Скачать ГОСТ Р ИСО 18153-2006 Изделия медицинские для диагностики in vitro. Измерение величин в биологических пробах. Метрологическая прослеживаемость значений каталитической концентрации ферментов, приписанных калибраторам и контрольным материаламДата актуализации: 01.01.2021
|
| Обозначение: | ГОСТ Р ИСО 18153-2006 |
| Обозначение англ: | GOST R ISO 18153-2006 |
| Статус: | отменен |
| Название рус.: | Изделия медицинские для диагностики in vitro. Измерение величин в биологических пробах. Метрологическая прослеживаемость значений каталитической концентрации ферментов, приписанных калибраторам и контрольным материалам |
| Название англ.: | In vitro diagnostic medical devices. Measurement of quantities in biological samples. Metrological traceability of assigned values for catalytic concentration of enzymes in calibrators and control materials |
| Дата добавления в базу: | 01.09.2013 |
| Дата актуализации: | 01.01.2021 |
| Дата введения: | 01.01.2008 |
| Дата окончания срока действия: | 01.01.2013 |
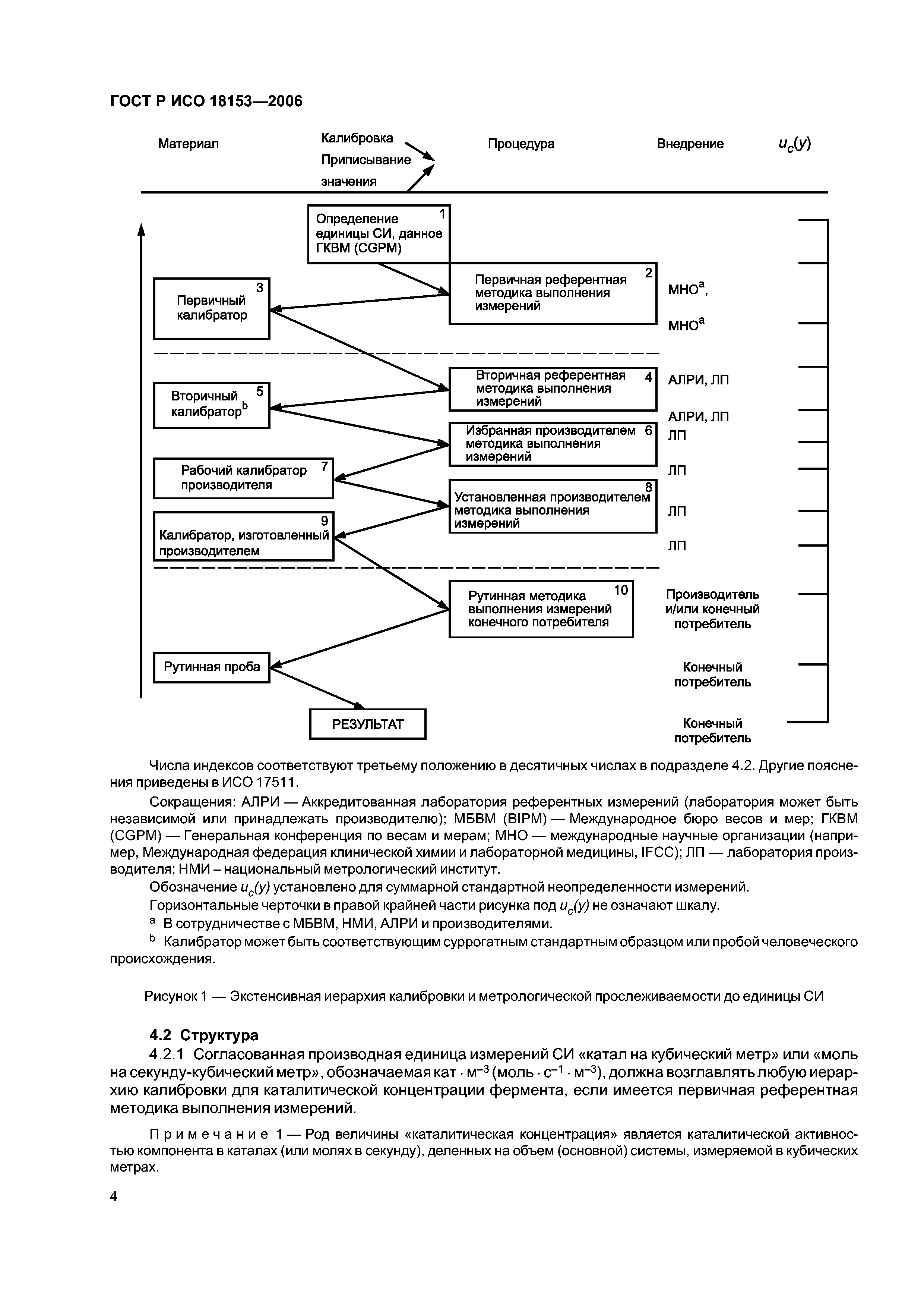
| Область применения: | Стандарт устанавливает правила обеспечения метрологической прослеживаемости значений, приписанных калибраторам и контрольным материалам, предназначенным для установления или подтверждения правильности измерения каталитической концентрации ферментов. |
| Оглавление: | 1 Область применения 2 Нормативные ссылки 3 Термины и определения 4 Цепь метрологической прослеживаемости и иерархия калибровки 4.1 Принципы 4.2 Структура 5 Подтверждение метрологической прослеживаемости калибровки 5.1 Принципы 5.2 Аналитическая специфичность методик выполнения измерений 5.3 Коммутабельность калибраторов 5.4 Коммутабельность контрольных материалов Приложение А (справочное) Перечень первичных референтных методик выполнения измерений Международной федерации клинической химии и лабораторной медицины Приложение В (справочное) Перечень аттестованных стандартных образцов (сертифицированных референтных материалов) Приложение С (справочное) Сведения о соответствии национальных стандартов Российской Федерации ссылочным международным стандартам Библиография |
| Разработан: | Лаборатория проблем клинико-лабораторной диагностики Московской медицинской академии им. И.М. Сеченова |
| Утверждён: | 27.12.2006 Федеральное агентство по техническому регулированию и метрологии (350-ст) |
| Издан: | Стандартинформ (2007 г. ) |
| Нормативные ссылки: |

















