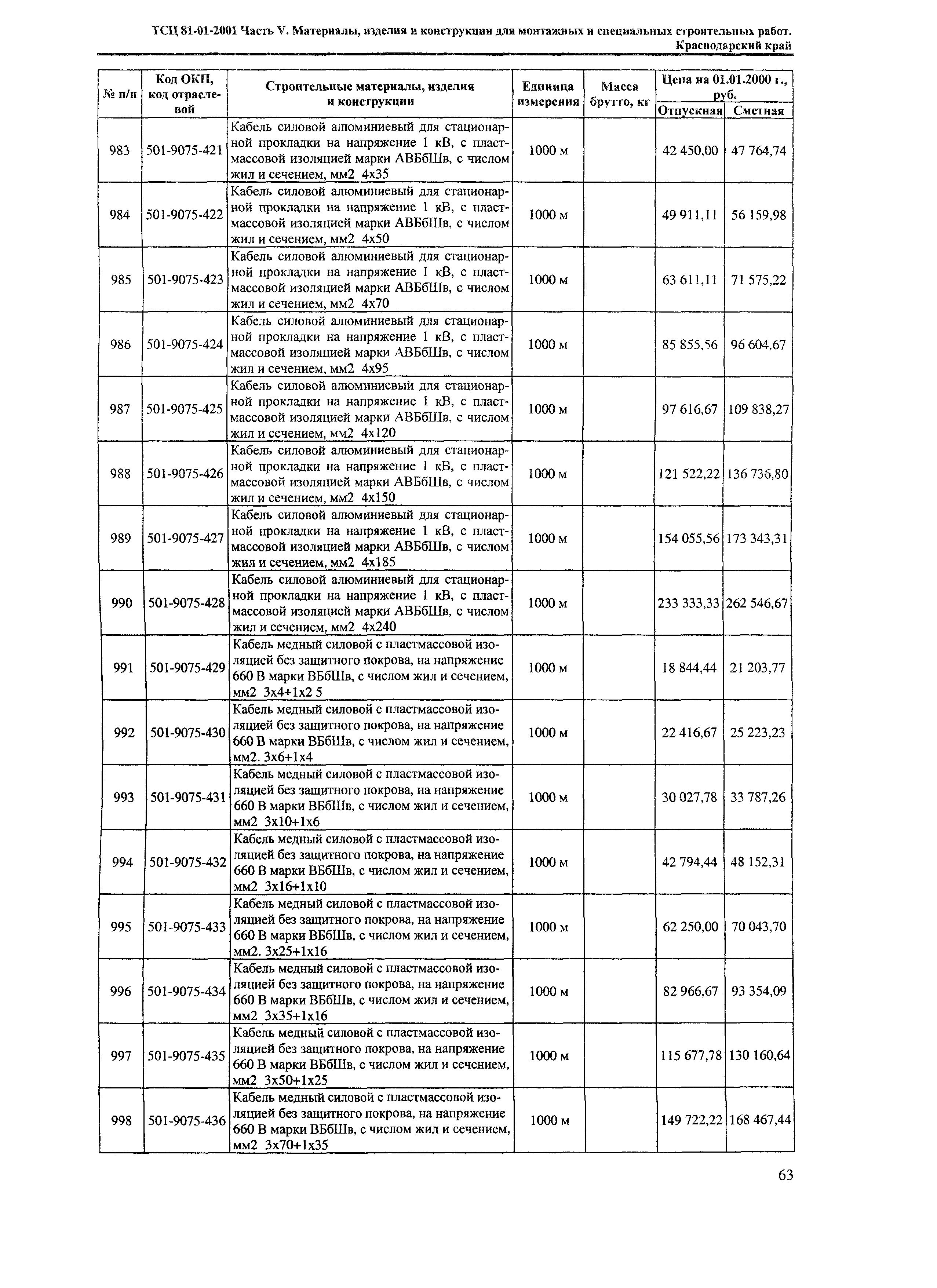
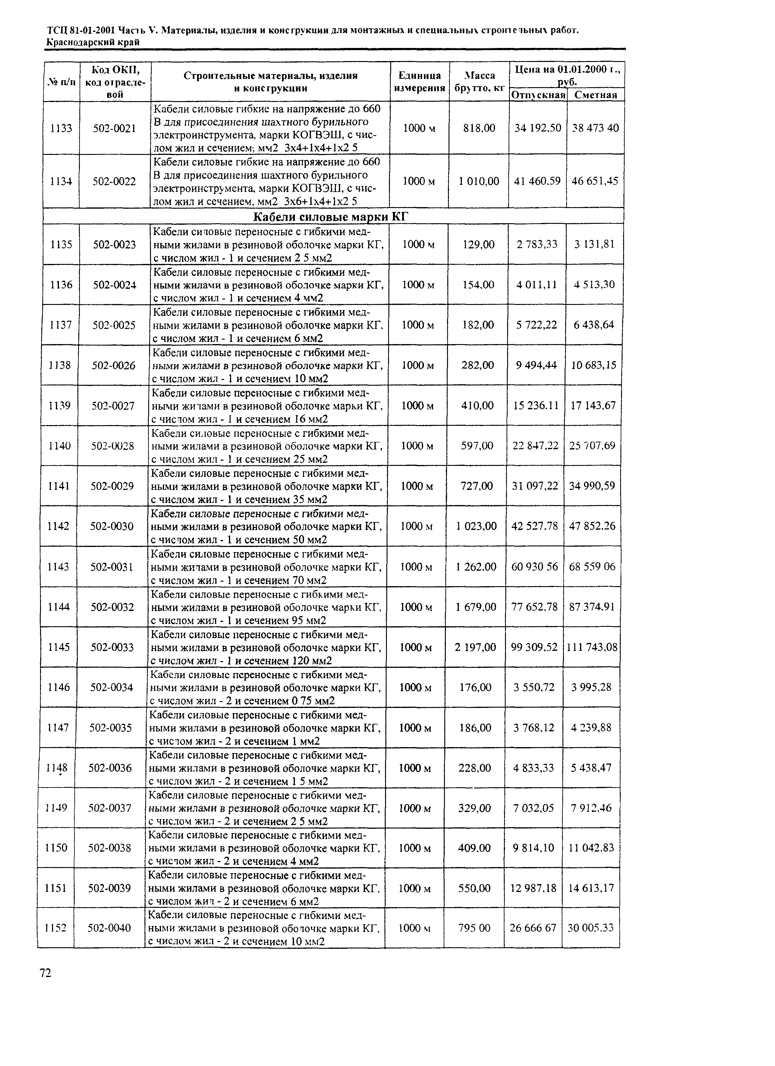
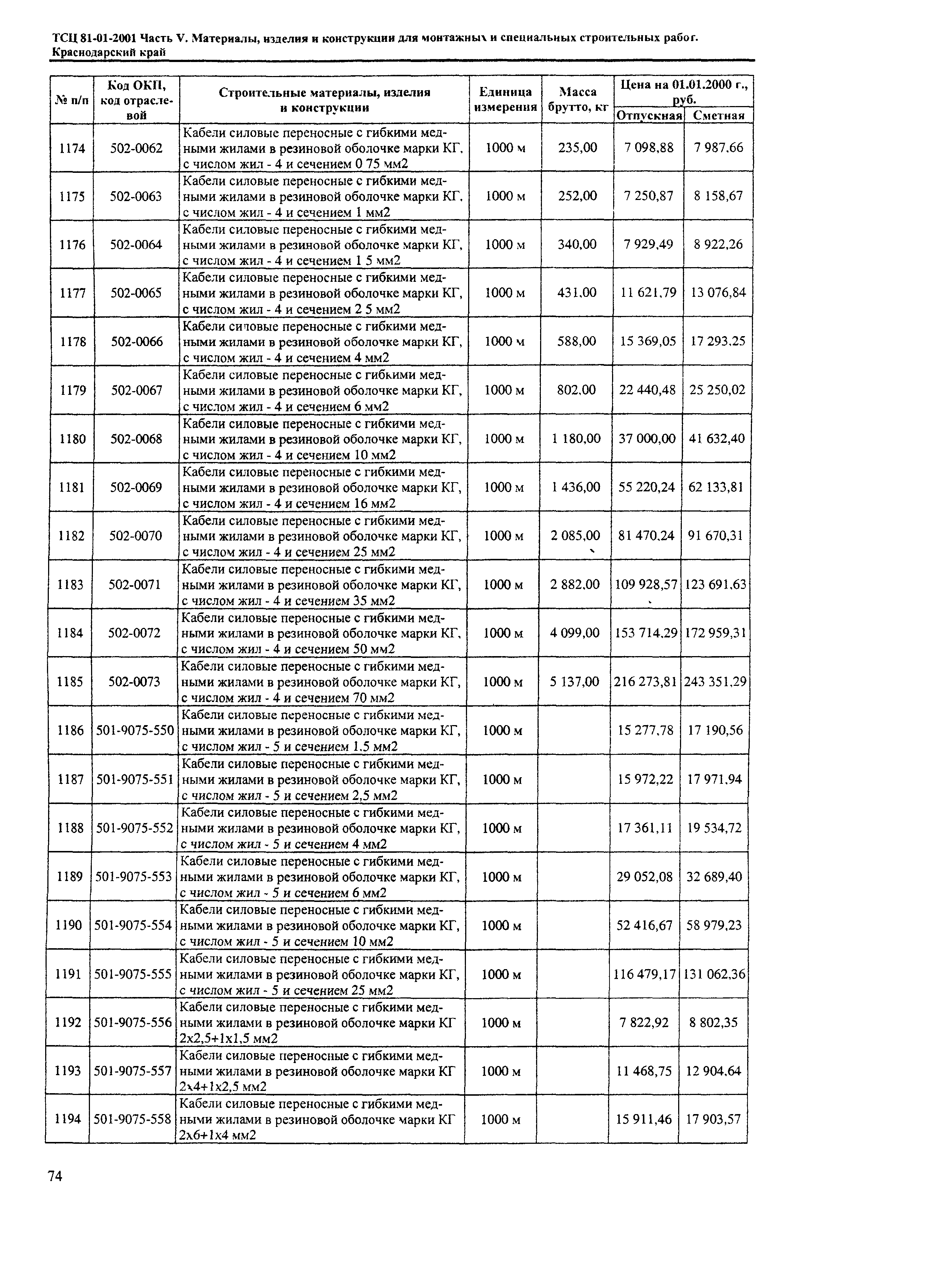
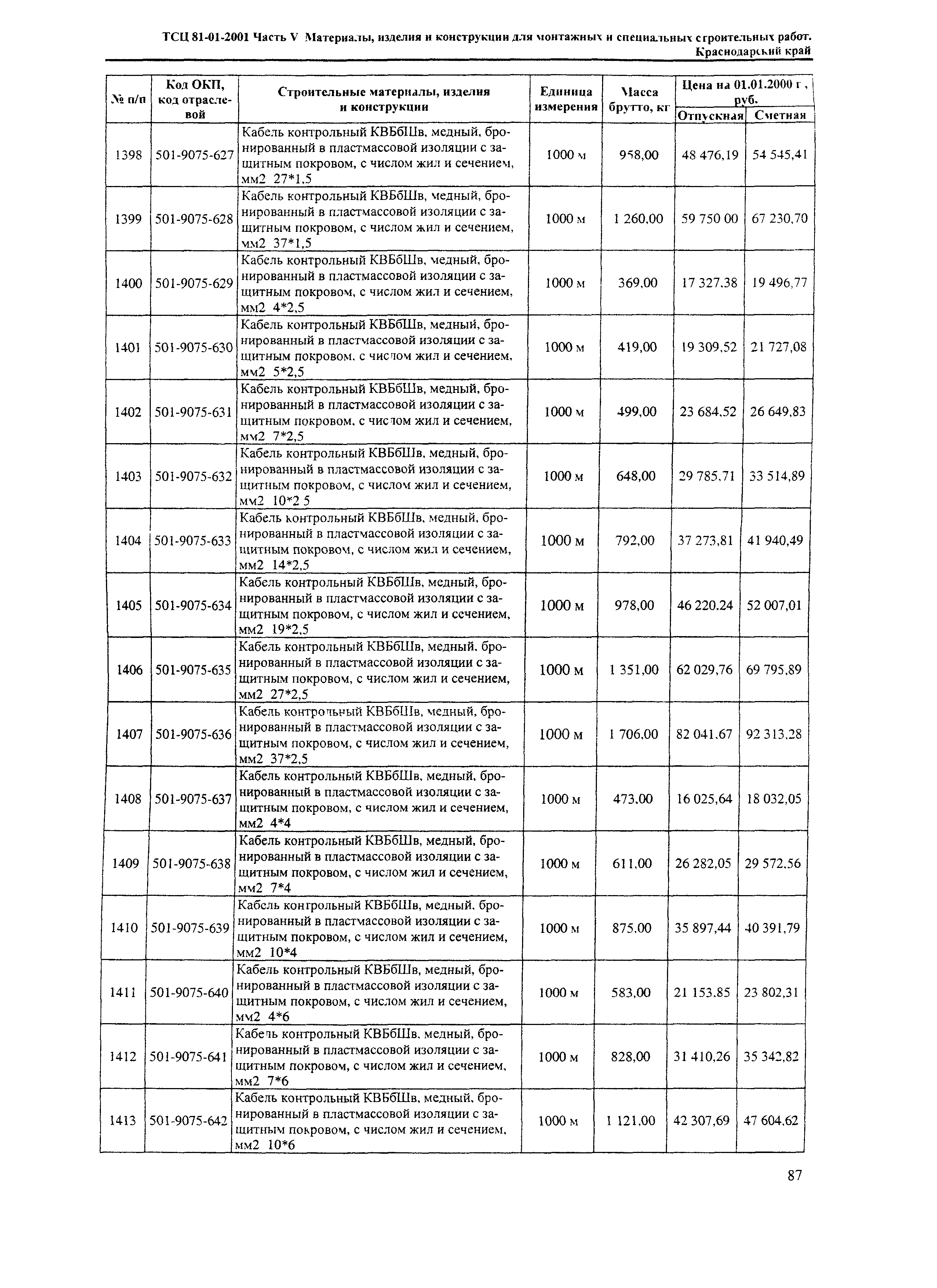
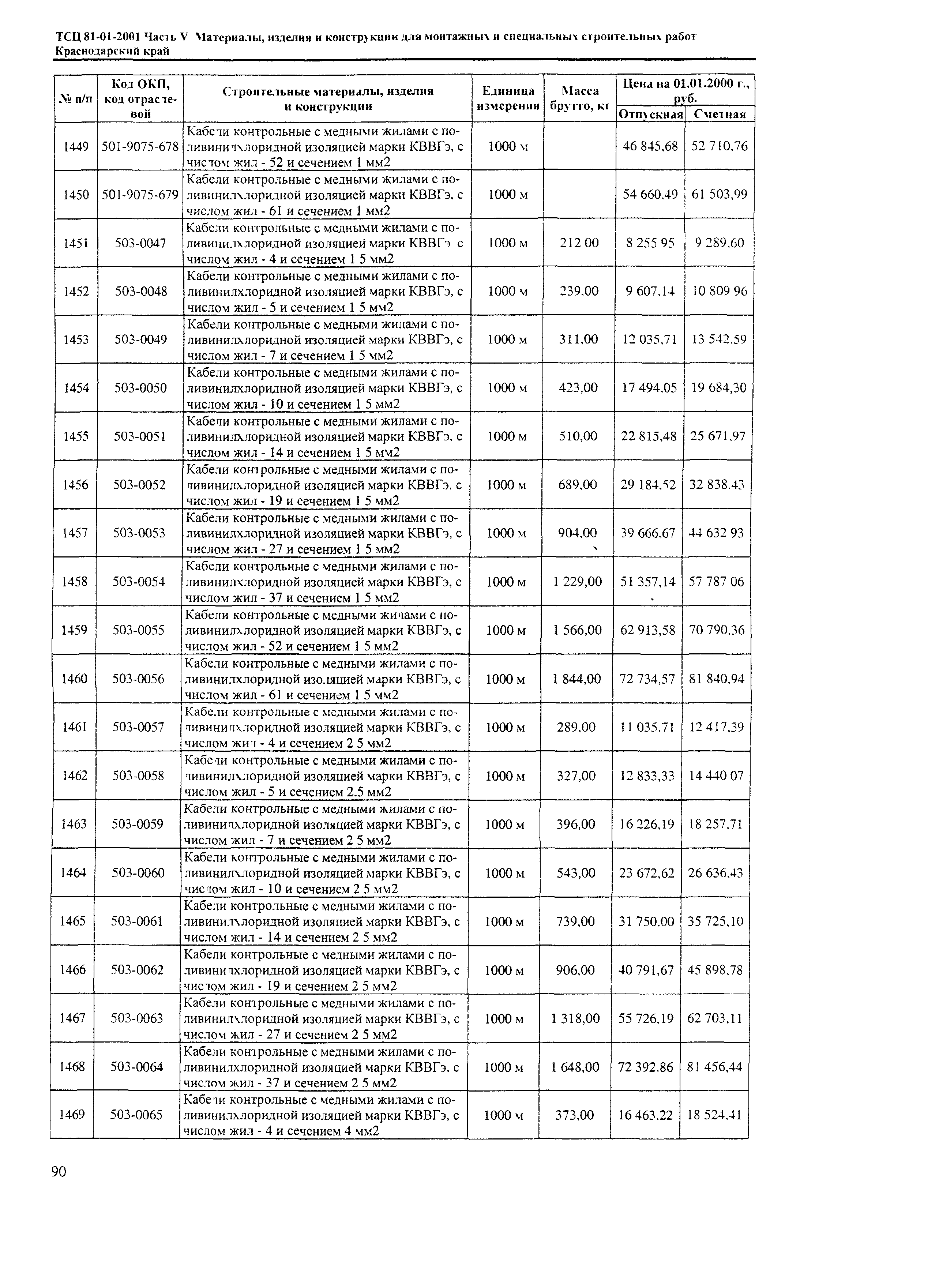
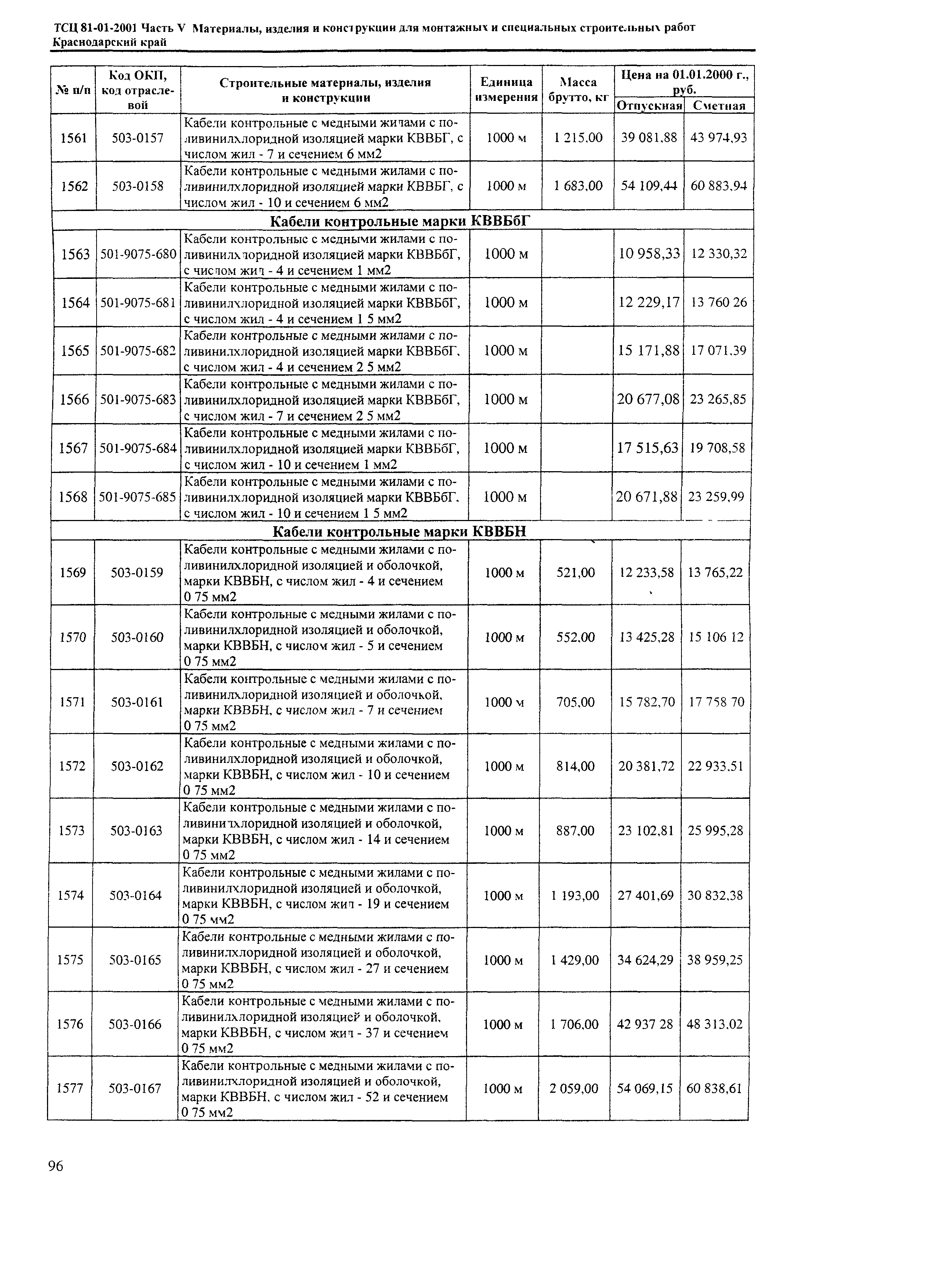
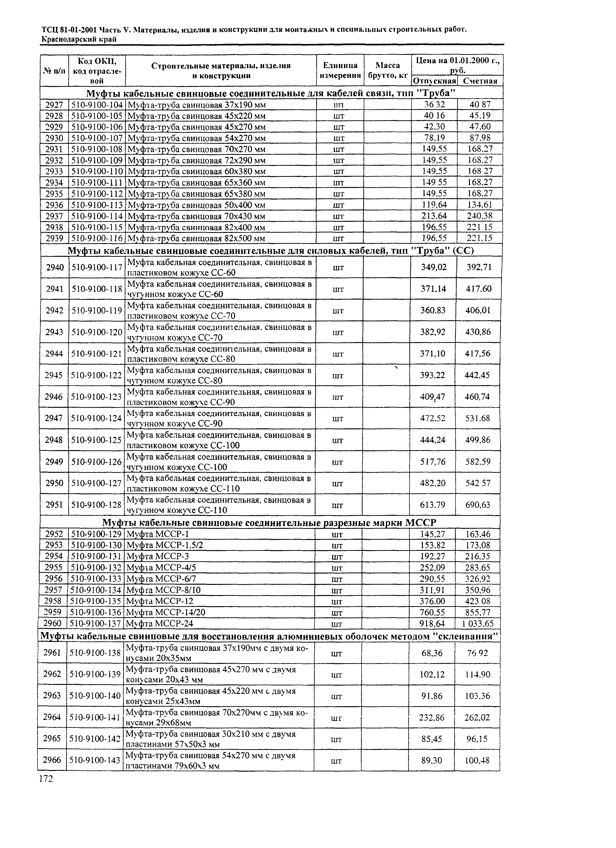
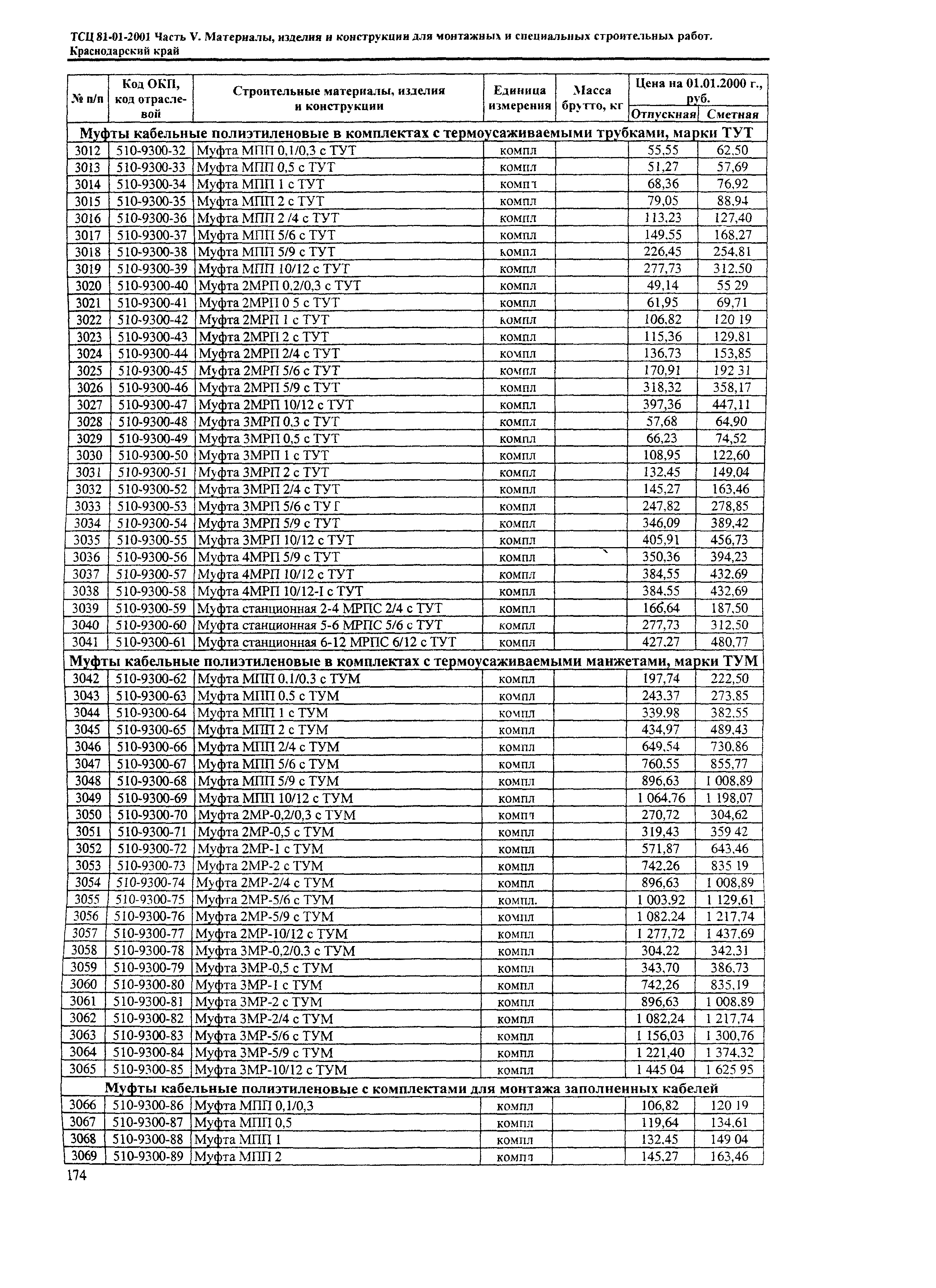
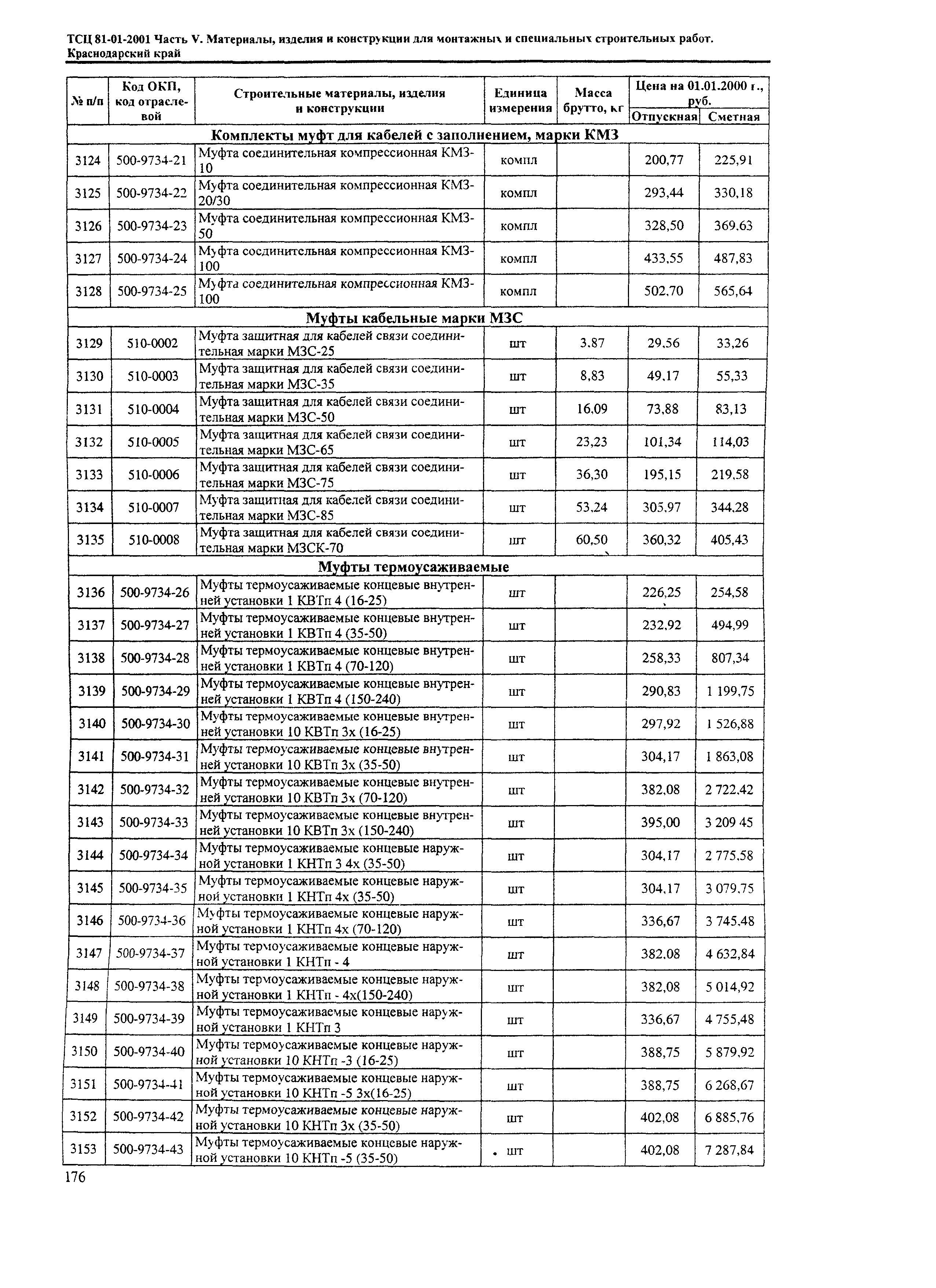
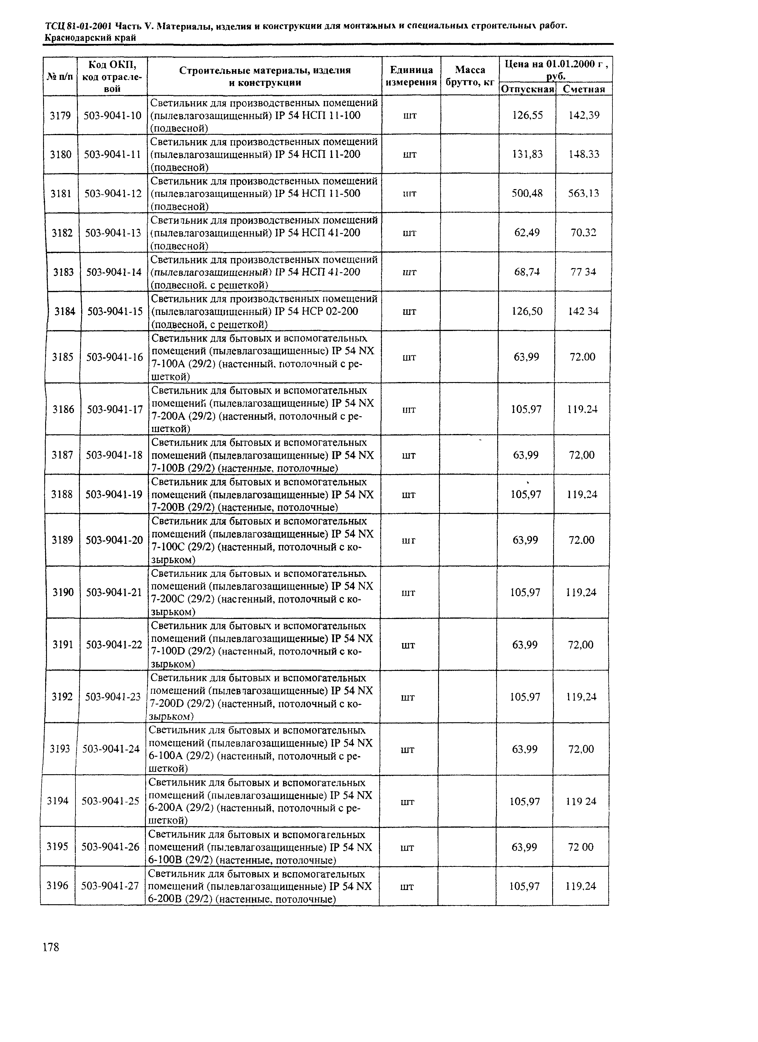
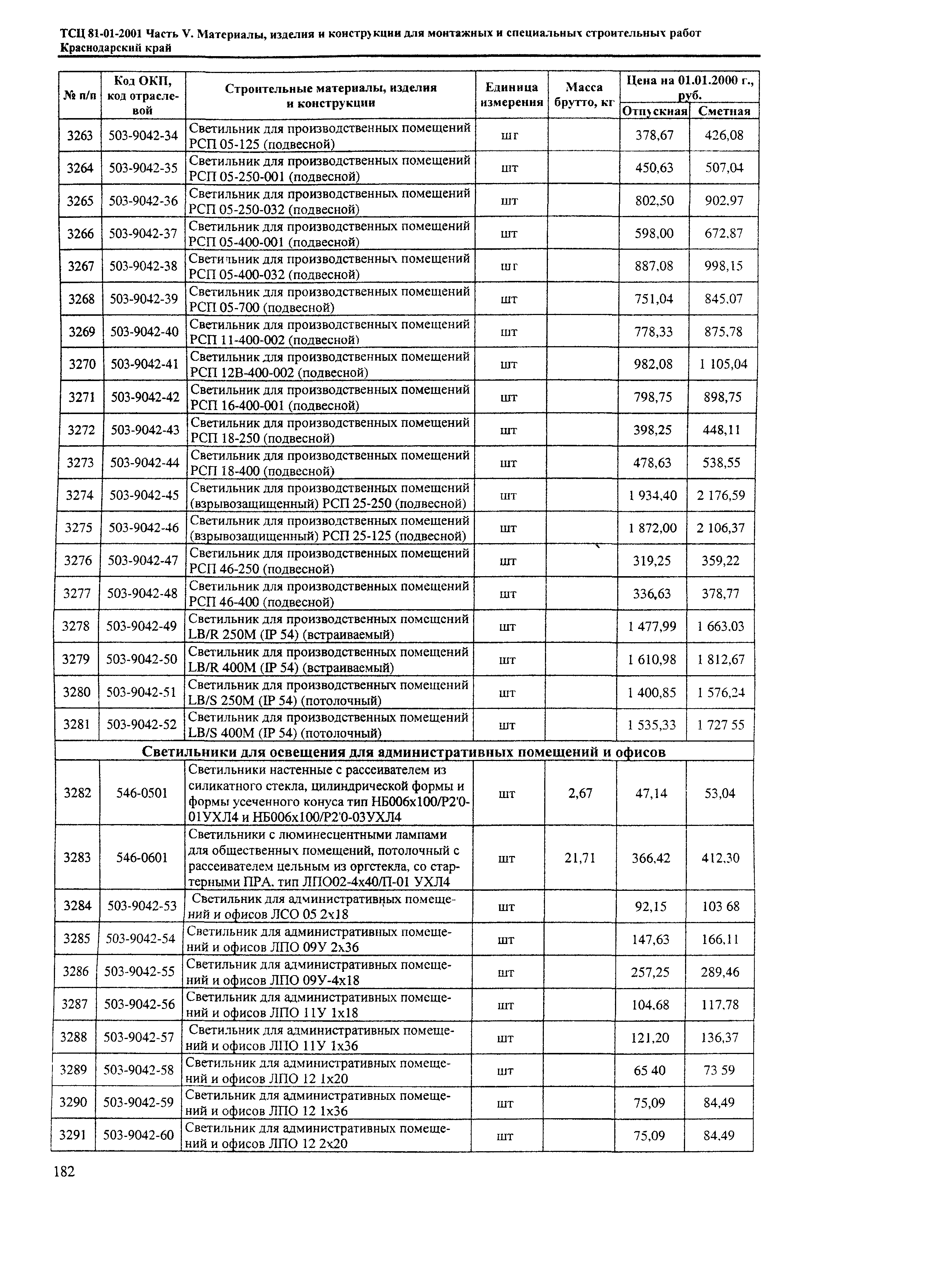
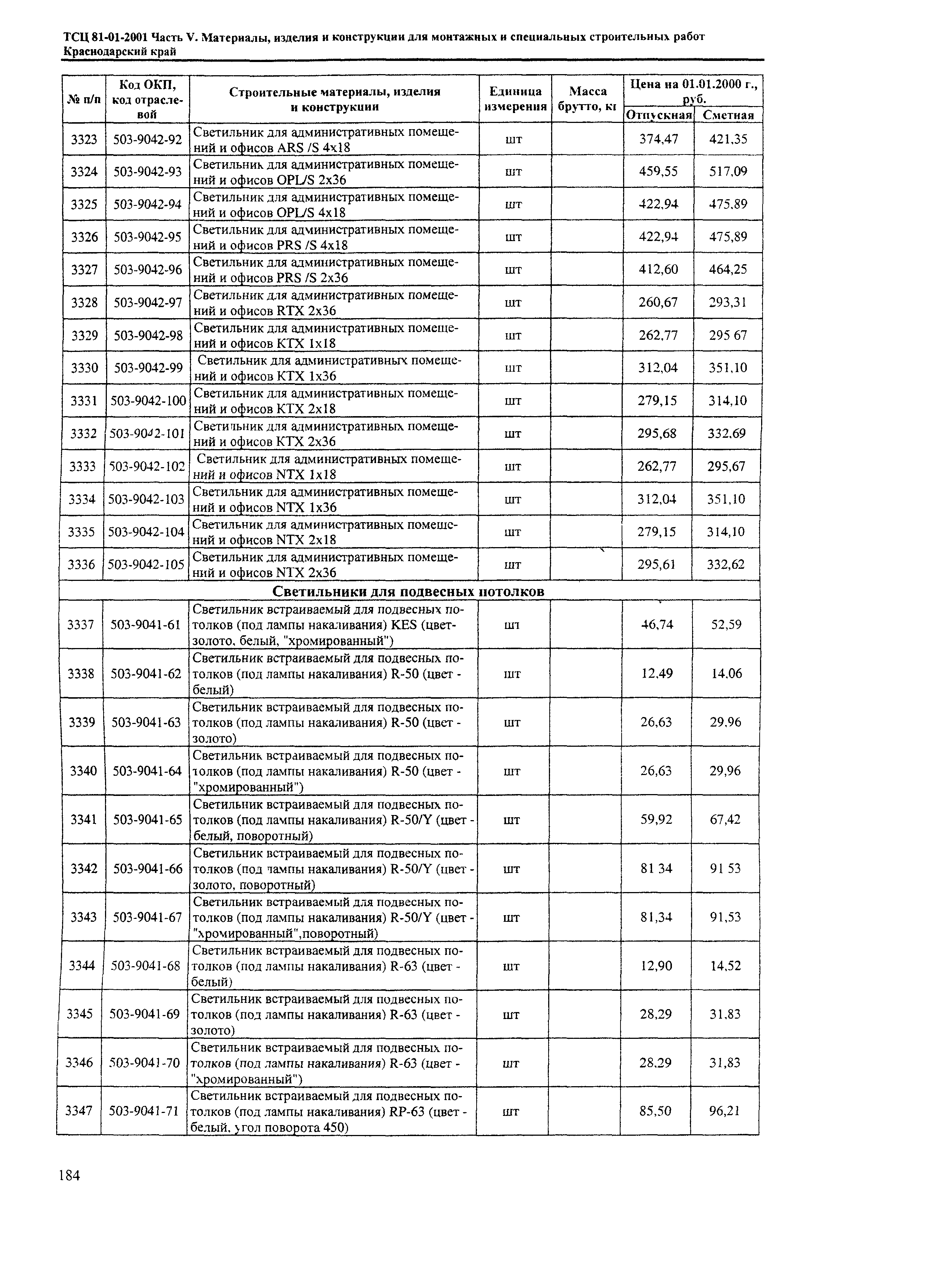
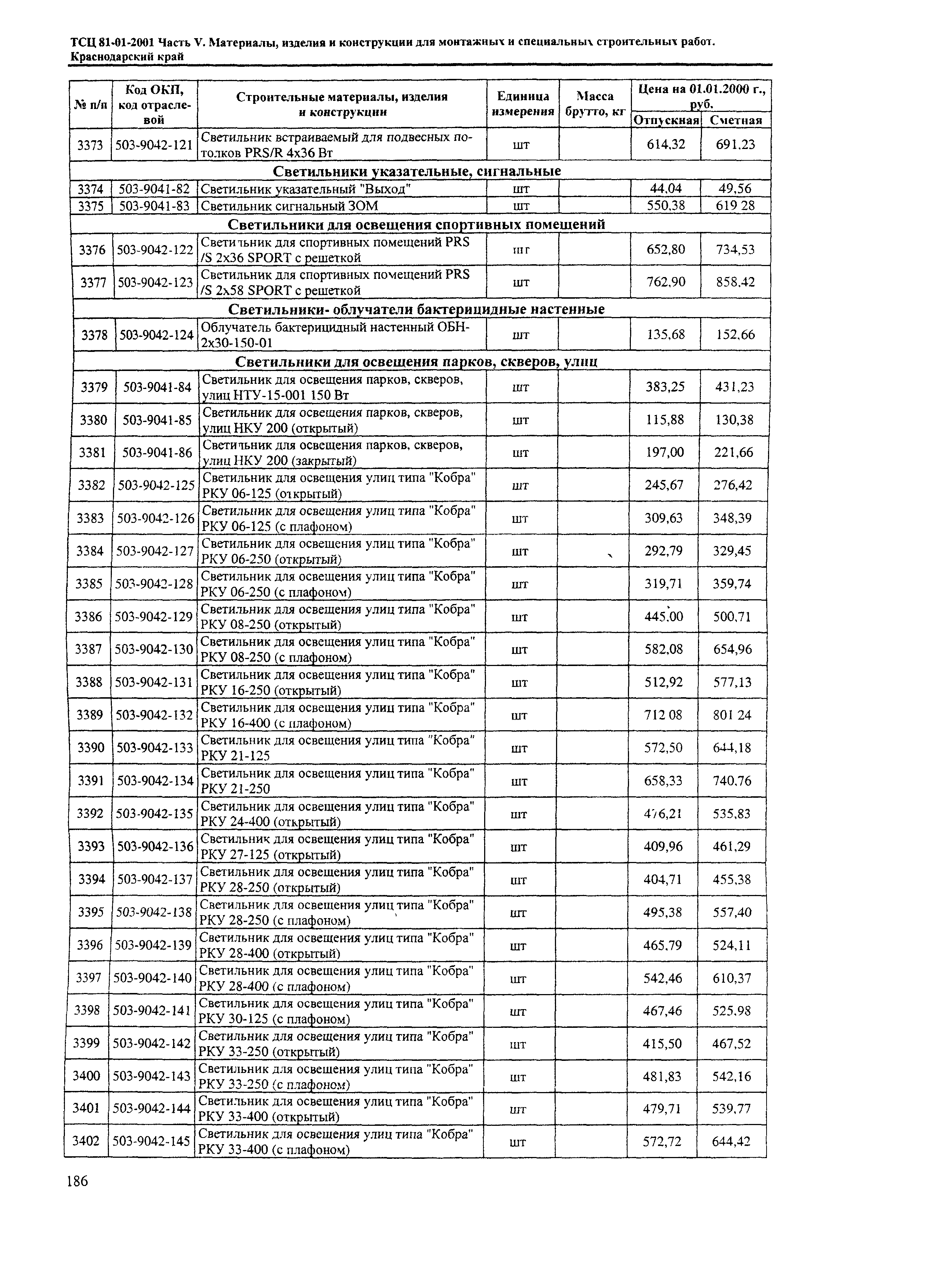
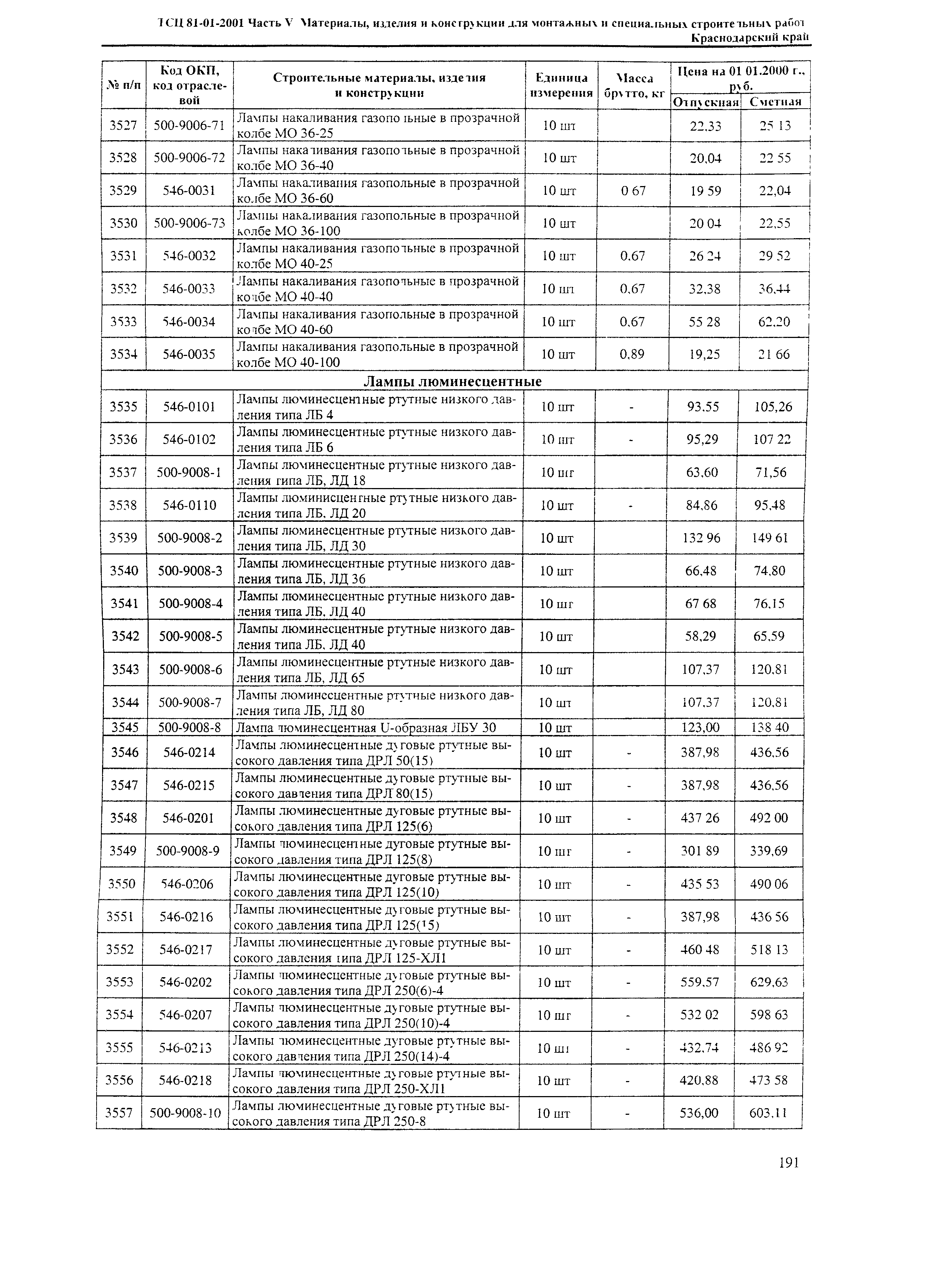
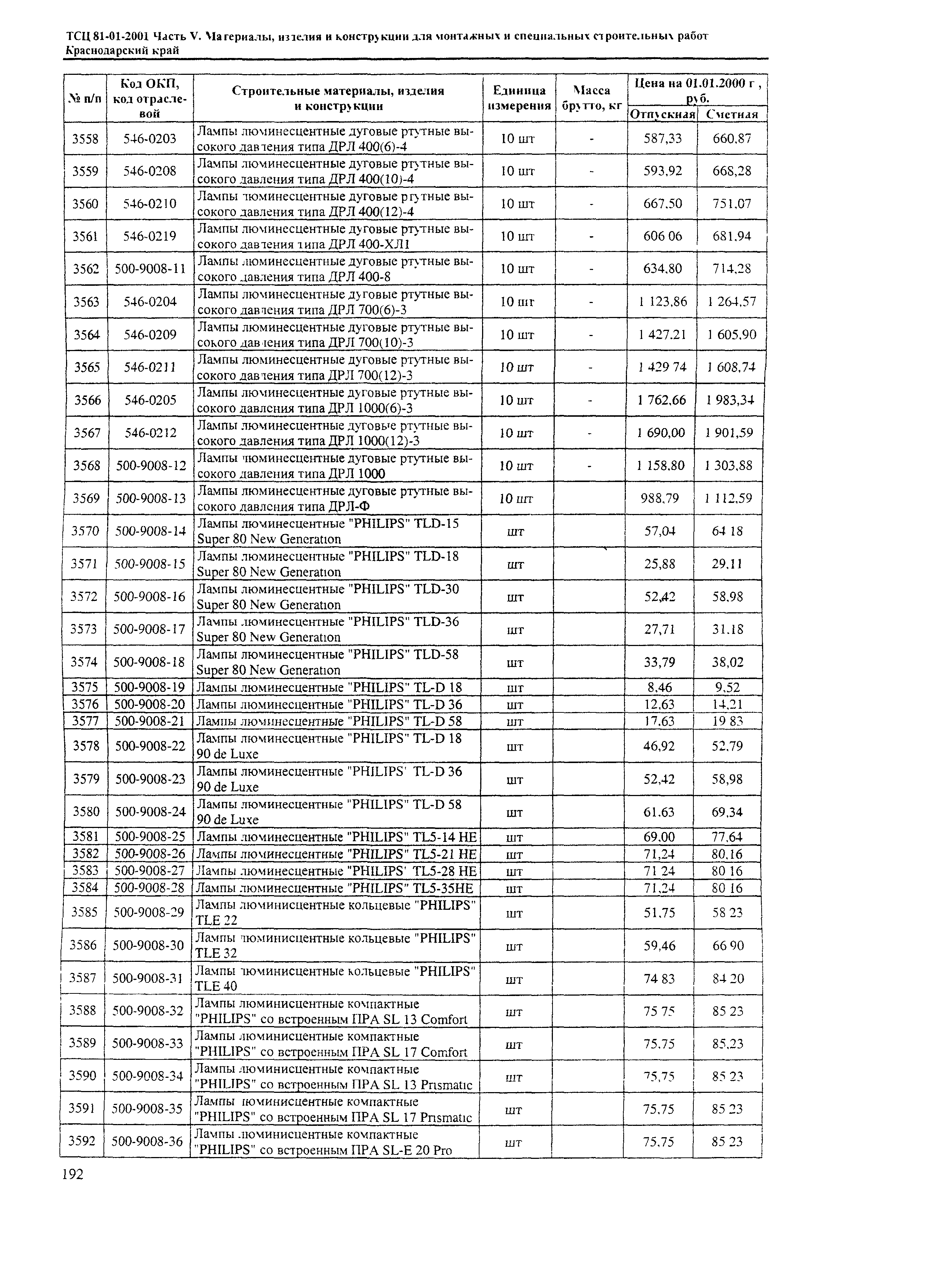
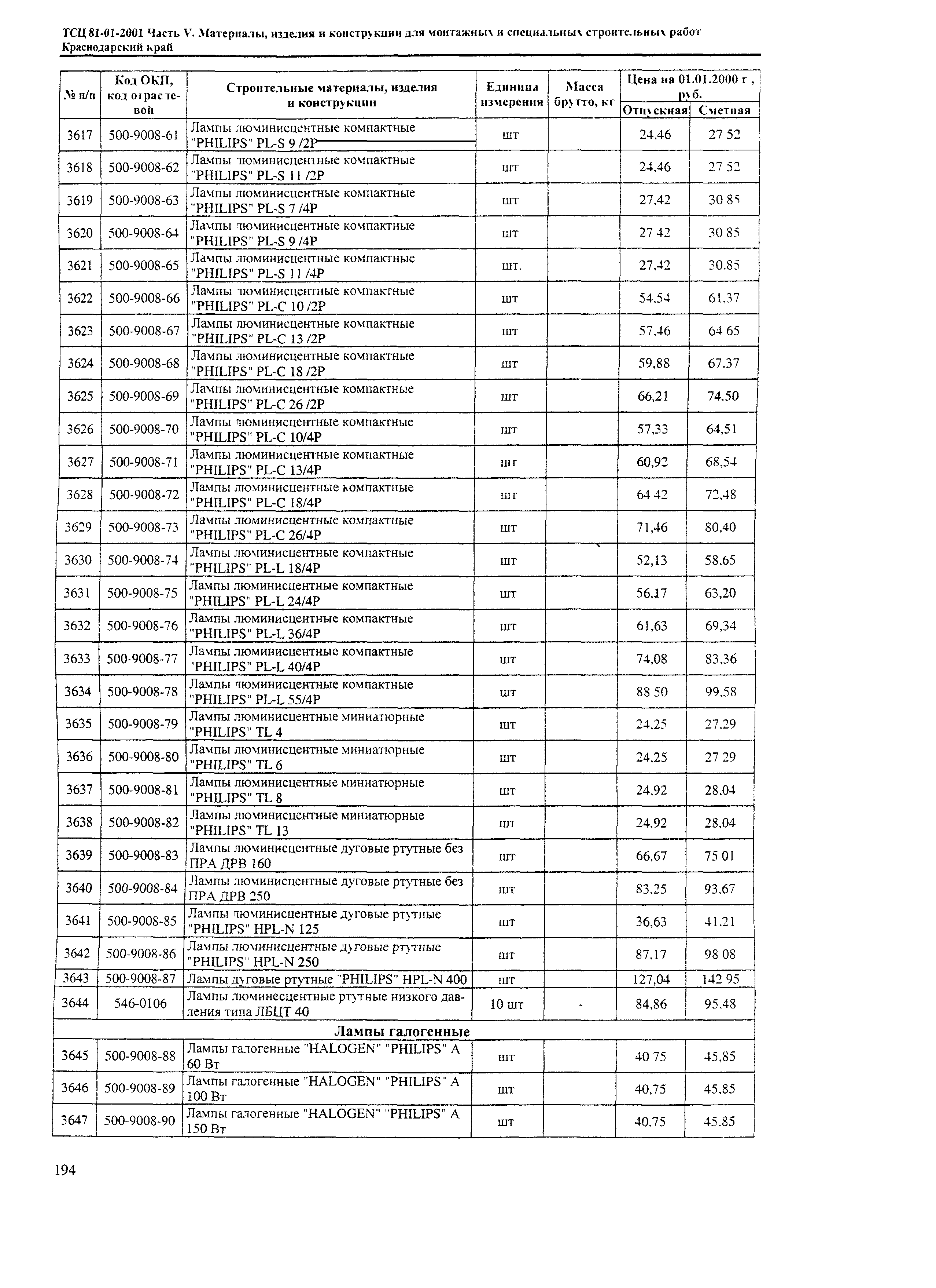
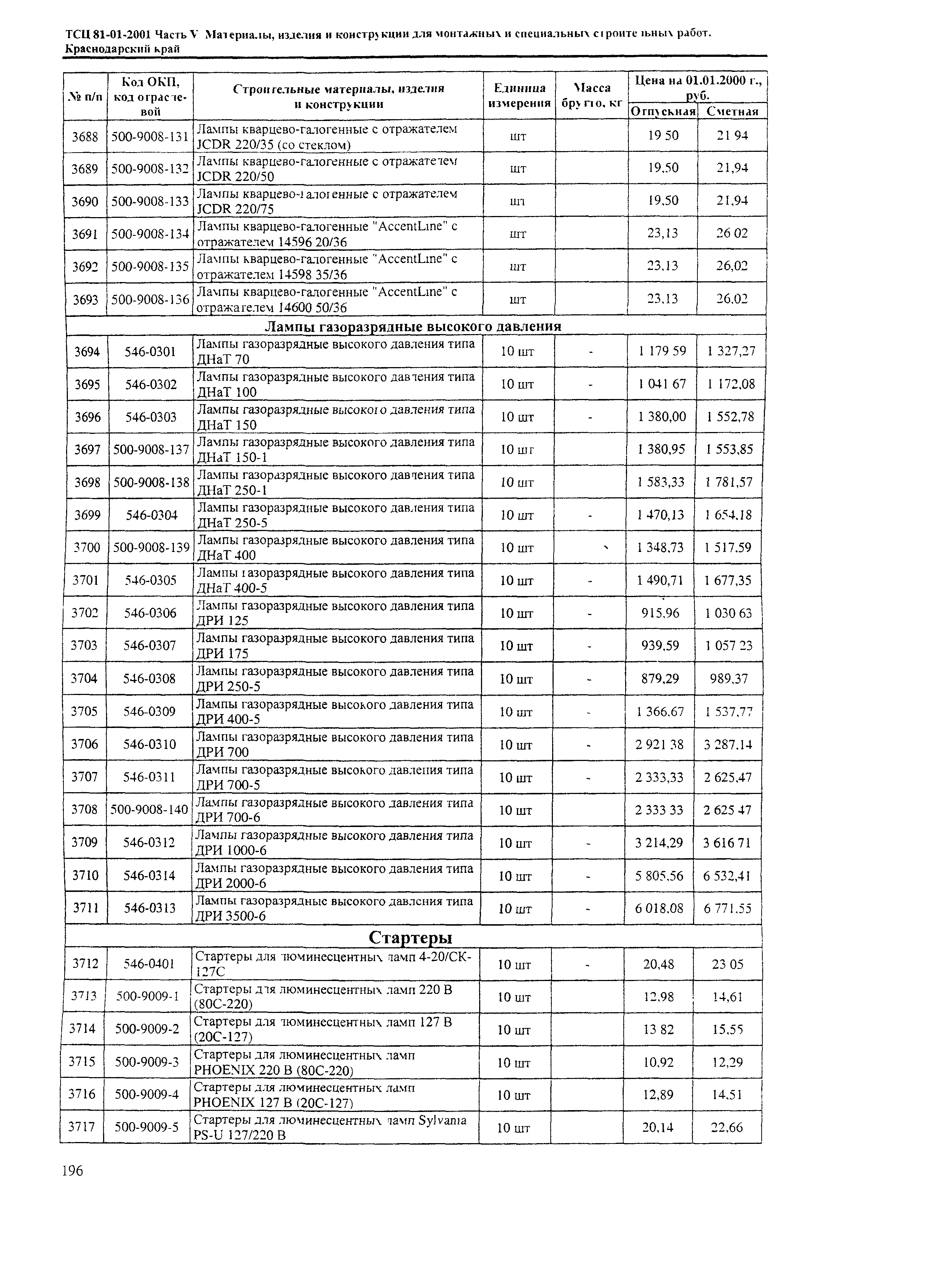
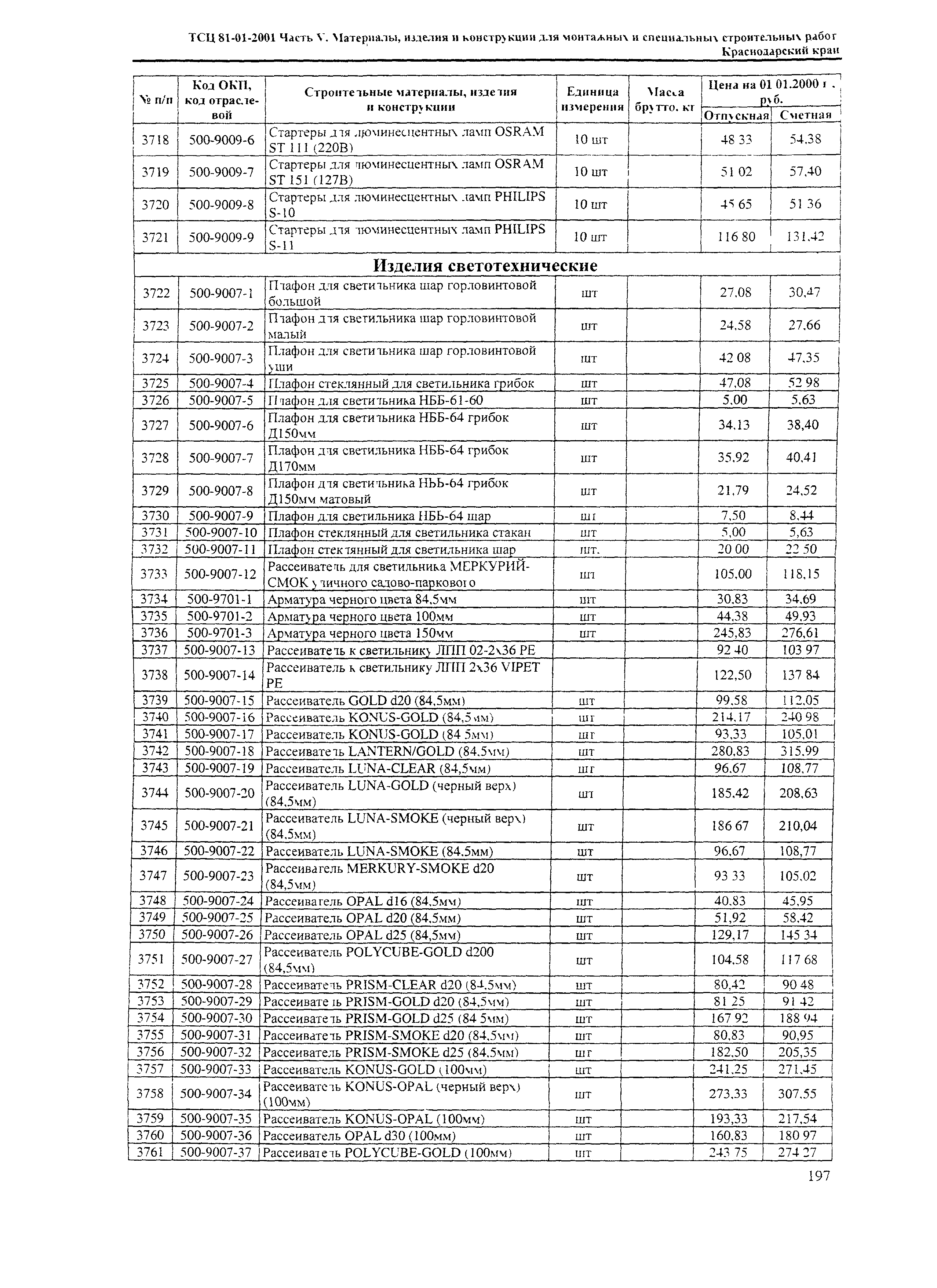
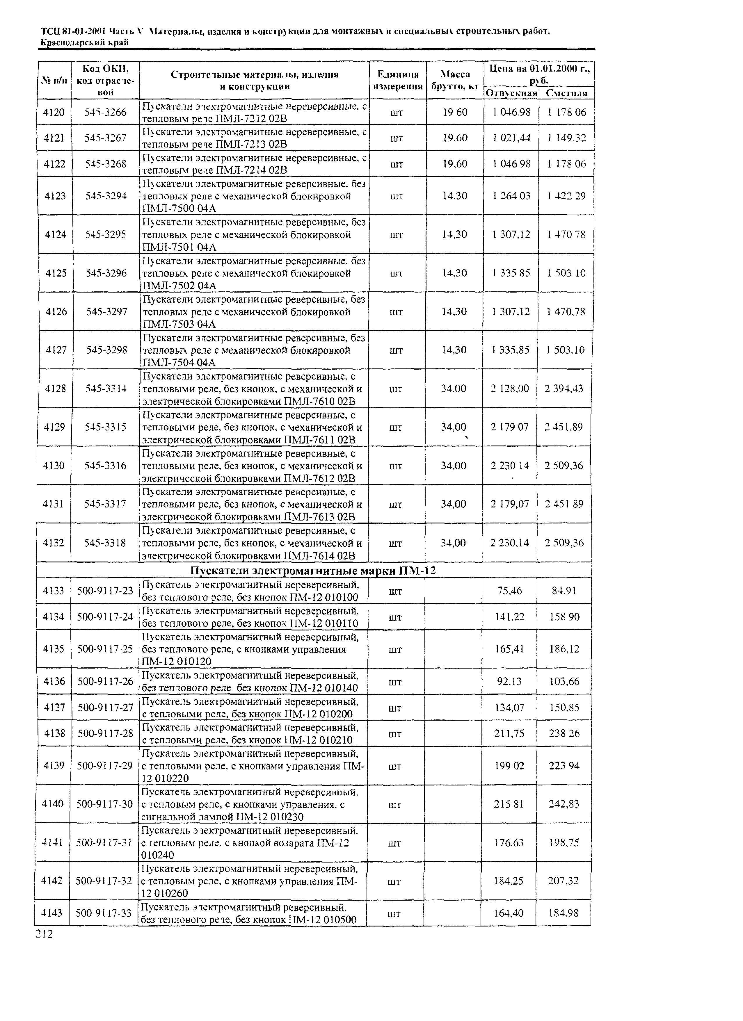
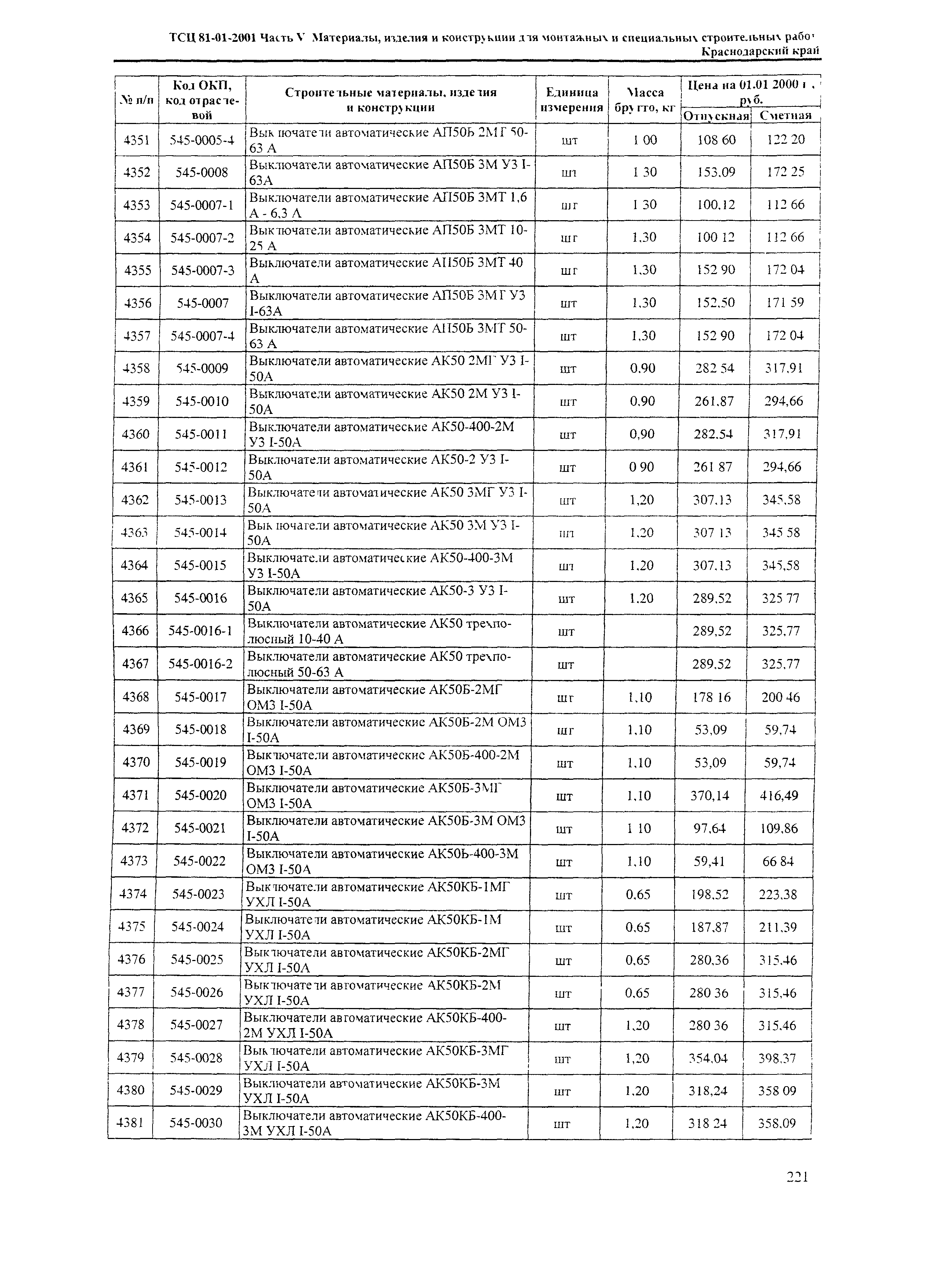
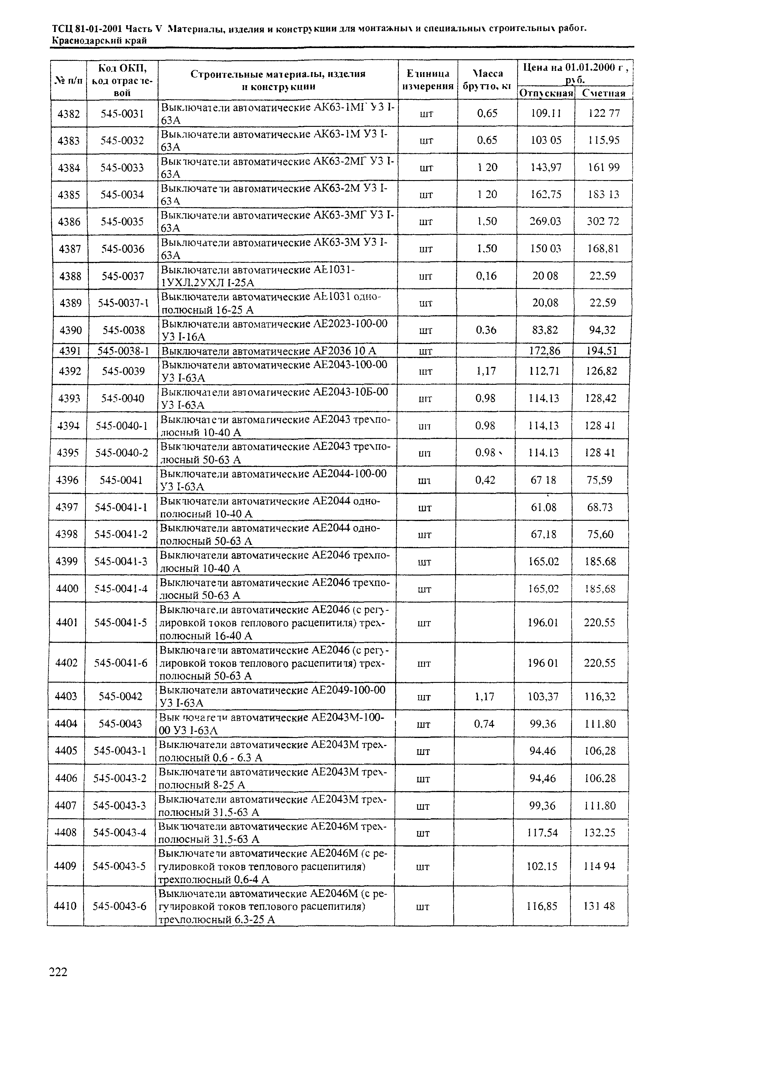
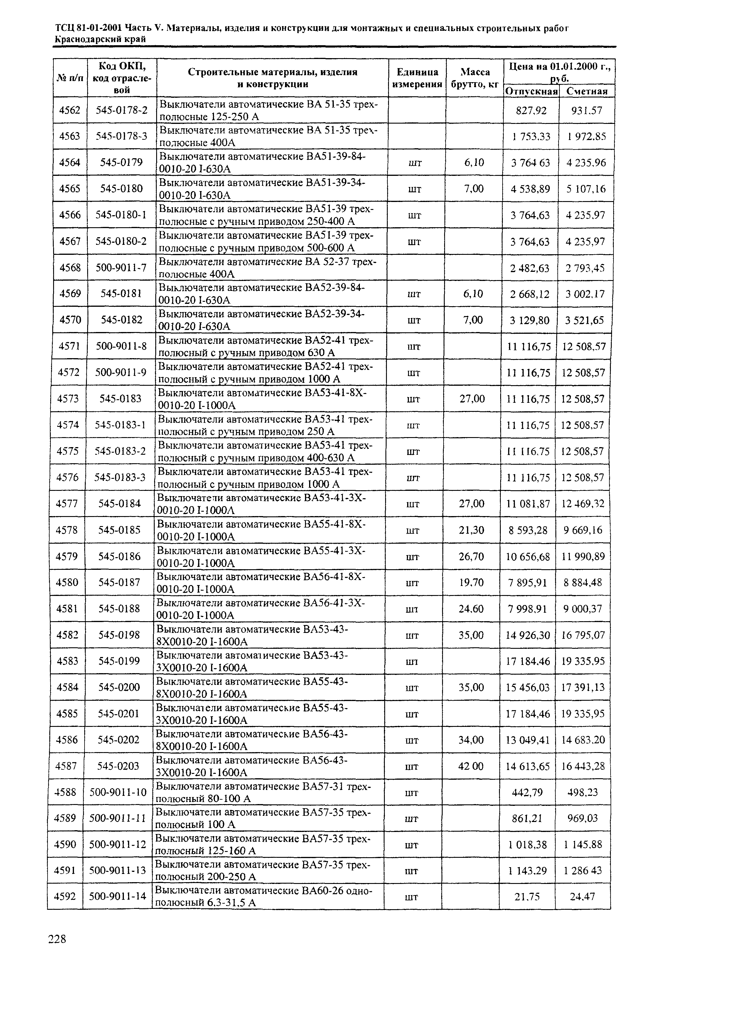
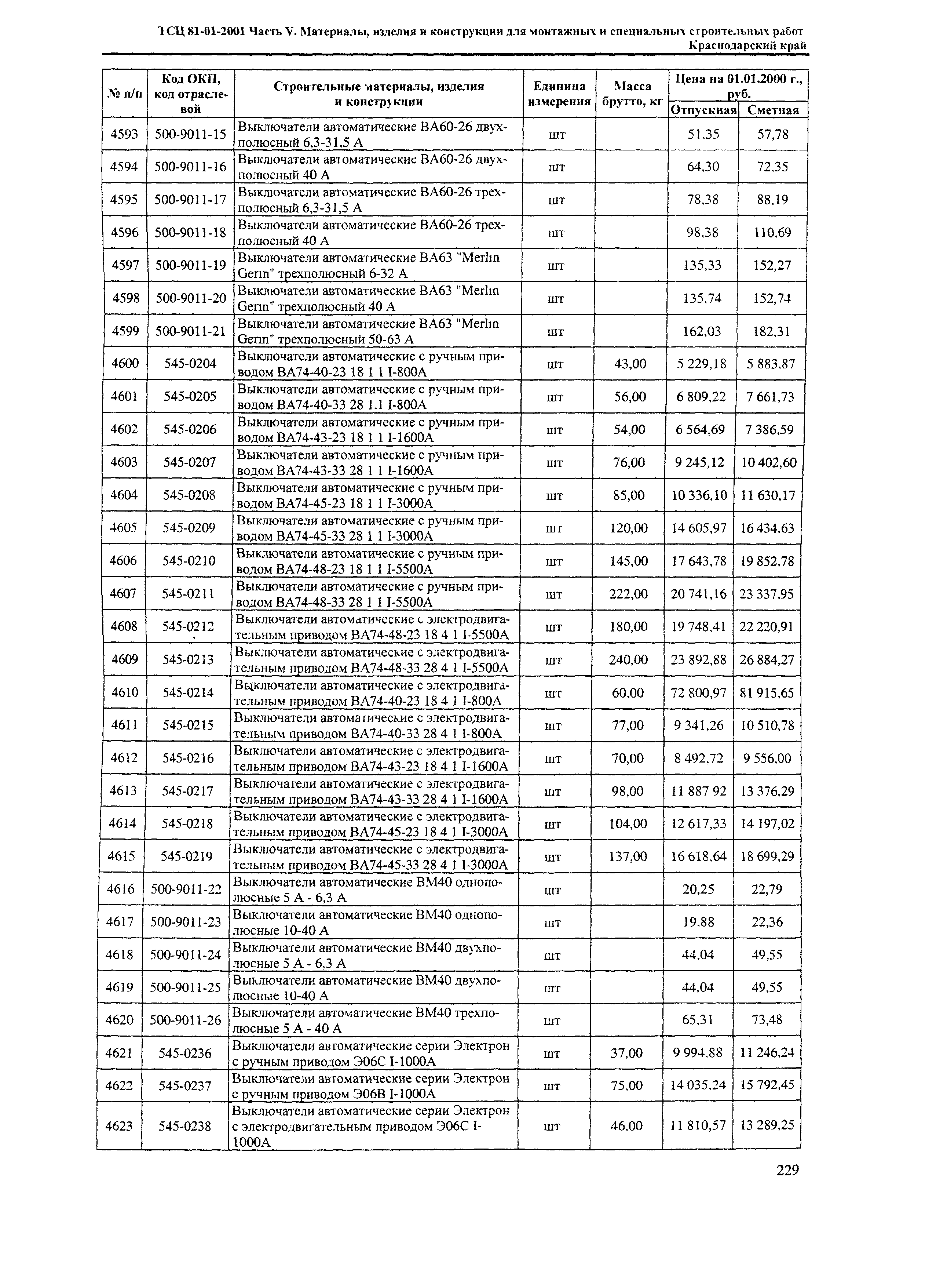
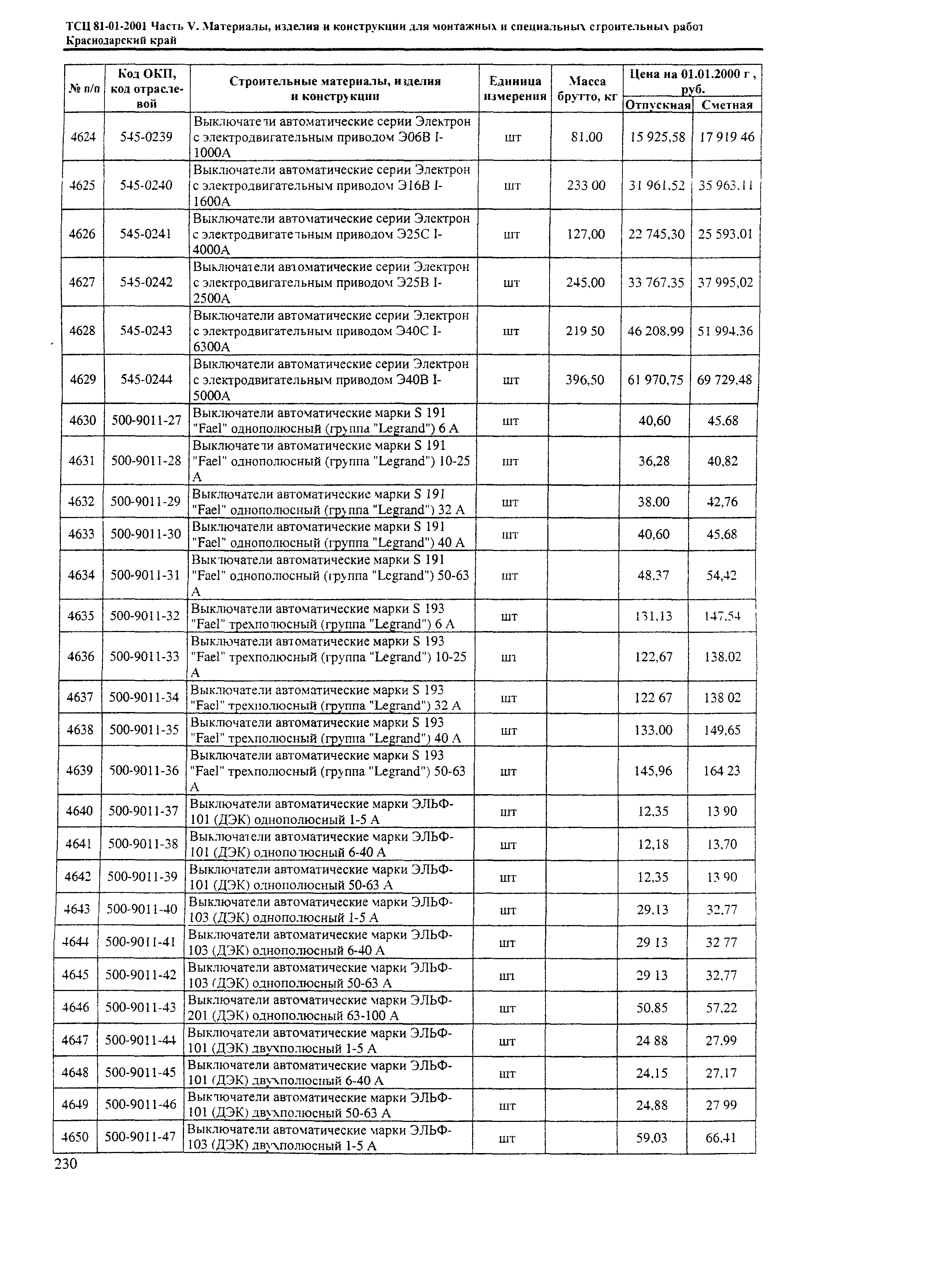
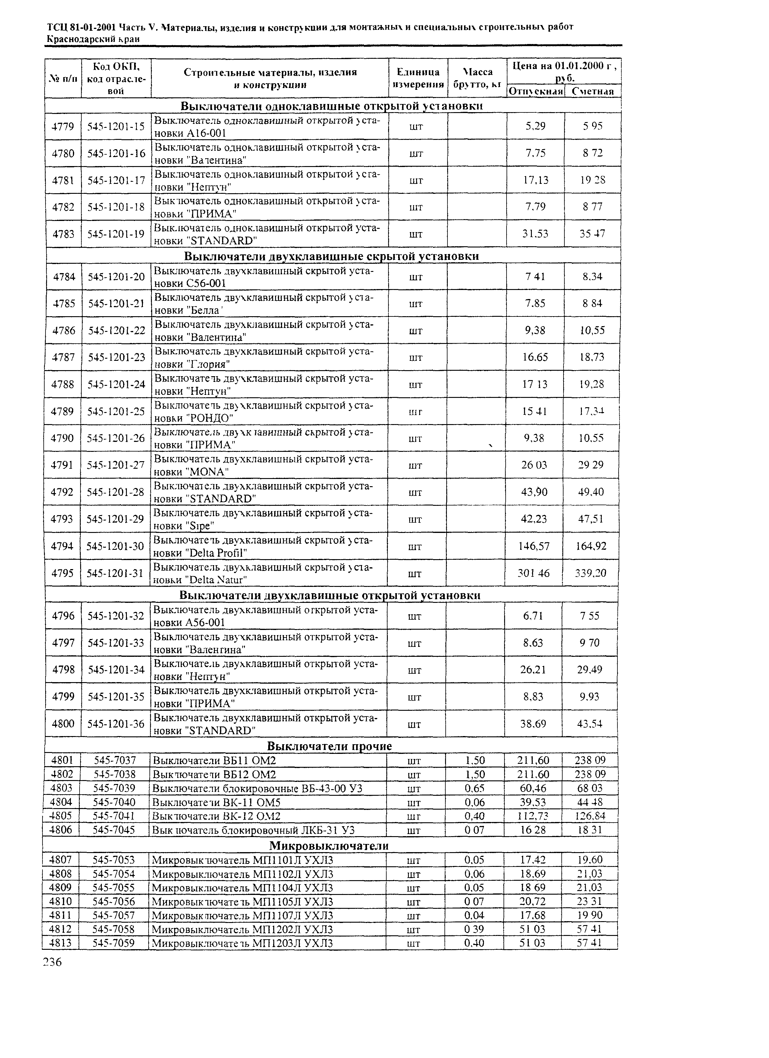
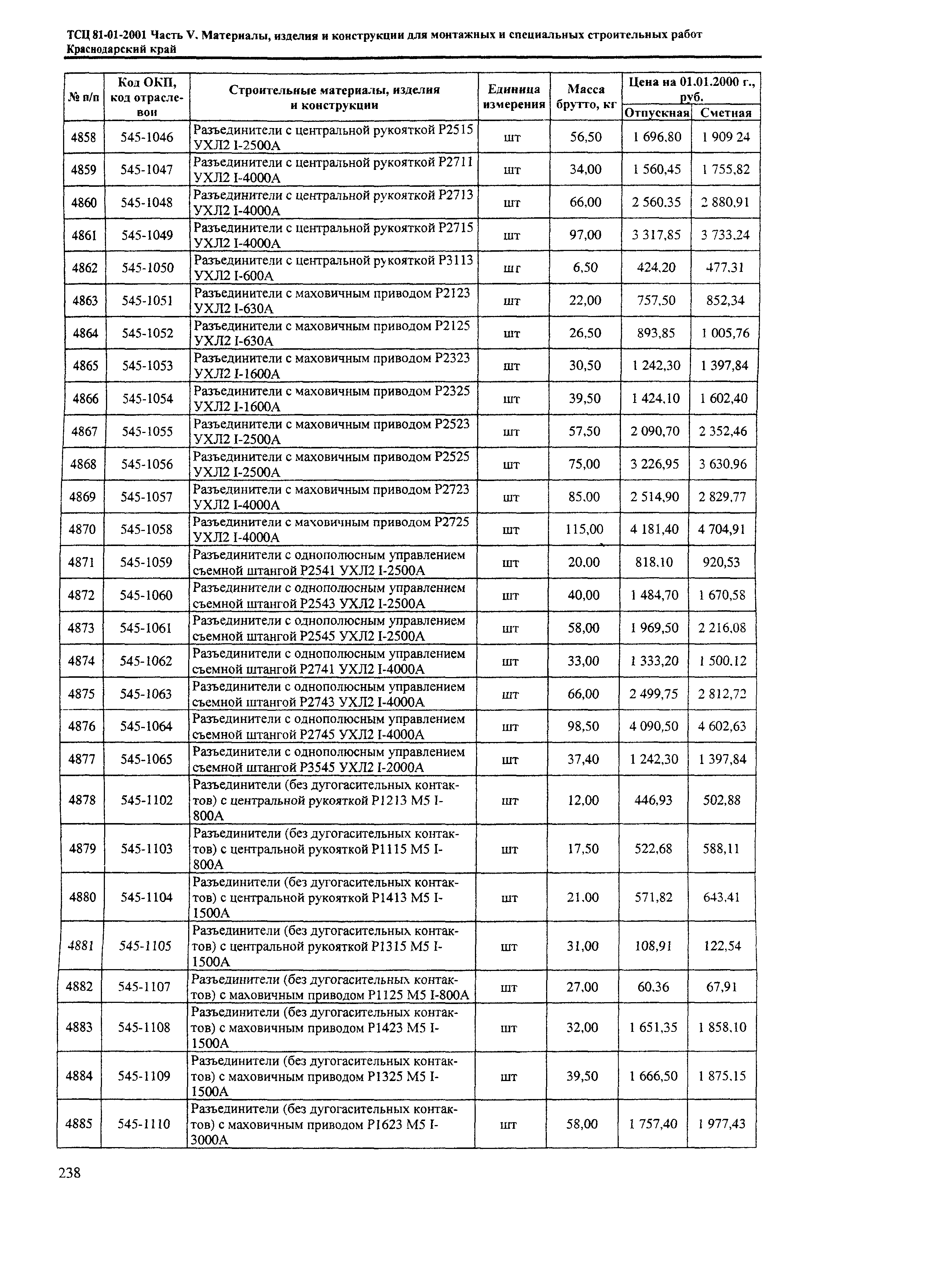
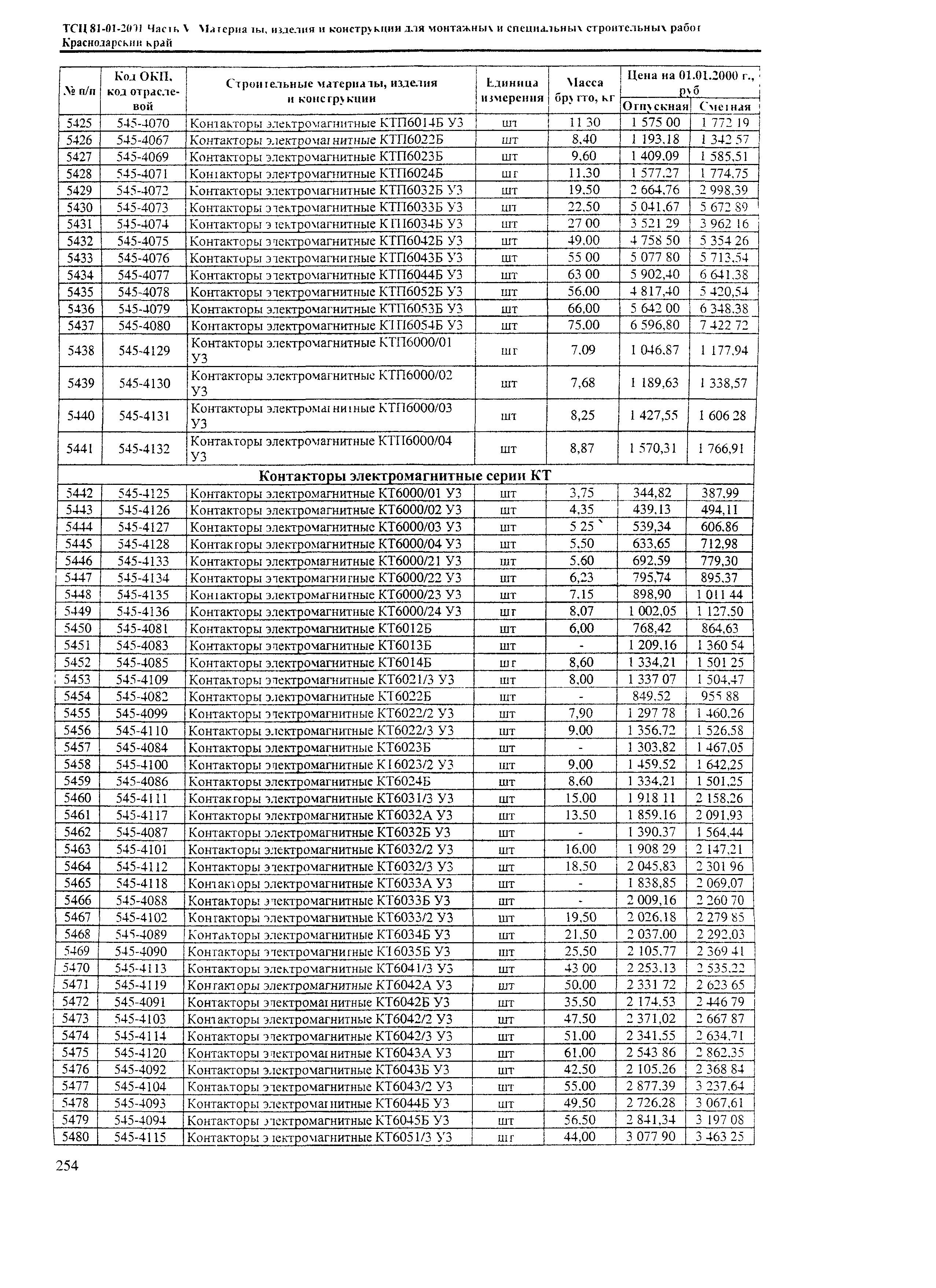
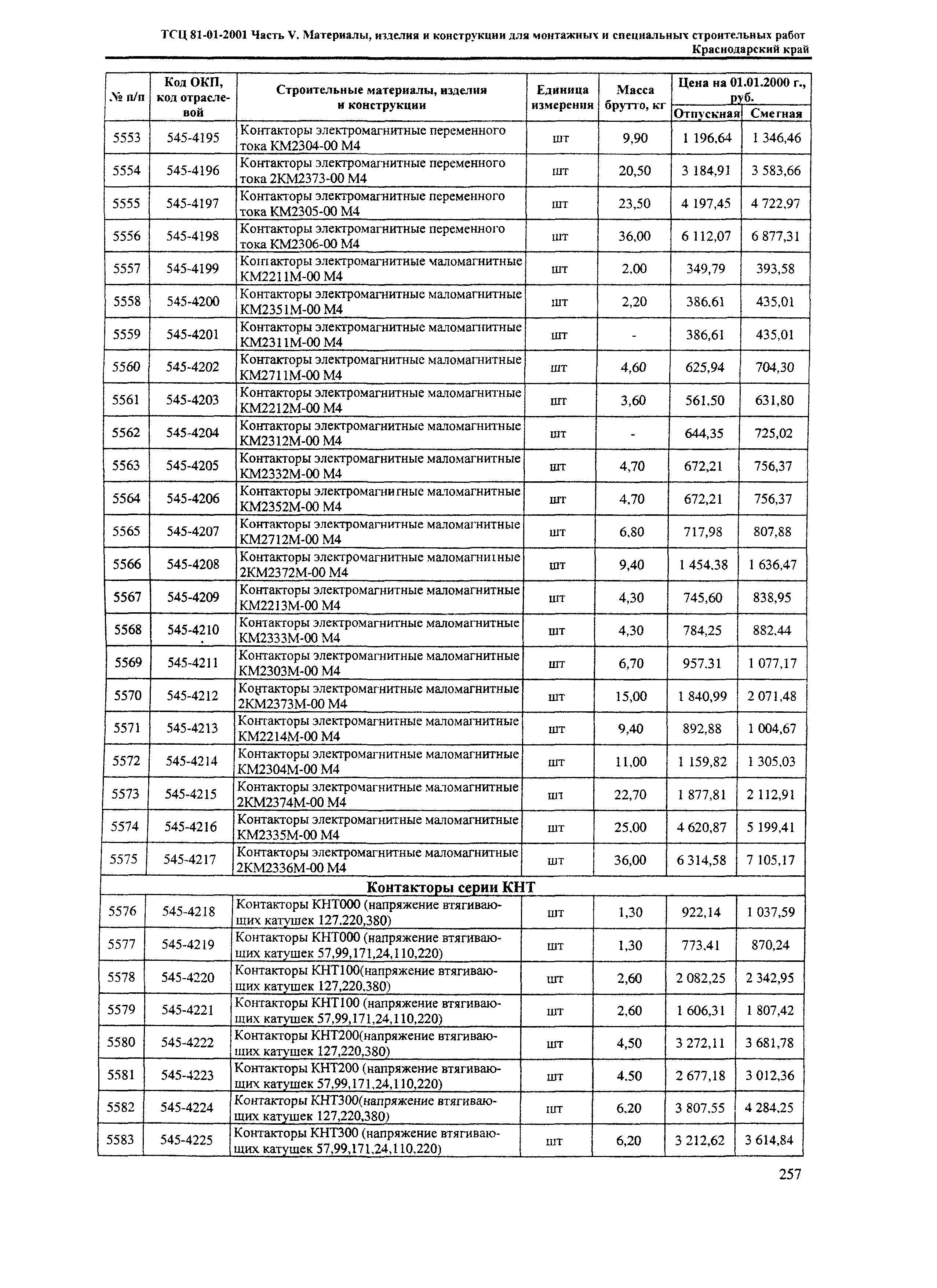
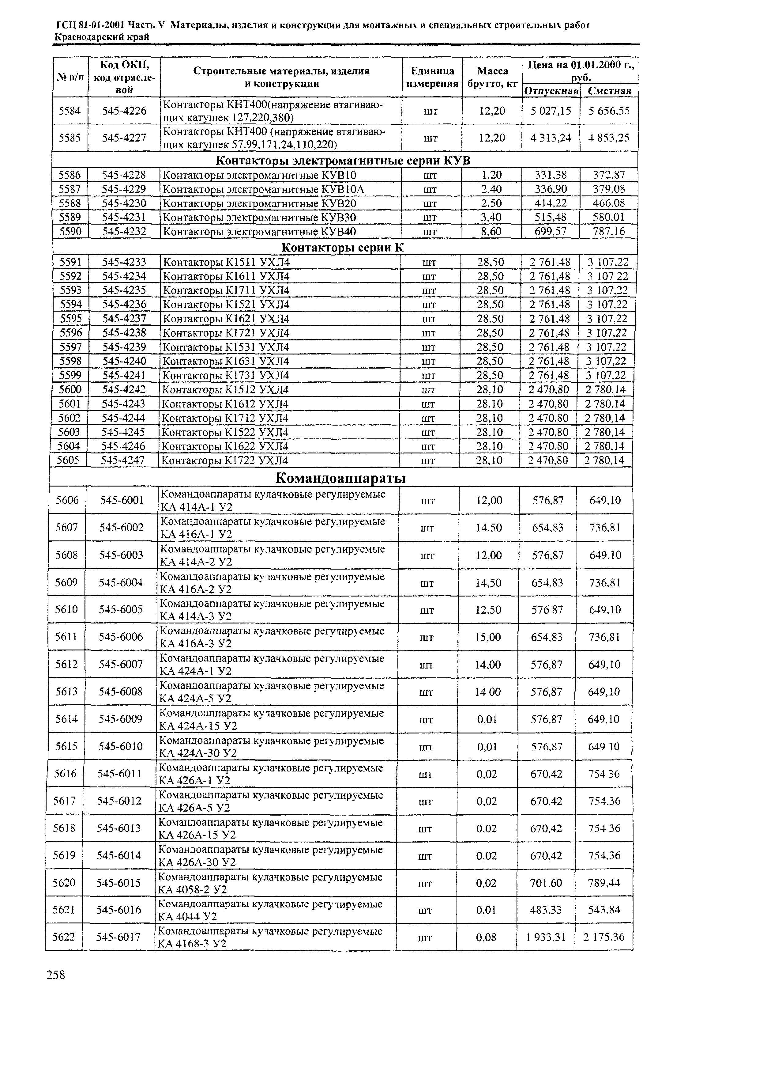
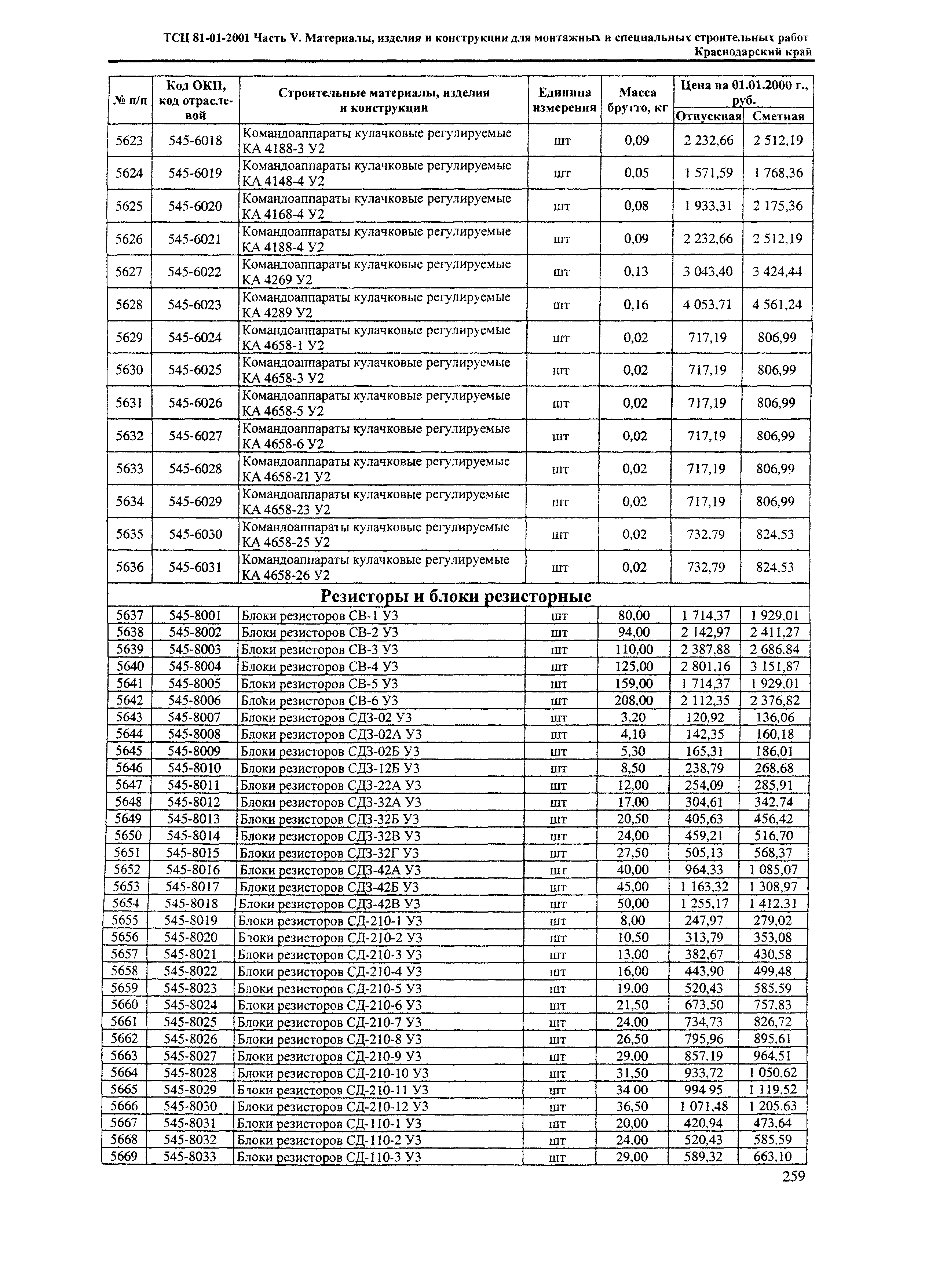
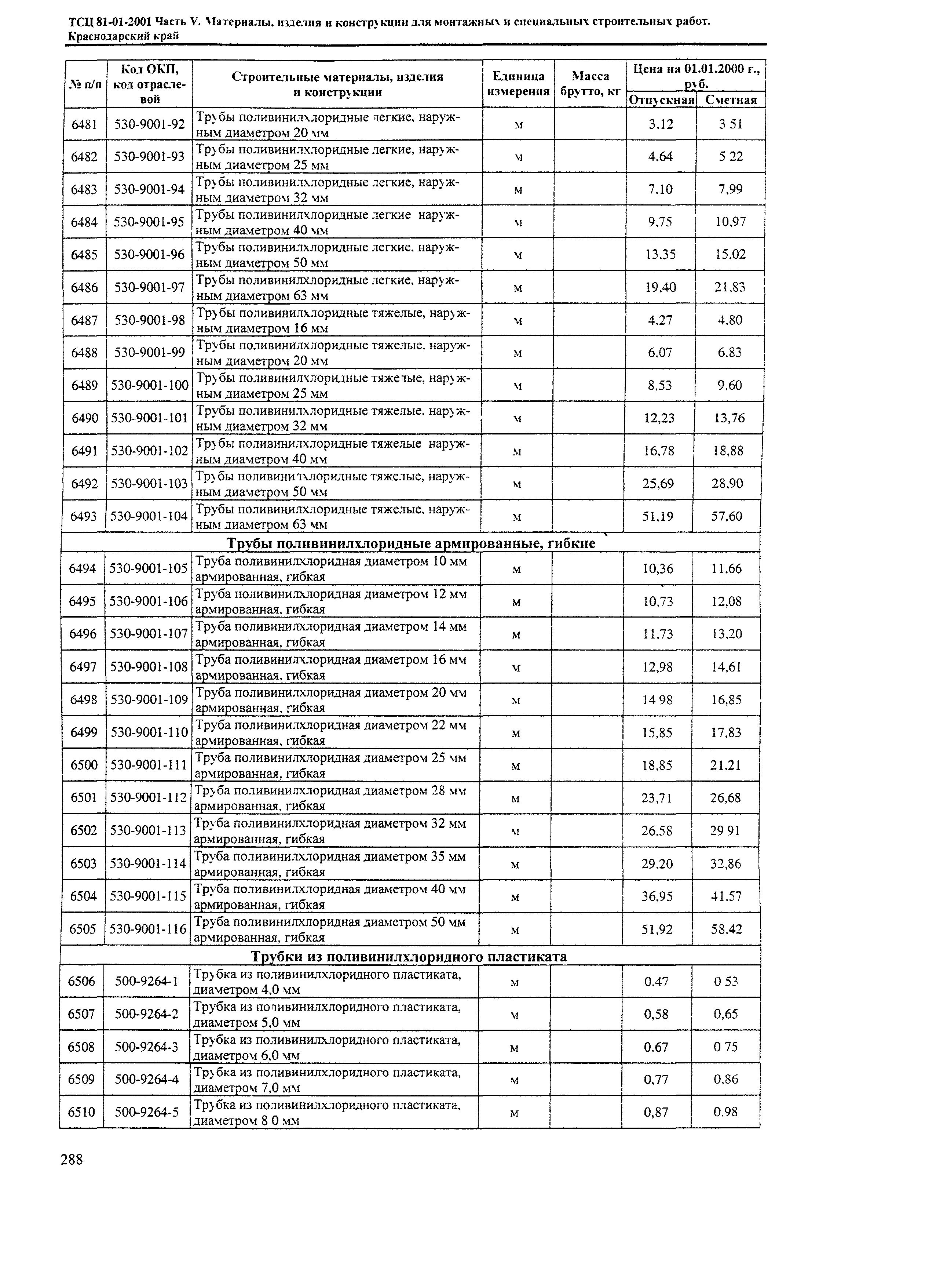
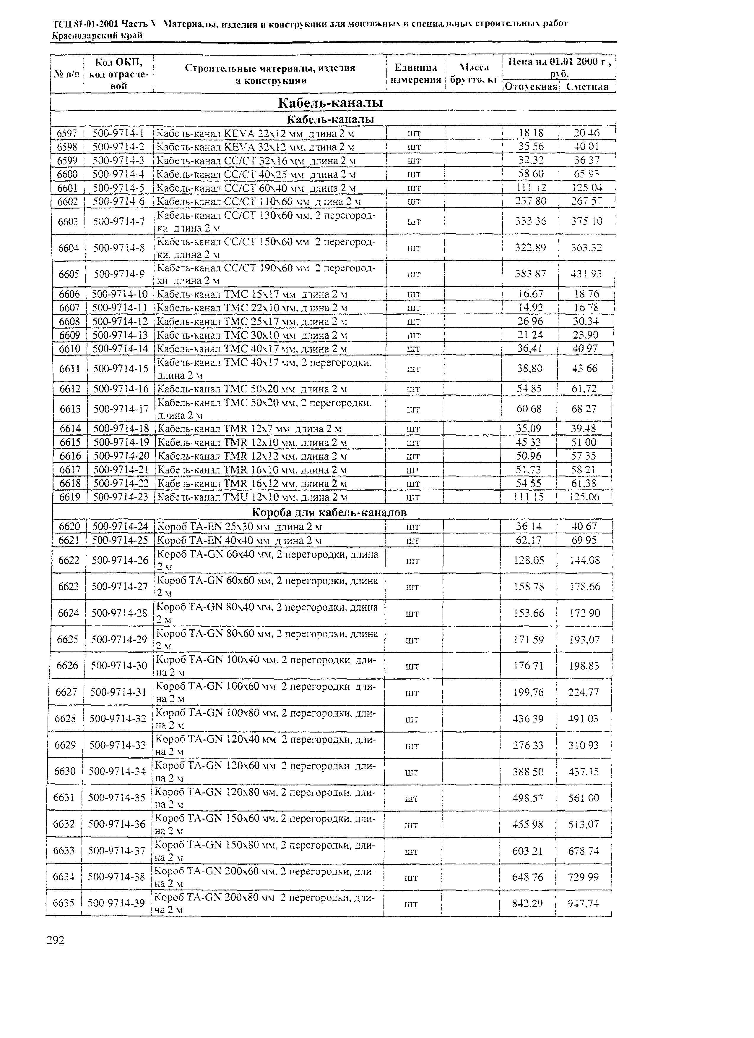
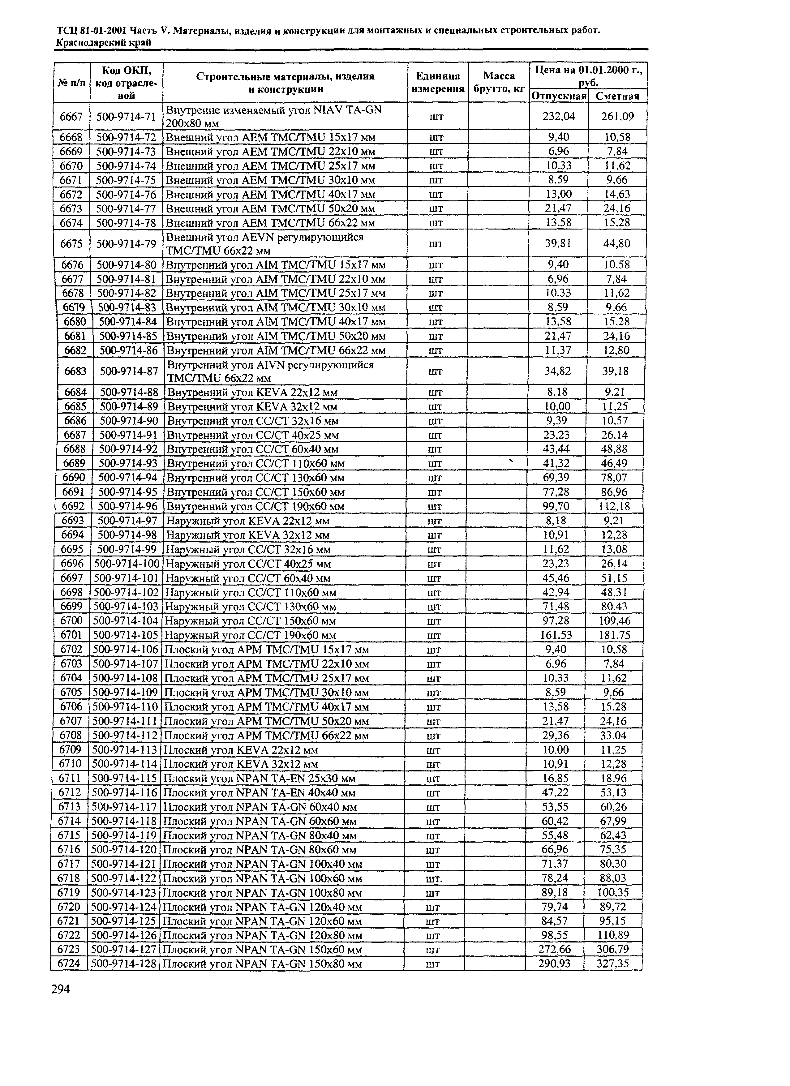
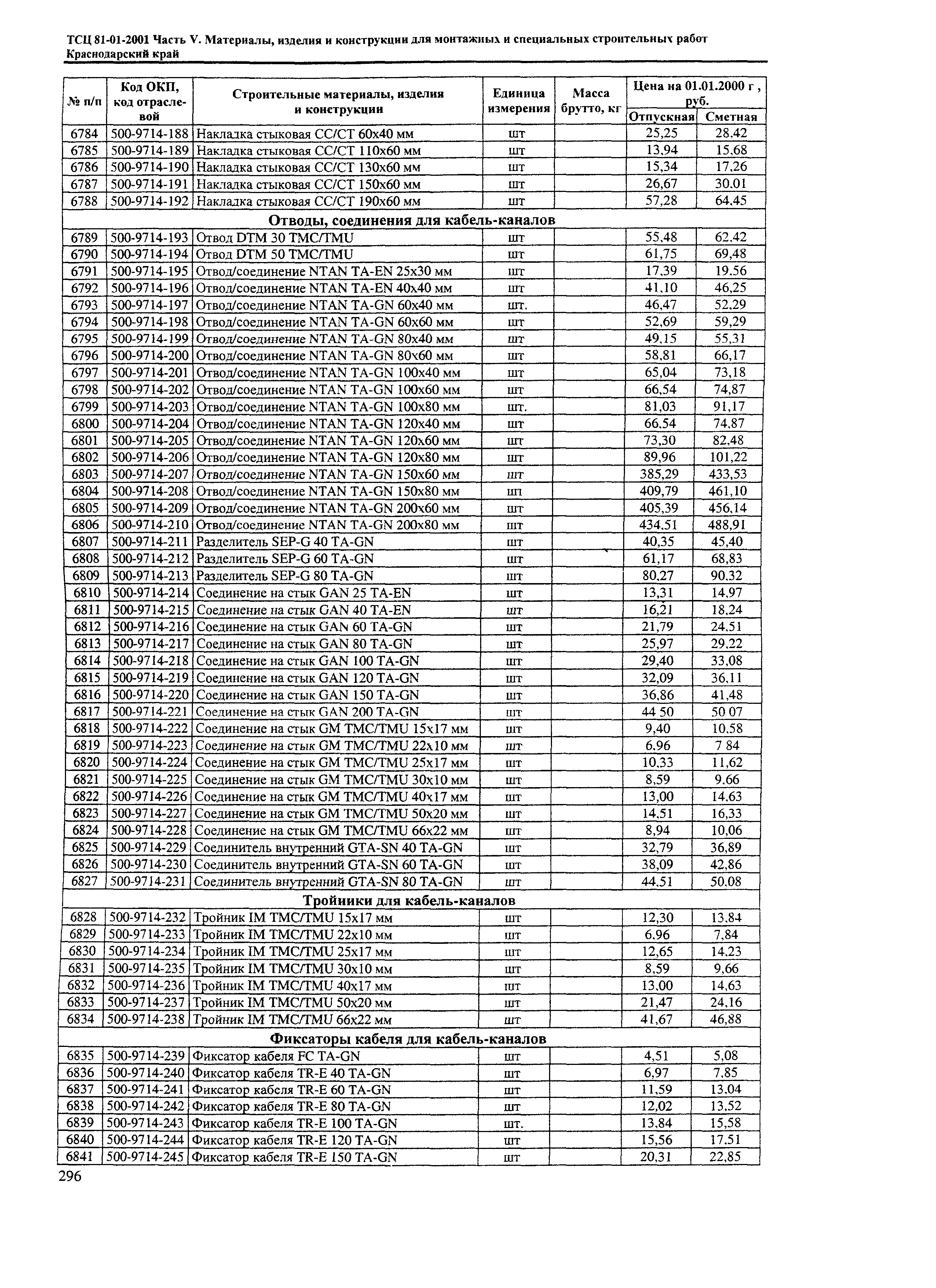
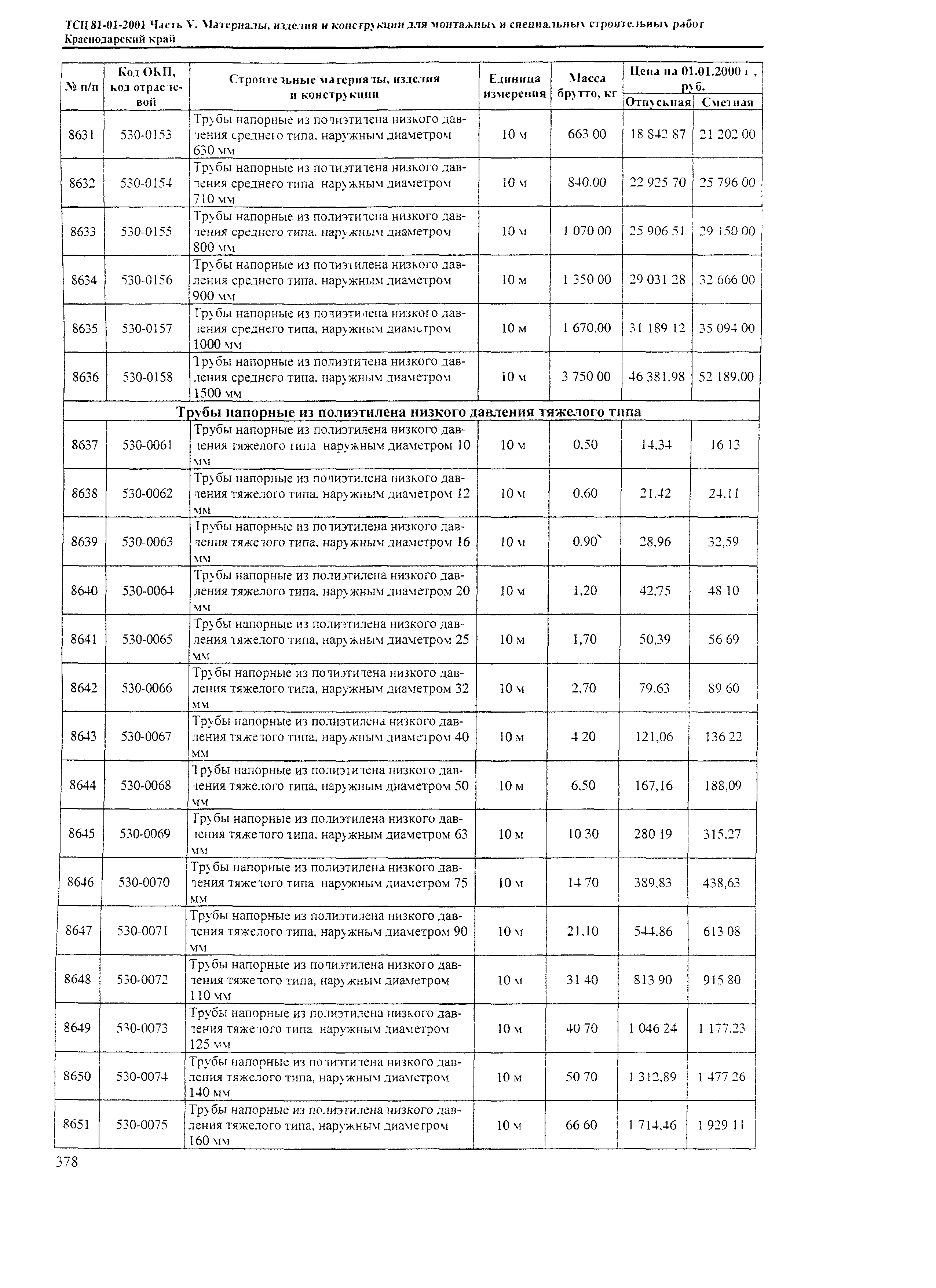
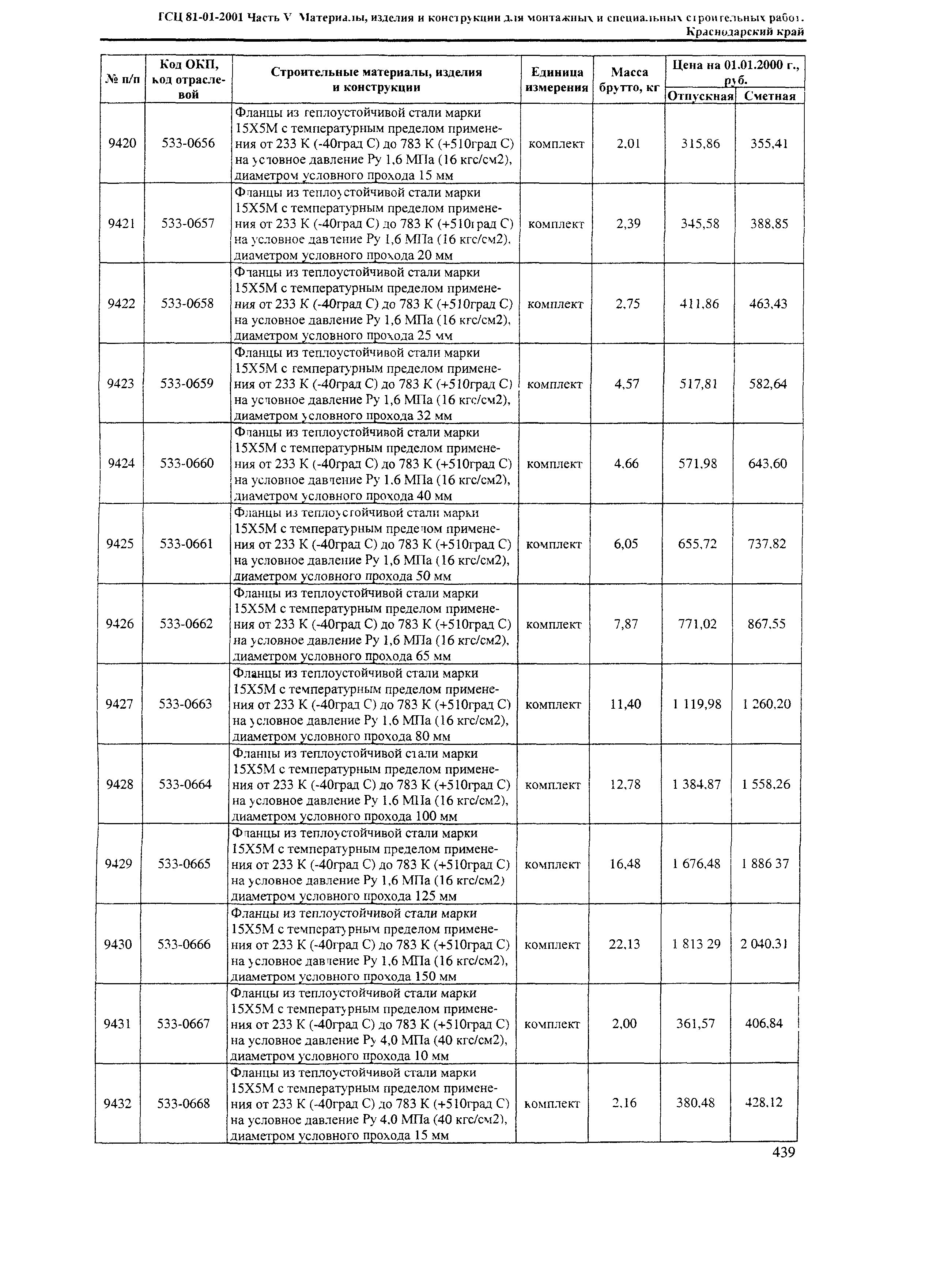
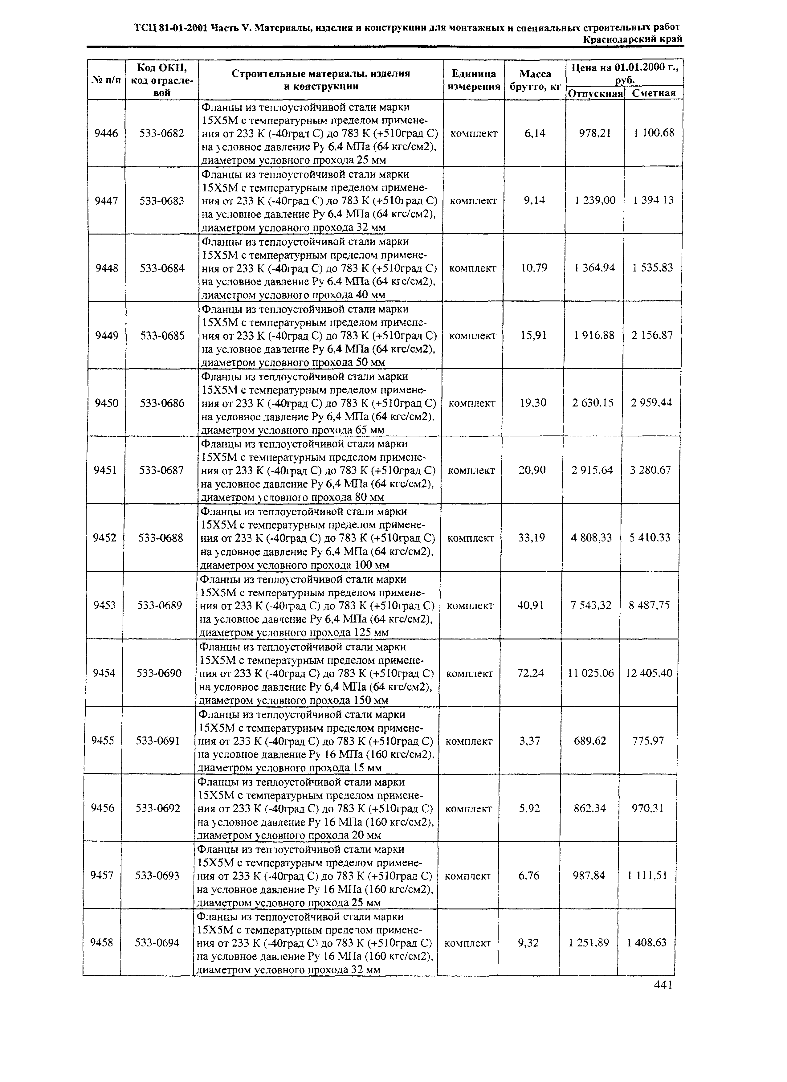
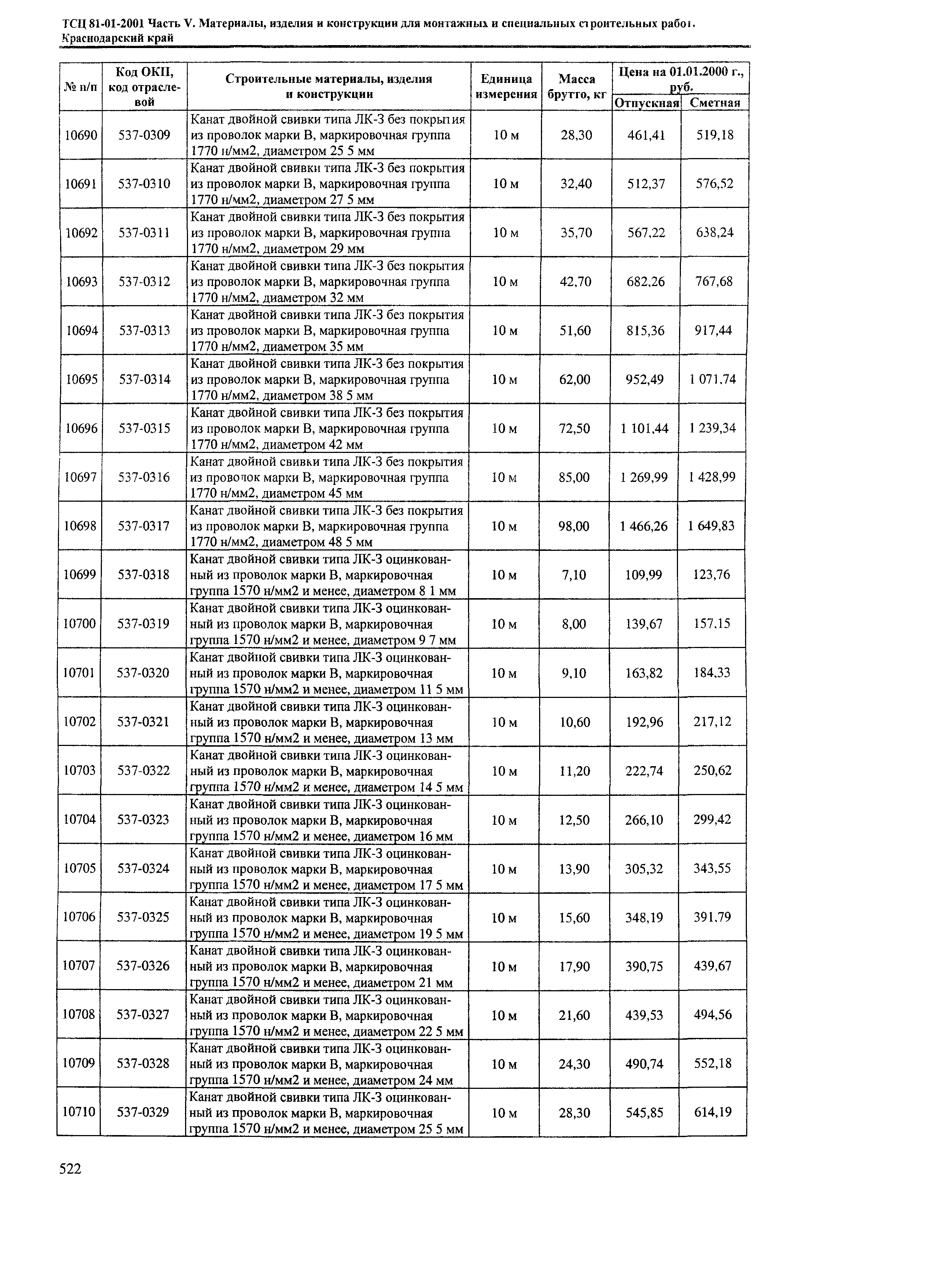
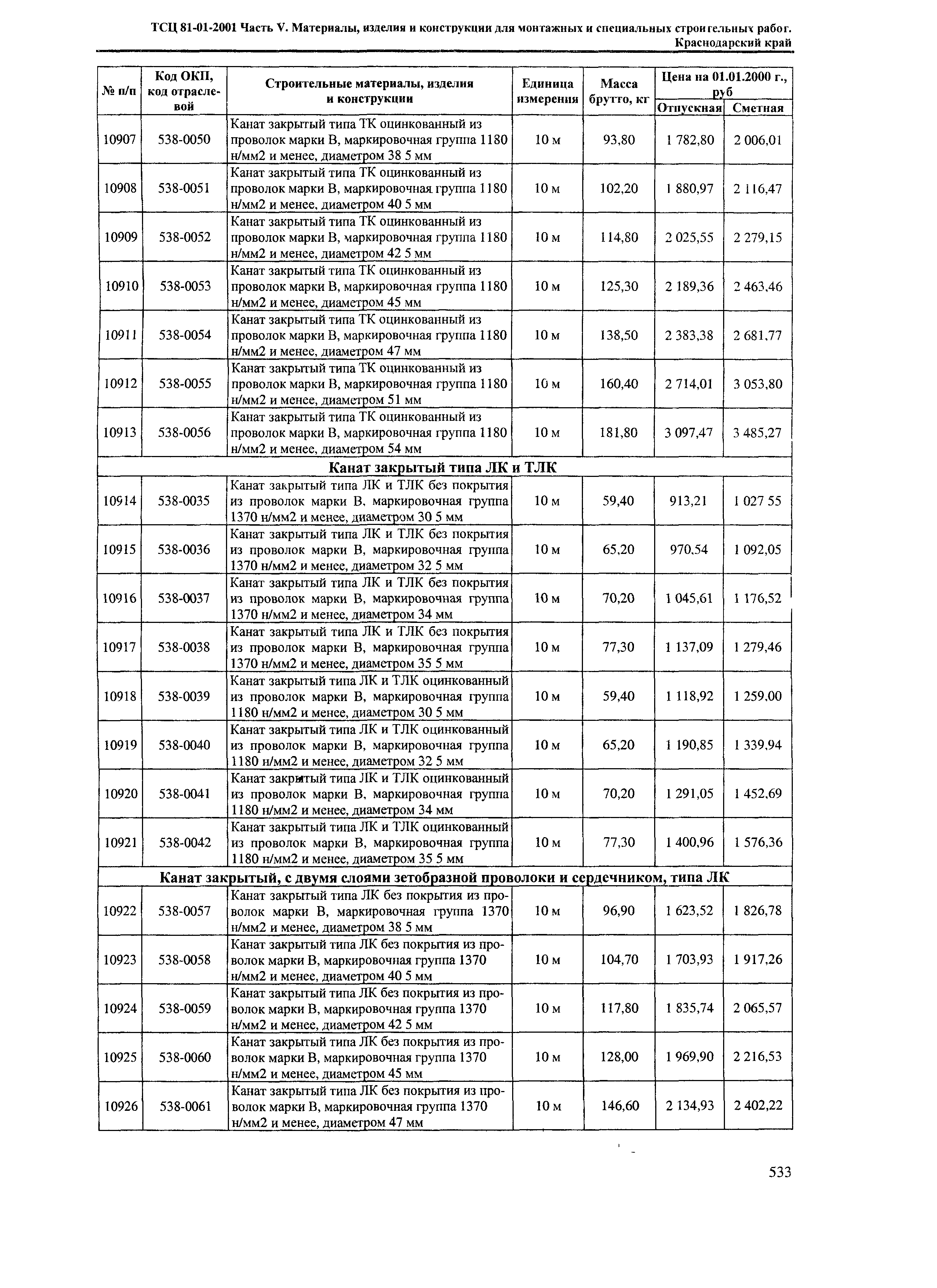
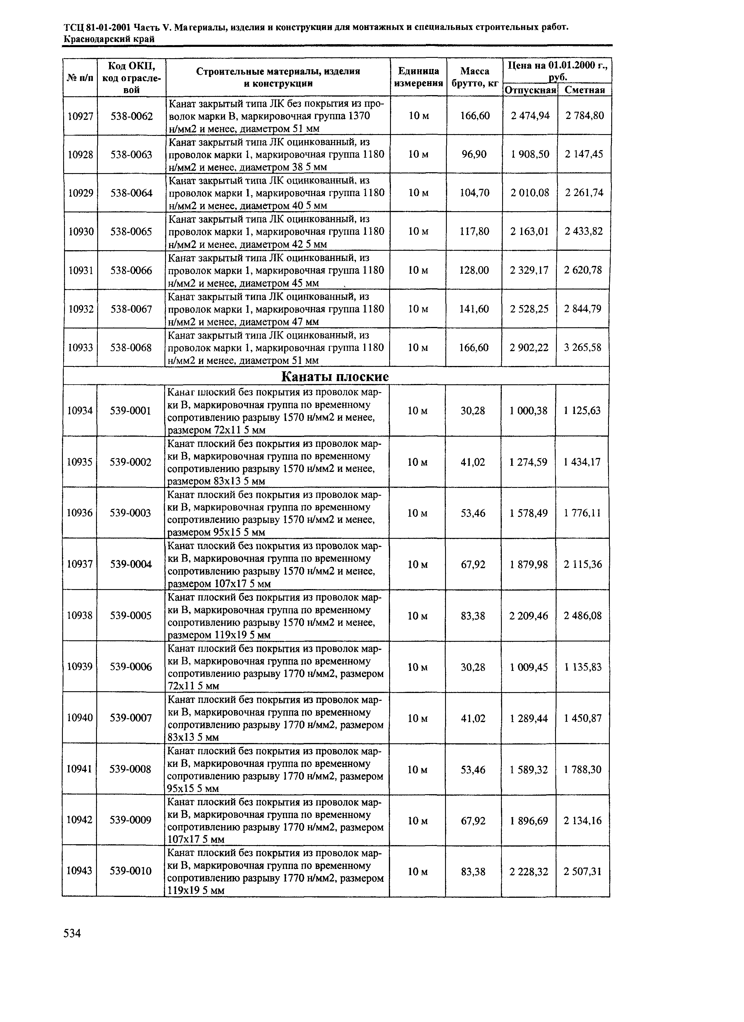
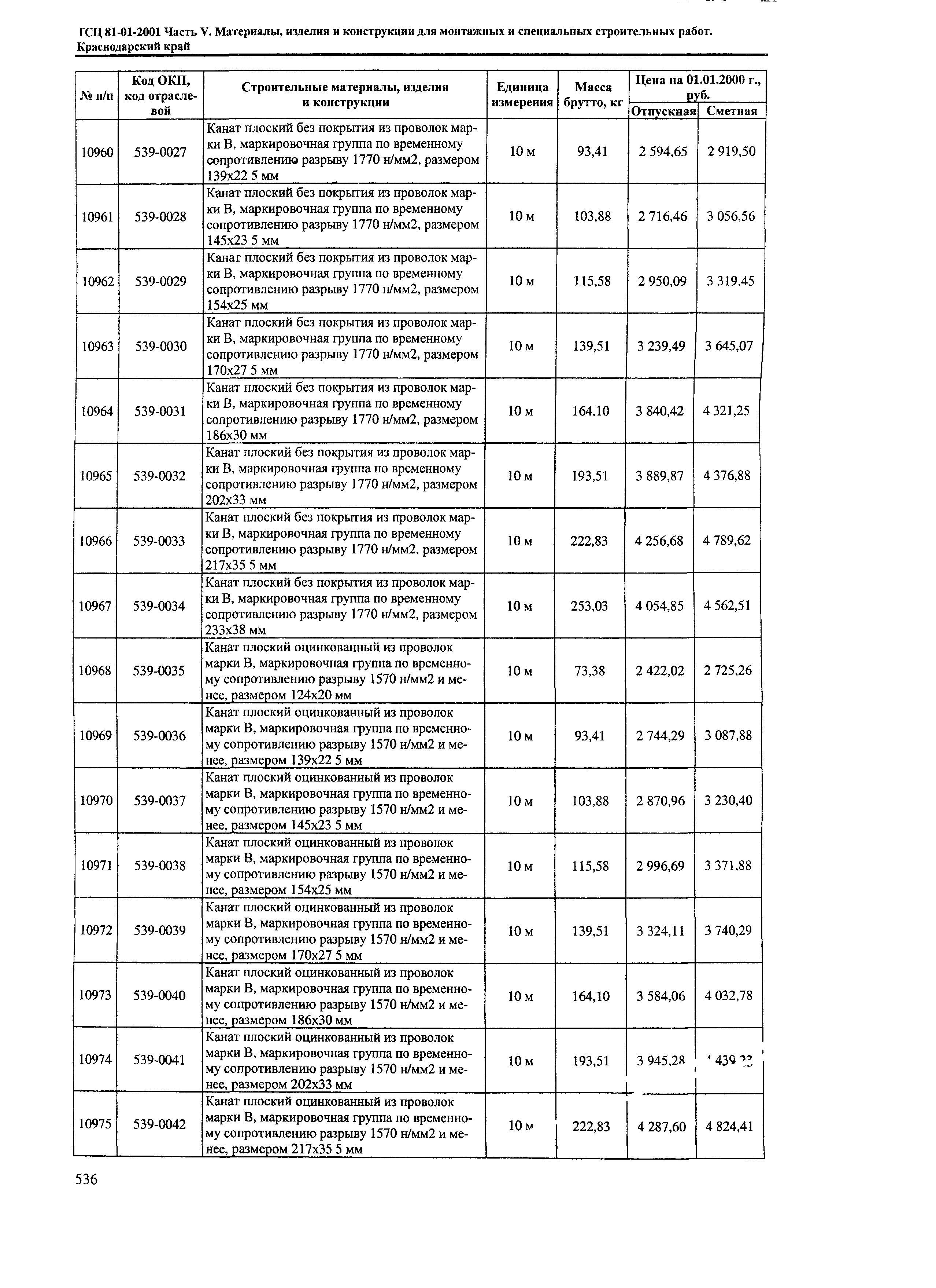
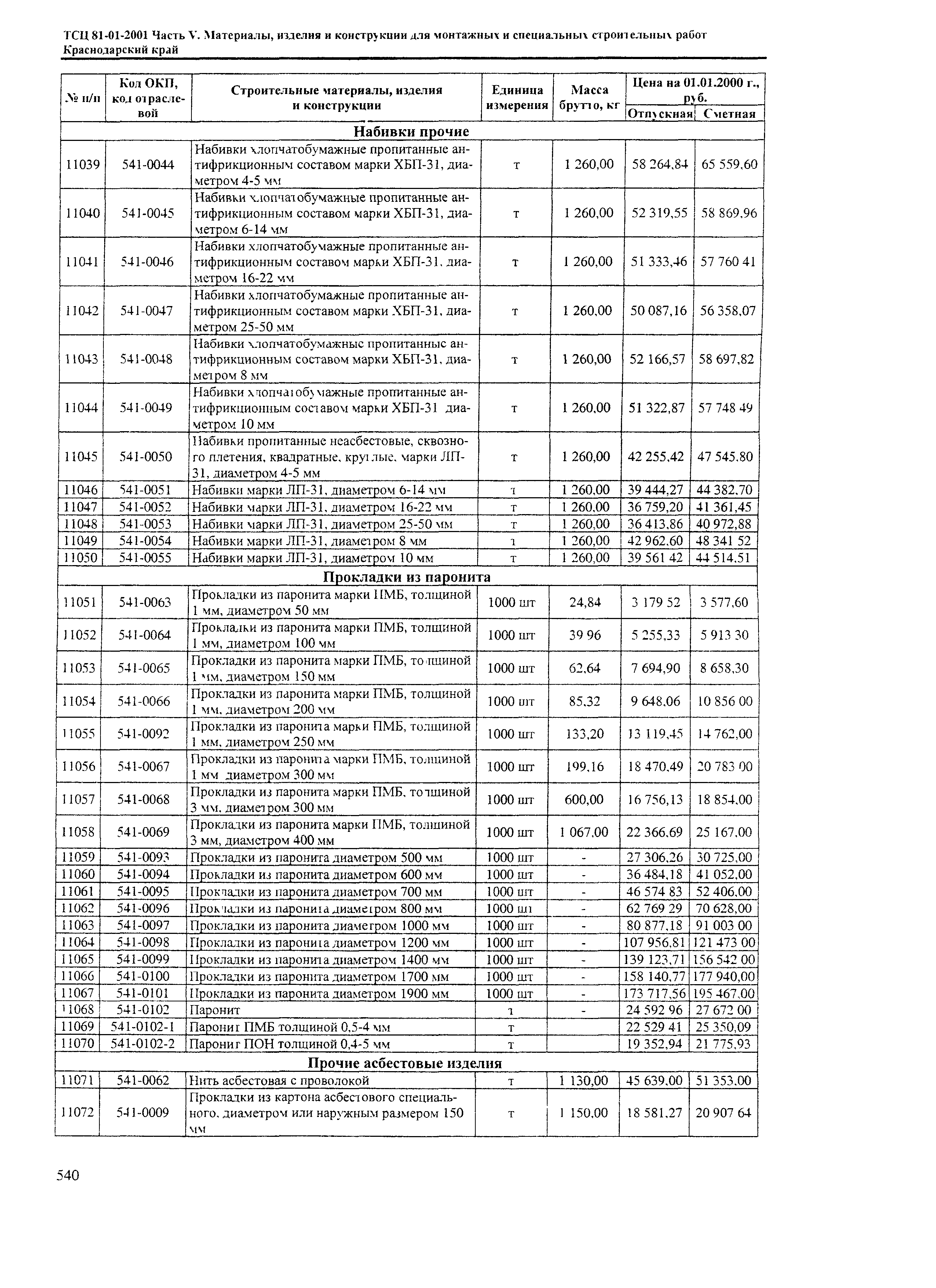
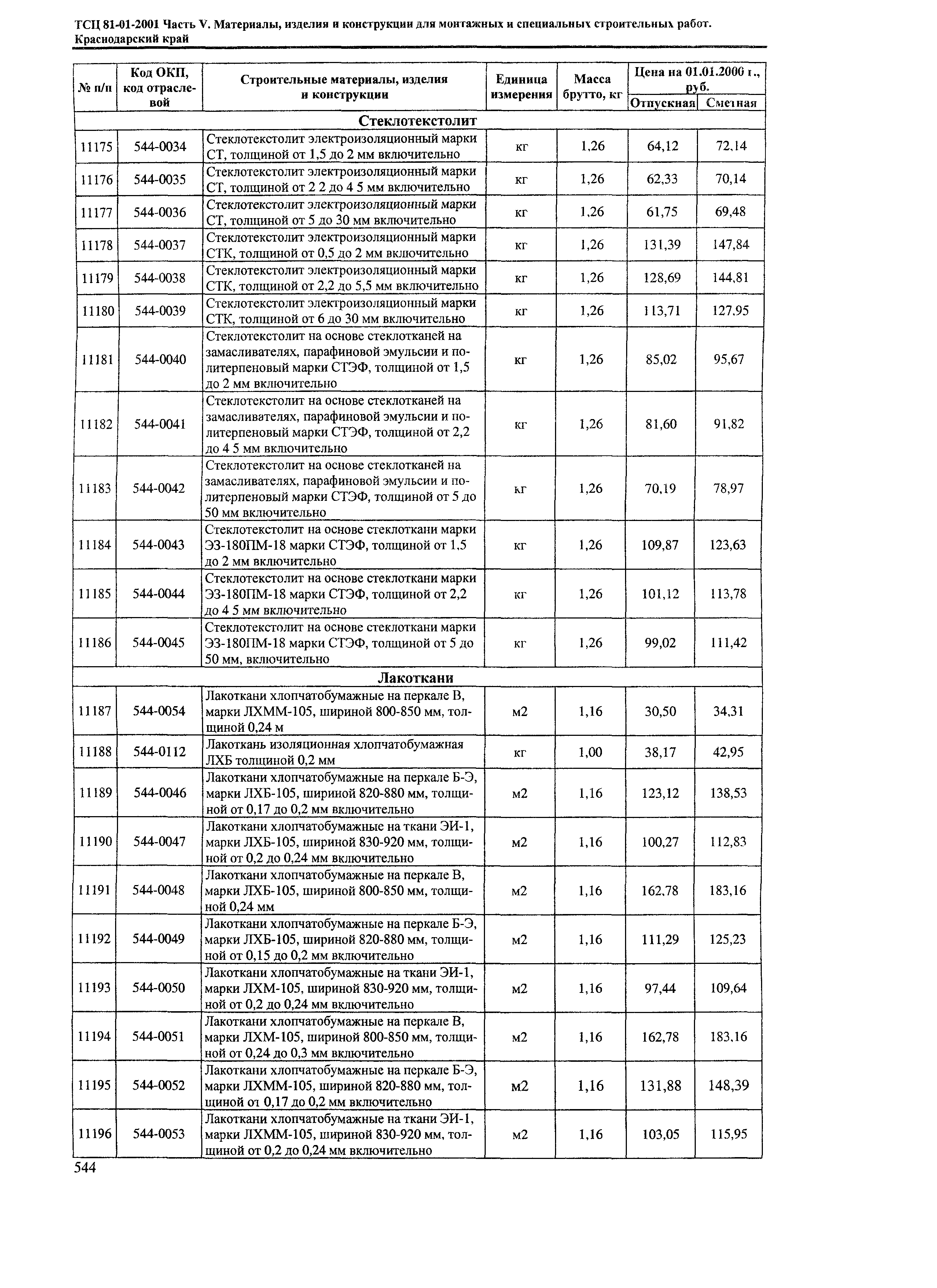
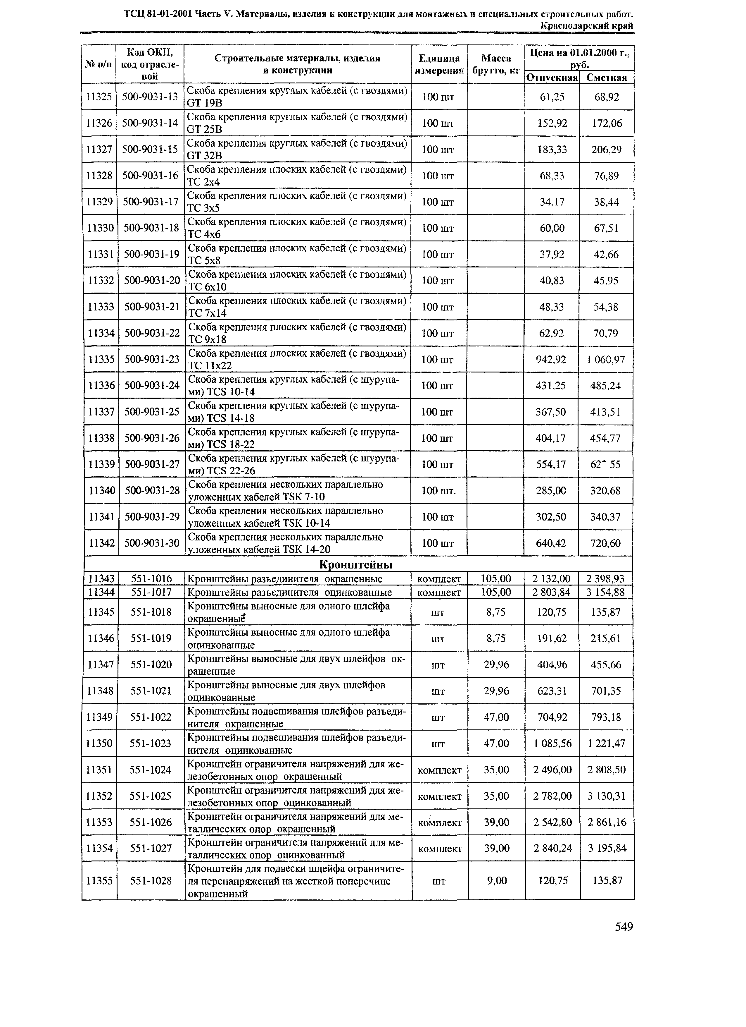
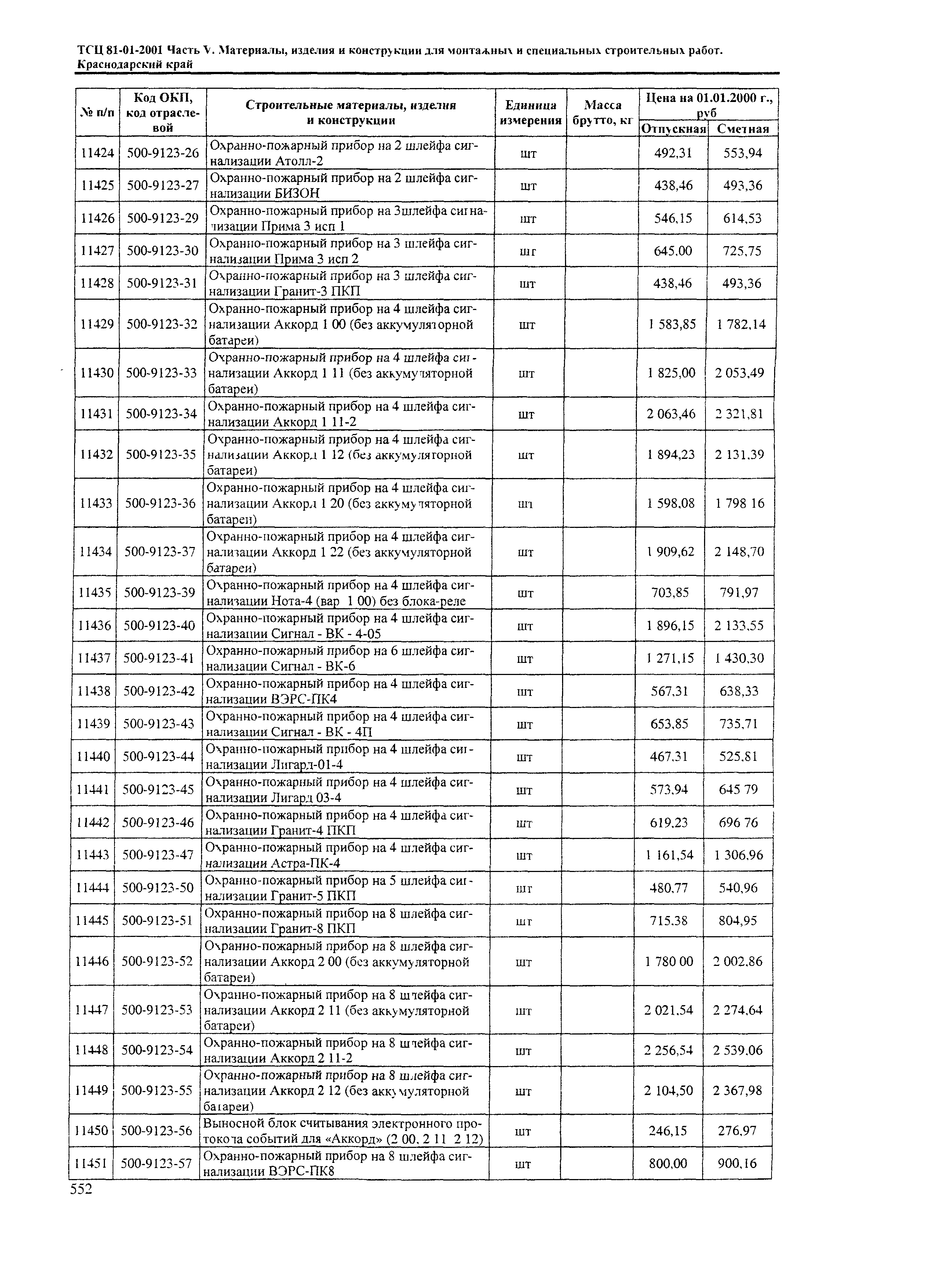
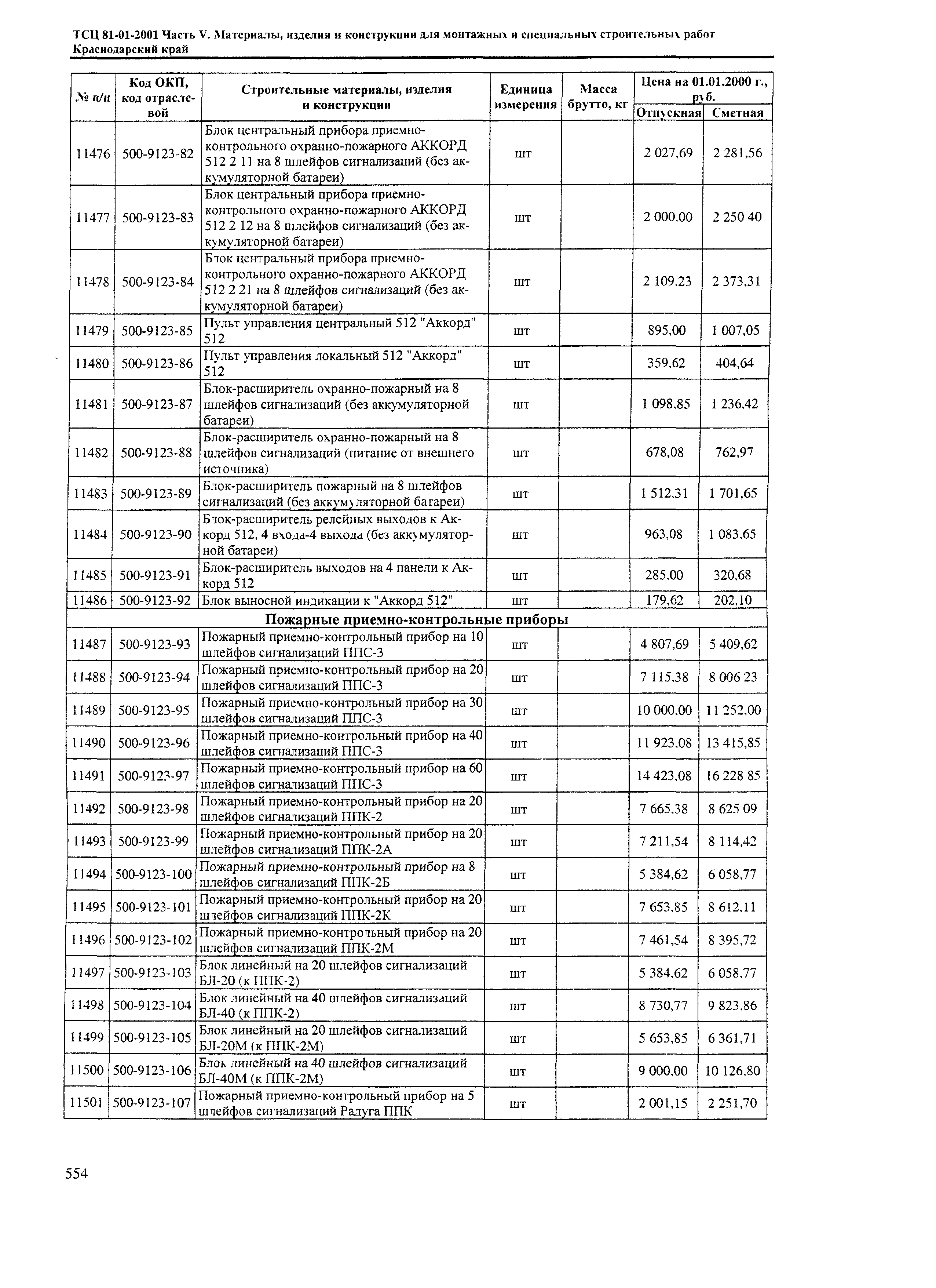
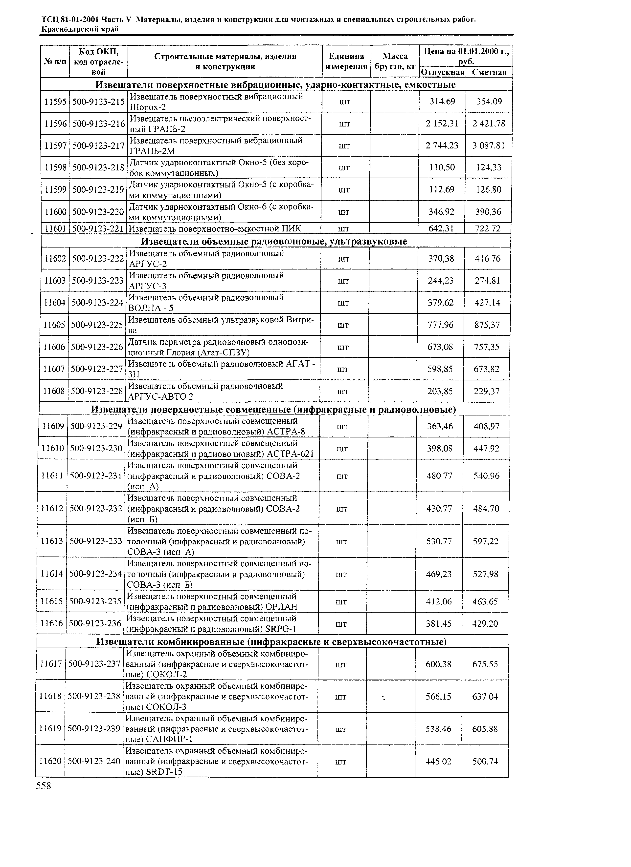
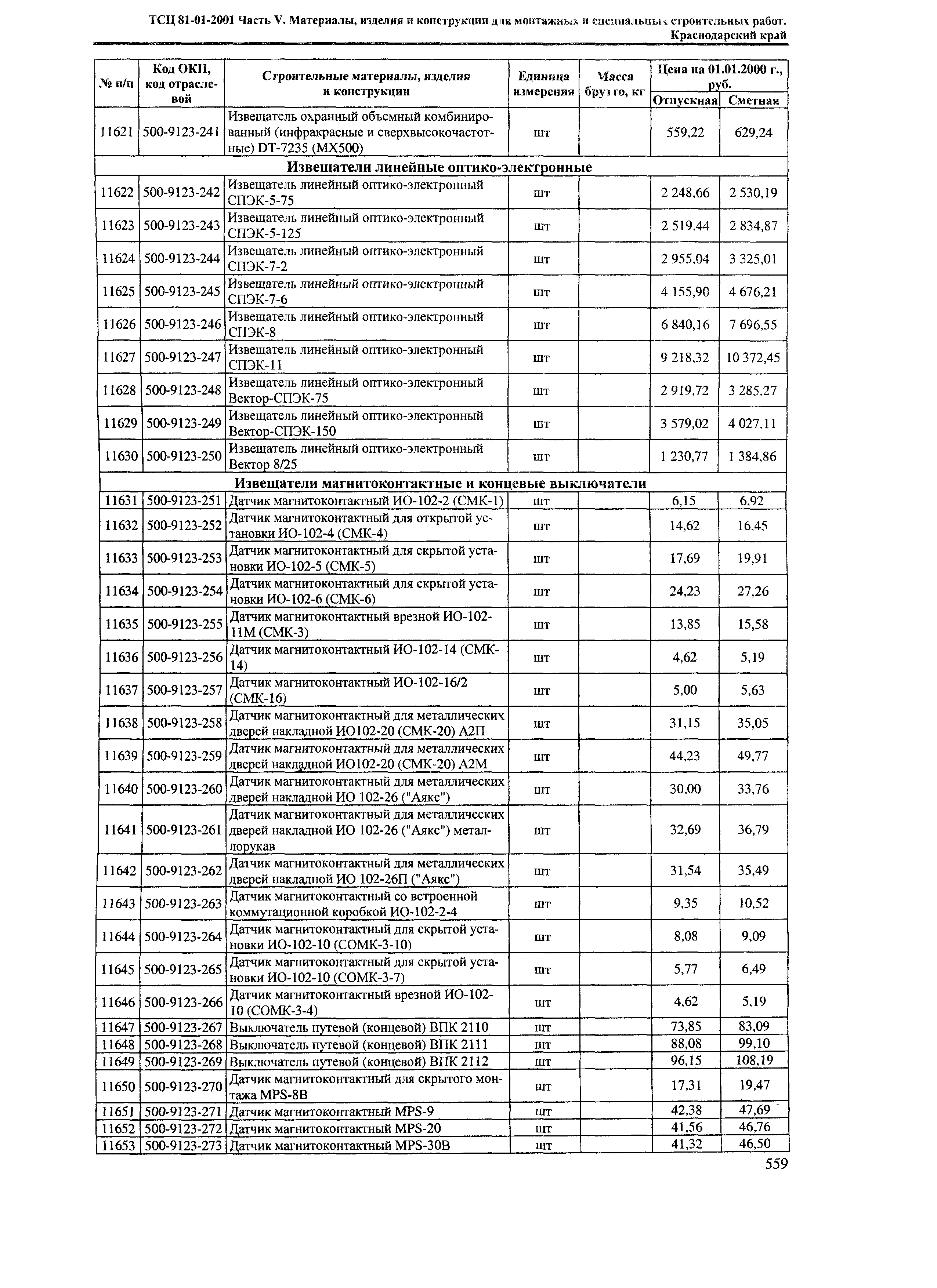
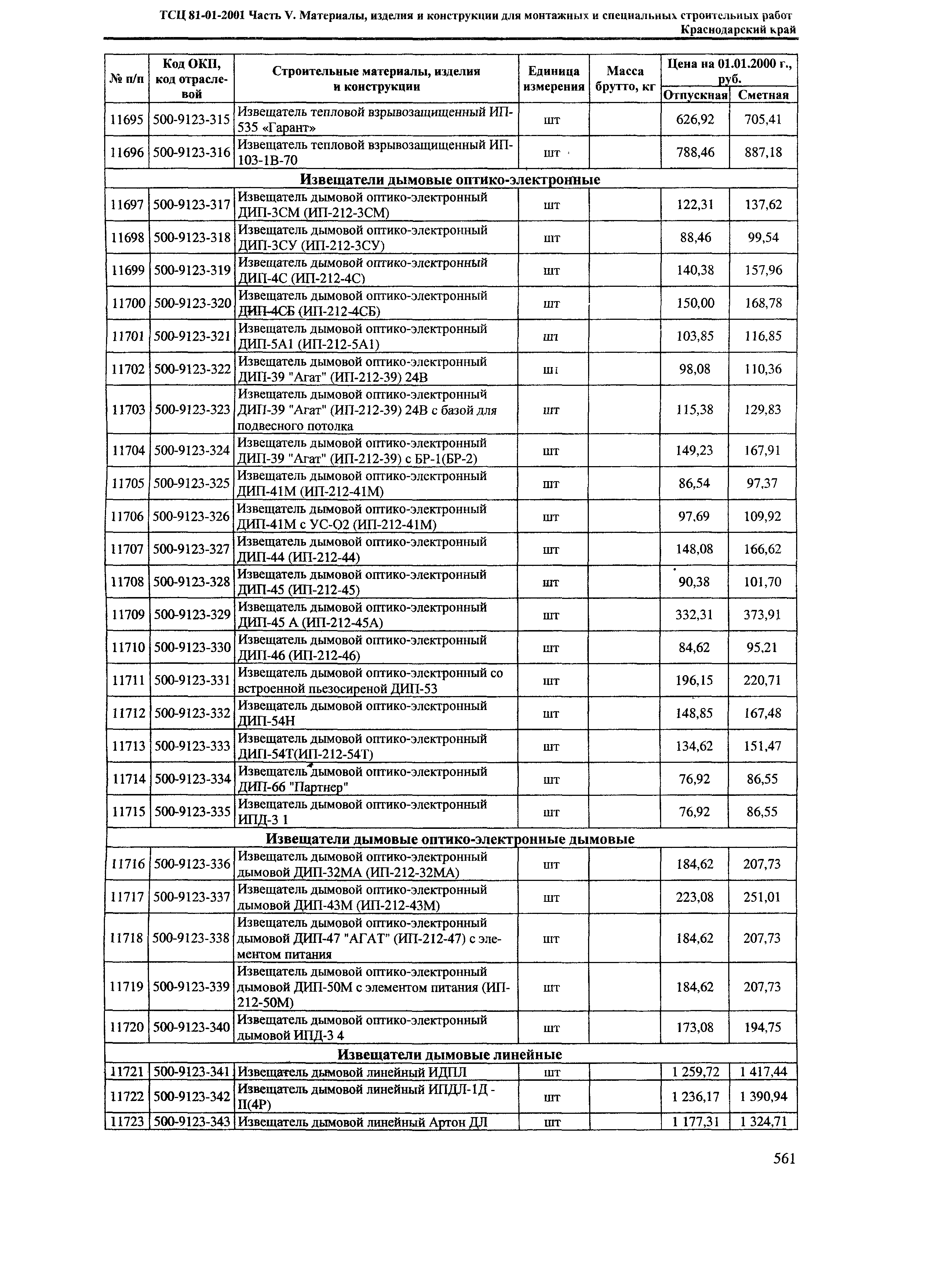
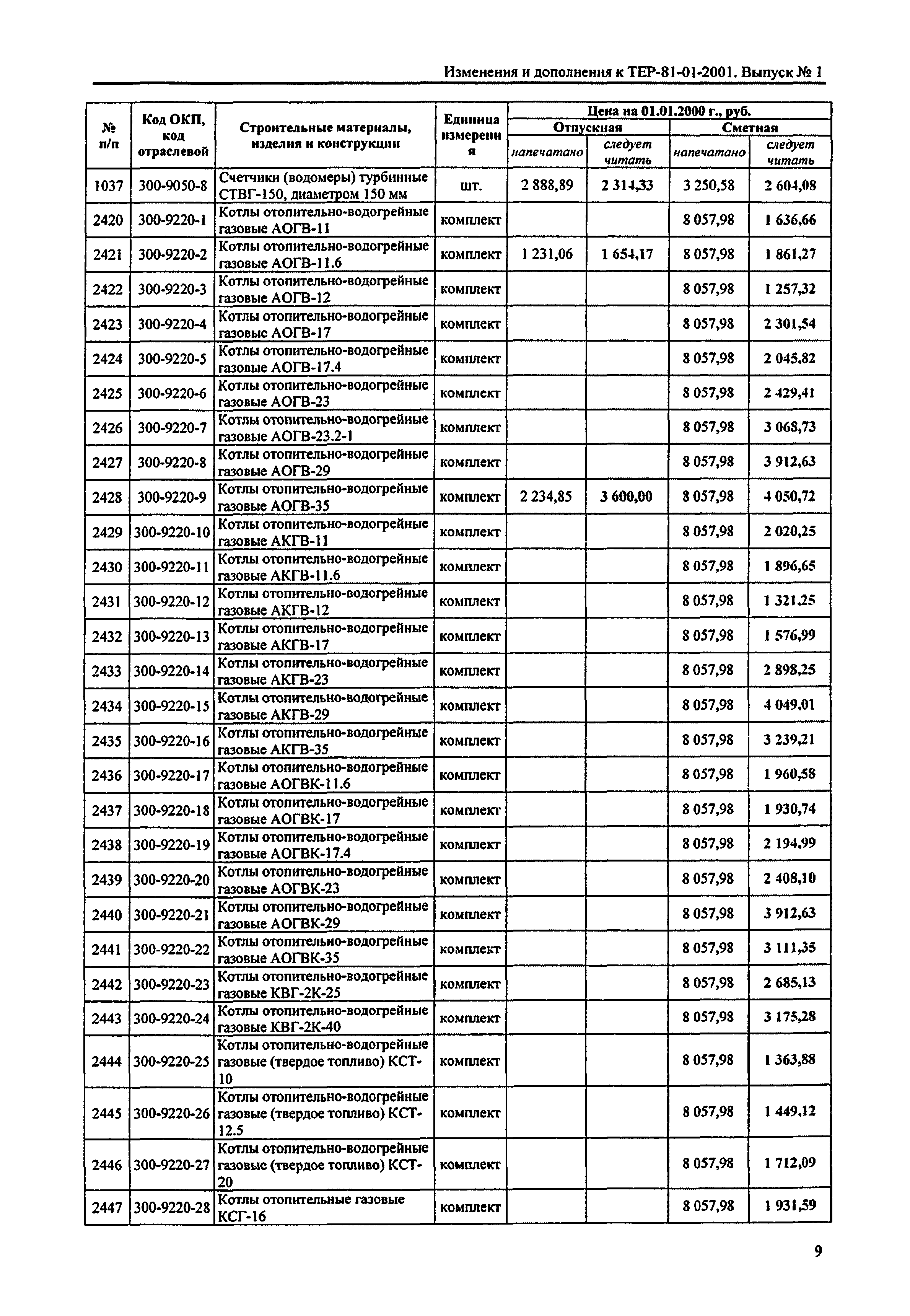
| Оглавление: | Общие положения Техническая часть Раздел 5.01. Кабели Кабели силовые Кабели силовые марки АСБГУ, СБГУ Кабели силовые марки АСБУ, СБУ Кабели силовые марки АСБлУ, СБлУ Кабели силовые марки СБ2лГУ Кабели силовые марки АСБ2лУ, СБ2лУ Кабели силовые марки АСБнУ, СБнУ Кабели силовые марки АСБлнУ, СБлнУ Кабели силовые марки ААГУ Кабели силовые марки ААБл Кабели силовые марки ААБлГУ Кабели силовые марки ААБлУ Кабели силовые марки ААБ2лУ Кабели силовые марки АСБ Кабели силовые марки АСБл Кабели силовые марки АСБГ Кабели силовые марки ААШвУ Кабели силовые марки ААШв Кабали силовые марки АВВГ, ВВГ Кабели силовые марки АВВГз, ВВГз Кабели силовые марки NYM Кабели силовые марки ВВГнг Кабели силовые марки АВВГ-П, ВВГ-П Кабели силовые марки АВБбШв, ВБбШв Кабели силовые марки ВКбШв Кабели силовые марки АПВГ Кабели силовые марки ВРГ Кабели силовые марки КГЭШ Кабели силовые марки КОГВЭШ Кабели силовые марки КГ Кабели силовые марки КГН Кабели силовые марки КПГ Кабели силовые марки КПГС Кабели силовые марки КПГСН Кабели силовые марки КПГУ Кабели силовые марки КГЭ Кабели силовые марки ЦААБЛ Кабели силовые марки ЦАСБГ Кабели контрольные Кабели контрольные марки АКВБбШв, КВБбШв Кабели контрольные марки АКВВГэ, КВВГэ Кабели контрольные марки КВВБ Кабели контрольные марки КВВБГ Кабели контрольные марки КВВБбГ Кабели контрольные марки КВВБН Кабели контрольный марки КПсВГ Кабели контрольные марки КПсВБГ Кабели контрольные марки КПсВБ Кабели контрольные марки КПсВБН Кабели контрольные марки АКВВГ, КВВГ Кабели контрольные марки КВВГ-П Кабели контрольные марки АКВВБ Кабели контрольные марки АКВВБГ Кабели контрольные марки АКПсВГ Кабели контрольные марки АКПсВБ Кабели контрольные марки АКПсВБГ Кабели связи Кабели связи марки КСПП Кабели связи марки КСППБ Кабели связи марки КСПЗП Кабели связи марки КСПЗПБ Кабели коаксиальные марки ВКПАП Кабели коаксиальные марки РК Кабели связи марки МКСАШГ Кабели связи марки МКСАБп Кабели связи марки ЗКП Кабели связи марки ЗКПБ Кабели связи марки ТГ Кабели связи марки ТБГ Кабели связи марки ТБ Кабели связи марки ТППэп Кабели связи марки ТППэпБГ Кабели связи марки ТППэпБШВ Кабели связи марки ТППэпБбШп Кабели связи марки ТППэпБ Кабели связи марки ТППэпЗ Кабели связи марки ТПЛэпЗБбШП Кабели связи марки ТПВ Кабели связи марки ТЗГ Кабели связи марки ТЗБл Кабели связи марки ТЗПАБп Кабели связи марки ТЗПАШп Кабели связи марки ТЗШп Кабели связи марки ТЗАШп Кабели связи марки ТРШПВ Кабели связи марки ТСВ Кабели связи марки ТСВНГ Кабели коаксиальные магистральные Кабели коаксиальные марки КМГ-4 Кабели прочие Кабели нагревательные марки ТКХР Раздел 5.02. Провода, шнуры, шины, проволока и кабельные муфты Провода Провода монтажные марки МГШВЭ Провода монтажные марки МГШВ Провода марки МЭШДЛ Провода монтажные марки НВ Провода монтажные марки НВЭ Провода телефонные распределительные марки ТРП Провода телефонные марки ТРВ Провода марки ПРППМ Провода кроссовые станционные марки ПКСВ Провода марки ПРПВМ Провода марки ПТВЖ Провода марки ПРГН Провода марки ПРТО Провода марки ПМВГ Провода марки АПРН Провода марки М Провода марки А Провода марки АС Провода марки МГ Провода марки РПШ Провода марки РПШэ Провода марки АПВ, ПВ Провода марки АППВ, ППВ Провода марки АПУНП, ПУНП Провода марки ВПП Провода марки ПУГНП Провода марки НВ Провода марки НВМ Провода марки ПВС Провода марки ПВКВ Провода марки РКГМ Провода марки ПСУ Провода марки ПРКА Провода марки ПРН Провода марки ПТПЖ Провода марки МКС, МКГС Провода самонесущие изолированные ("Торсада") Шнуры Шнуры марки ШРО Шнуры марки ШР Шнуры марки ШВП Шнуры марки ШВВП Шнуры марки ШВЛ Шнуры марки ШВВ Проволока марки БСМ Шины Муфты кабельные Муфты кабельные свинцовые для медножильных кабелей связи, марки МССО Муфты кабельные свинцовые соединительные двухконусные для кабелей связи, марки МССД Муфты кабельные свинцовые разветвительные на два направления для кабелей связи, марки 2МСР Муфты кабельные свинцовые разветвительные на три направления для кабелей связи, марки 3МСР Муфты кабельные свинцовые разветвительные на четыре направления для кабелей связи, марки 4МСР Муфты кабельные свинцовые разветвительные на пять направлений для кабелей связи, марки 5МСР Муфты кабельные свинцовые разветвительные на шесть направлений для кабелей связи, марки 6МСР Муфты кабельные свинцовые разветвительные станционные с оголовниками и патрубками Муфты кабельные свинцовые соединительные для кабелей связи, тип "Труба" Муфты кабельные свинцовые соединительные для силовых кабелей, тип "Труба" (СС) Муфты кабельные свинцовые соединительные разрезные марки МССР Муфты кабельные свинцовые для восстановления алюминиевых оболочек методом "склеивания" Муфты кабельные марки ИКМ Муфты кабельные эпоксидные соединительные марки Сэф Муфты кабельные газонепроницаемые соединительные типа ГМС Муфты кабельные прямые полиэтиленовые марки МПП Муфты кабельные разветвительные полиэтиленовые марки МРП Муфты кабельные разветвительные полиэтиленовые станционные Муфты кабельные полиэтиленовые в комплектах с термоусаживаемыми трубками, марки ТУТ Муфты кабельные полиэтиленовые в комплектах с термоусаживаемыми манжетами, марки ТУМ Муфты кабельные полиэтиленовые с комплектами для монтажа заполненных кабелей Муфты кабельные полиэтиленовые тупиковые типа МТ и МТО Муфты кабельные полиэтиленовые газонепроницаемые типа МГНМс Муфты кабельные полиэтиленовые защитные марки МППз Муфты кабельные оптические городские типа МОГ-М Муфты кабельные тупиковые оптические универсальные типа МТОК Комплекты муфт для кабелей с заполнением, марки КМЗ Муфты кабельные марки МЗС Муфты термоусаживаемые Муфты прочие Раздел 5.03. Арматура и приборы осветительные Светильники Светильники для освещения производственных бытовых и вспомогательных помещений Светильники для освещения для административных помещений и офисов Светильники для подвесных потолков Светильники указательные, сигнальные Светильники для освещения спортивных помещений Светильники- облучатели бактерицидные настенные Светильники для освещения парков, скверов, улиц Прожекторы Лампы Лампа накаливания общего назначения Лампы накаливания малогабаритные для световой сигнализации Лампы накаливания миниатюрные Лампы накаливания газопольные Лампы люминесцентные Лампы галогенные Лампы капсульные галогенные Лампы кварцево-галогенные Лампы газоразрядные высокого давления Стартеры Изделия светотехнические Раздел 5.04. Изделия электроустановочные Рубильники Рубильники марки ВР Рубильники марки ВР-П Рубильники марки РПС Рубильники марки ЯБ Рубильники марки ЯБПВУ Рубильники марки ЯР Рубильники марки ЯРП Рубильники марки ЯРПП Рубильники прочие Пускатели Пускатели электромагнитные марки ПМА Пускатели электромагнитные марки ПМЕ Пускатели электромагнитные марки ПМЛ Пускатели электромагнитные марки ПМ-12 Пускатели электромагнитные марки ПММ-Д Пускатели специальные марки ПМЧ Пускатели нажимные марки ПНВ Выключатели, разъединители Выключатели врубные Выключатели с центральной рукояткой Выключатели с маховичным приводом Выключатели и микровыключатели путевые Выключатели автоматические Выключатели неавтоматические Выключатели и переключатели открытые Выключатели и переключатели защитные Выключатели и переключатели постоянного тока Выключатели одноклавишные скрытой установки Выключатели одноклавишные открытой установки Выключатели двухклавишные скрытой установки Выключатели двухклавишные открытой установки Выключатели прочие Микровыключатели Разъединители Переключатели Розетки Розетка одноместная скрытой установки Розетка двухместная скрытой установки Розетка одноместная открытой установки Розетки телефонные Розетки РШ 12 Розетки СМ 01 Розетки прочие Предохранители Вставки плавкие Блоки полупроводниковые Блоки защиты Расцепители Контакторы Контакторы электромагнитные серии МК Контакторы электромагнитные серии КМГ Контакторы электромагнитные серии КПВ Контакторы электромагнитные серии КТП Контакторы электромагнитные серии КТ Контакторы электромагнитные серии КМ Контакторы серии КНТ Контакторы электромагнитные серии КУВ Контакторы серии К Командоаппараты Резисторы и блоки резисторные Реле различного назначения Реле времени Реле тепловое Реле напряжения Реле промежуточные Фотореле Реле указательные Реле тока Реле контроля Кнопки и посты управления кнопочные Счетчики электрические Раздел 5.05. Линейно-кабельные изделия связи Боксы Боксы кабельные телефонные Боксы кабельные междугородные Кабелейтеры Коробки Коробки универсальные для сети проводного вещания Коробки телефонные Коробки прочие Устройства кабельные оконечные Раздел 5.06. Электроконструкции Ящики, шкафы, щиты Ящики Шкафы Вводные распределительные устройства Щиты осветительные этажные Щиты распределительные Камеры сборные одностороннего обслуживания Рейки для установки приборов Коробки монтажные Коробки кабельные Коробки защитные Коробки для установки розеток и выключателей Коробки разветвителъные Коробки ответвительные Коробки прочие Трубы для электропроводки и комплектующие к трубам Трубы гофрированные, гибкие для электропроводки из полиэтилена Трубы гофрированные, гибкие для электропроводки из полипропилена Трубы гофрированные, гибкие для электропроводки из самозатухающего ПВХ Трубы поливинилхлоридные безнапорные для электропроводки Трубы поливинилхлоридные армированные, гибкие Трубки из поливинилхлоридного пластиката Повороты из поливинилхлоридного пластиката Тройники из поливинилхлоридного пластиката Колена из поливинилхлоридного пластиката Заглушки из поливинилхлоридного пластиката Муфты соединительные из поливинилхлоридного пластиката Коробки разветвительные с кабельными вводами Кабельные вводы для труб Кабель-каналы Короба для кабель-каналов Углы для кабель-каналов Заглушки для кабель-каналов Накладки для кабель-каналов Отводы, соединения для кабель-каналов Тройники для кабель-каналов Фиксаторы кабеля для кабель-каналов Прочие детали для кабель-каналов Держатели Прочие электроконструкции Зажимы, сжимы, соединители Гильзы Держатели Изоляторы Наконечники кабельные Раздел 5.07. Изделия сигнализации, централизации и блокировки на железнодорожном транспорте Гарнитура к приводам электрическим стрелочным Джемперы штепсельные Замки Раздел 5.08. Прокатно-тянутые изделия из цветных металлов и цветные металлы Ленты из цветных металлов Ленты алюминиевые Ленты оловянно-фосфористой бронзы Ленты латунные общего назначения Ленты медные общего назначения Проволока из цветных металлов Проволока латунная Проволока из алюминия Листы и плиты из цветных металлов Листы латунные Листы и плиты алюминиевые Листы медные холоднокатаные Листы свинцовые Листы цинковые Прутки из цветных металлов Полосы из цветных металлов Полосы латунные Полосы томпаковые Металлы цветные Алюминий Олово Ртуть Свинец Сплавы цветных металлов Припои оловянно-свинцовые Раздел 5.09. Трубы, арматура и детали трубопроводов Трубы из цветных металлов Трубы холоднодеформированные коррозийно-стойкие Трубы горячедеформированные коррозийно-стойкие Трубы из коррозийно-стойкой стали электросварные Трубы стальные бесшовные высокого давления Трубы стальные, футерованные полиэтиленом Трубы стальные электросварные прямошовные и спирально-шовные Трубы из пластических масс Трубы напорные из полиэтилена низкого давления легкого типа Трубы напорные из полиэтилена низкого давления среднелегкого типа Трубы напорные из полиэтилена низкого давления среднего типа Трубы напорные из полиэтилена низкого давления тяжелого типа Трубы напорные из полиэтилена высокого давления легкого типа Трубы напорные из полиэтилена высокого давления среднелегкого типа Трубы напорные из полиэтилена высокого давления среднего типа Трубы напорные из полиэтилена высокого давления тяжелого типа Трубы фаолитовые Трубы из фторопласта-4 Трубы прочие из пластических масс Трубы стеклянные и фасонные части к ним Трубы стеклянные Тройники к стеклянным трубам Крестовины к стеклянным трубам Переходы к стеклянным трубам Отступы к стеклянным трубам Отводы к стеклянным трубам Фланцы Фланцы стальные плоские приварные на Ру от 0,1 до 2,5 МПа (от 1 до 25 кгс/см?) из стали марок ВСтЗсп2, ВСтЗспЗ Комплекты ответных фланцев к арматуре трубопроводной стальных плоских приварных Фланцы из углеродистой стали ВСтЗспЗ с температурным пределом применения от 243 К (-30°С) до 573 К (+300°С) Комплекты ответных фланцев к арматуре трубопроводной стальных плоских приварных Фланцы из коррозионно-стойкой стали марки 12Х18Н9Т с температурным пределом применения от 233 К (-40°С) до 723 К (+450°С) Комплекты ответных фланцев к арматуре трубопроводной стальных плоских приварных Фланцы из коррозионно-стойкой стали марки 10Х17Н13М2Т с температурным пределом применения от 233 К (-40°С) до 723 К (+450°С) Комплекты ответных фланцев к арматуре трубопроводной стальных плоских приварных Фланцы из коррозионно-стойкой стали марки 06ХН28МДТ с температурным пределом применения от 203 К (-70°С) до 673 К (+400°С) Комплекты ответных фланцев стальных приварных встык. Фланцы из углеродистой стали марки 20 и 25 с температурным пределом применения от 243 К (-30°С) до 698 К (+425°С) Комплекты ответных фланцев стальных приварных встык. Фланцы из углеродистой стали марки 20 и 25 с температурным пределом применения от 243 К (-30?С) до 723 К (+450°С) Комплекты ответных фланцев стальных приварных встык Фланцы из теплоустойчивой стали, марки 15Х5М с температурным пределом применения от 233 К (-40°С) до 783 К (+510°С) Комплекты ответных фланцев стальных приварных встык. Фланцы из коррозионно-стойкой стали марки 12Х18Н9Т с температурным пределом применения от 193 К (-80°С) до 873 К (+600°С) Комплекты ответных фланцев стальных приварных встык Фланцы из коррозионно-стойкой стали марки 10Х17Н13МЗТ с температурным пределом применения от 193 К (-80°С) до 873 К (+600°С) Соединительные части технологических трубопроводов Отводы гнутые из углеродистой стали на Ру до 16 МПа (160 кгс/см?) из труб горячекатаных из стали 20 Отводы крутоизогнутые штампованные и протяжные из углеродистой стали на Ру менее или 10 МПа (100 кгс/см?) из труб стальных бесшовных горячедеформированных или холоднодеформированных из стали Отводы крутоизогнутые, штампованные и протяжные из легированной стали Ру менее или 10 МПа (100 кгс/см?) из труб горячедеформированных и холоднодеформированных Отводы сварные из углеродистой стали на Ру до 10 МПа (100 кгс/см?) из труб бесшовных горячедеформированных и труб электросварных прямошовных из стали марок СтЗсп-Стбсп Тройники штампованные из углеродистой стали на Ру до 16 МПа (160 кгс/см?) из труб стальных бесшовных горячедеформированных и холоднодеформированных из стали 20 Тройники сварные из углеродистой стали Ру до 16 МПа (160 кгс/см?) Переходы штампованные из углеродистой стали на Ру до 16 МПа (160 кгс/см?) из труб горячедеформированных или холоднодеформированных из стали марки 20 Заглушки эллиптические из углеродистой стали Узлы технологических трубопроводов из углеродистых и легированных сталей Узлы трубопроводов с установкой необходимых деталей (фланцев, отводов, тройников, переходов, заглушек, патрубков, П-образных компенсаторов и т п), входящих в конструкцию трубопровода, со сборкой на постоянных прокладках, креплением Опоры стальных трубопроводов Прочая соединительная арматура трубопроводов Муфты Переходы Угольники Раздел 5.10. Канаты стальные Канаты круглые Канаты двойной свивки, типа ЛК-Р Канат спиральный, типа ТК Канат двойной свивки, типа ЛК-О Канат двойной свивки, типа ТК Канат двойной свивки типа ТЛК-О Канат двойной свивки типа ЛК-3 Канат двойной свивки типа ЛК-РО Канаты закрытые несущие Канат спиральный закрытый типа ТК Канат закрытый типа ЛК и ТЛК Канат закрытый, с двумя слоями зетобразной проволоки и сердечником, типа ЛК Канаты плоские Канаты стальные для шахтных подъемов Раздел 5.11. Прочие материалы и изделия Асбестовые технические изделия Бумага асбестовая Волокно асбестовое Набивки асбестовые Ткань асбестовая Шнур асбестовый Набивки прочие Прокладки из паронита Прочие асбестовые изделия Химическая продукция и нефтепродукты Аммиак Аргон газообразный Пропан-бутан Бура Олеум технический Кислоты Цинк хлористый технический Смазки Парафины нефтяные Флюсы Прочая химическая продукция Резиновые технические изделия и детали Пластины Трубки Шнур резиновый Электроизоляционные изделия Гетинакс Текстолит Стеклотекстолит Лакоткани Ленты изоляционные Прочие изоляционные материалы Разные материалы Блоки компенсаторов, компенсаторы Бирки кабельные и маркировочные, оконцеватели Клинья Коуши Седла Шайбы Фиксаторы Вкладыши Втулки Детали заземления Подвесы Колпачки Скобы Кронштейны Пасты Хомуты Прочее Раздел 5.12. Приборы охранно-пожарных сигнализаций Приемно-контрольные приборы Охранно-пожарные приборы Приборы приемно-контрольные с входной искробезопасной электрической цепью Контрольные панели охранно-пожарной сигнализации Пожарные приемно-контрольные приборы Извещатели охранные Извещатели объемные (поверхностные) оптико-электронные Извещатели поверхностные звуковые Извещатели поверхностные вибрационные, ударно-контактные, емкостные Извещатели объемные радиоволновые, ультразвуковые Извещатели поверхностные совмещенные (инфракрасные и радиоволновые) Извещатели комбинированные (инфракрасные и сверхвысокочастотные) Извещатели линейные оптико-электронные Извещатели магнитоконтактные и концевые выключатели Средства тревожной сигнализации Извещатели пожарные Извещатели тепловые Извещатели тепловые взрывозащищенные Извещатели дымовые оптико-электронные Извещатели дымовые оптико-электронные дымовые Извещатели дымовые линейные Извещатели пламени Извещатели пожарные ручные Прочие элементы противопожарных сигнализаций |
| Утверждён: | Администрация Краснодарского края |
| Список изменений: |
|




































































































































































































































































































































































































































































































































































































Текстовое изменение № от 01.09.2003



































































