Скачать Справочное пособие к ТЕР 81-02-09-2001 Показатели стоимости ресурсов, учтенные при разработке территориальных единичных расценок на строительные работы к ТЕР-81-02-09-2001 Строительные металлические конструкции. Территориальные единичные расценки для определения стоимости строительных работ в Краснодарском краеДата актуализации: 01.01.2021
|
| Обозначение: | Справочное пособие к ТЕР 81-02-09-2001 |
| Обозначение англ: | 81-02-09-2001 |
| Статус: | действует |
| Название рус.: | Показатели стоимости ресурсов, учтенные при разработке территориальных единичных расценок на строительные работы к ТЕР-81-02-09-2001 Строительные металлические конструкции. Территориальные единичные расценки для определения стоимости строительных работ в Краснодарском крае |
| Дата добавления в базу: | 01.09.2013 |
| Дата актуализации: | 01.01.2021 |
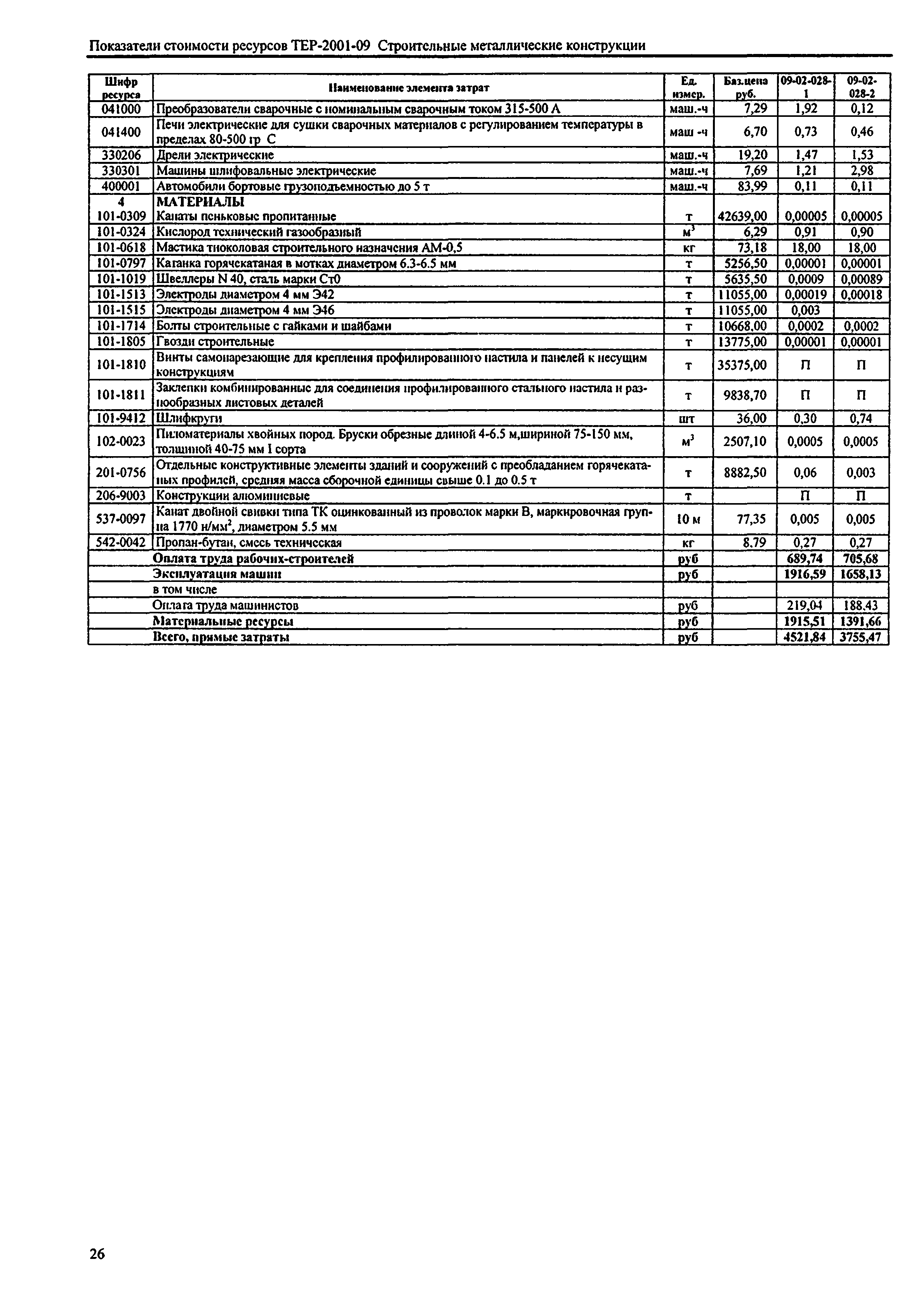
| Область применения: | Предназначены для расшифровки стоимости прямых затрат по каждой расценке таблиц, включенных в сборники ТЕР в уровне базисных цен (Краснодарский край) по состоянию на 1 января 2000 года |
| Оглавление: | Техническая часть 1. Общие указания 2. Затраты на оплату труда 3. Затраты на эксплуатацию машин и механизмов 4. Затраты на материалы, изделия и конструкции Раздел 01. Здания и каркасы зданий 1. Каркасы одноэтажных и многоэтажных производственных зданий 09-01-001 Монтаж каркасов одноэтажных производственных зданий одно- и многопролетных без фонарей 2. Каркасы издания специального назначения 09-01-005 Монтаж каркасов зданий 09-01-006 Монтаж каркасов зданий Раздел 02. Сооружения 1. Бункеры, силосы, декомпозеры, сгустители 09-02-001 Монтаж бункеров и силосов 09-02-002 Защита листовой сталью бункеров 09-02-003 Монтаж корпусов и опорных конструкций декомпозеров и сгустителей 2. Резервуары, газгольдеры 09-02-009 Монтаж резервуаров стальных вертикальных цилиндрических для нефти и нефтепродуктов 09-02-010 Монтаж резервуаров сферических 09-02-011 Монтаж изотермических резервуаров 09-02-012 Монтаж мокрых стальных газгольдеров низкого давления с вертикальными направляющими 3. Галереи, эстакады 09-02-018 Монтаж пролетных строений галерей с опорами 09-02-019 Монтаж унифицированных эстакад пролетом до 18 м 4. Шахтные сооружения 09-02-023 Монтаж каркасов постоянных шахтных копров 5. Сооружения комплексов заводов по производству минеральных удобрения 09-02-027 Монтаж каркасов складов карбамида пролетом до 60 м 09-02-028 Монтаж ограждающих конструкций складов карбамида из профилированных алюминиевых листов Раздел 03. Конструктивные элементы зданий и сооружений 1. Опорные плиты, колонны, подкрановые балки, подкрановые подстропильные фермы, подкрановые и подвесные пути 09-03-001 Монтаж опорных плит с обработанной поверхностью 09-03-002 Монтаж колонн одноэтажных и многоэтажных зданий и крановых эстакад 09-03-003 Монтаж подкрановых балок 09-03-004 Монтаж подкраново-подстропильных ферм пролетом более 30 м при поставке россыпью 09-03-005 Монтаж подкрановых путей 09-03-006 Монтаж подвесных путей и монорельсов для тельферов на высоте до 25 м 2. Конструктивные элементы покрытий здания 09-03-012 Монтаж стропильных и подстропильных ферм, опорных стоек 09-03-013 Монтаж вертикальных связей в виде ферм 09-03-014 Монтаж связей и распорок из одиночных и парных уголков, гнутосварных профилей 09-03-015 Монтаж прогонов при шаге ферм до 12 м 3. Конструктивные элементы фонарей 09-03-021 Монтаж каркасов фонарей 09-03-022 Монтаж оконных фонарных панелей и покрытий 09-03-023 Монтаж зенитных панельных двухскатных глухих фонарей 4. Конструктивные элементы лестниц и площадок 09-03-029 Монтаж лестниц прямолинейных и криволинейных, пожарных с ограждением 09-03-030 Монтаж площадок с настилом и ограждением из листовой, рифленой, просечной и круглой стали 09-03-031 Монтаж щитов и блоков встроенных площадок с настилом из листовой стали, ребрами жесткости, составного сечения 5. Рамы, арки, опорные конструкции и защитные ограждения 09-03-037 Монтаж рам коробчатого сечения пролетом до 24 м 09-03-038 Монтаж арок полигонального и криволинейного очертания из листовой стали и проката 09-03-039 Монтаж опорных конструкций 09-03-040 Монтаж защитных ограждений оборудования 6. Перегородки, потолки, полы, плинтусы 09-03-046 Монтаж перегородок 09-03-047 Монтаж каркасов подвесных потолков с подвесками и деталями крепления 09-03-048 Монтаж потолков 09-03-049 Монтаж съемных металлических полов из плит размером 500x500 мм 09-03-050 Монтаж стальных плинтусов из гнутого профиля Раздел 04. Ограждающие конструкции зданий и сооружений 1. Ограждающие конструкции кровли 09-04-001 Монтаж шитой покрытий зданий 09-04-002 Монтаж кровельного покрытия 2. Ограждающие конструкции стен 09-04-006 Монтаж ограждающих конструкций стен, монтаж фахверка 3. Окопные блоки, витражи, витрины, двери, ворота 09-04-009 Монтаж оконных блоков 09-04-010 Монтаж витражей, витрин и остекленных панелей фасадов 09-04-011 Монтаж каркасов ворот большепролетных зданий, ангаров и др. без механизмов открывания Раздел 05. Разные работы 1. Облицовка поверхности, сварочные работы, постановка болтов и другие работы 09-05-001 Облицовка ворот стальным профилированным листом 09-05-002 Электродуговая сварка при монтаже 09-05-003 Постановка болтов 09-05-004 Ультразвуковой контроль качества сварных соединений 09-05-005 Контроль качества сварных соединений 09-05-006 Резка стального профилированного настила Раздел 06. Конструкции специального назначения 1. Автокопилки, пароварочные камеры, подвесные пути, лотки, решетки, стеллажи 09-06-001 Монтаж дверей, люков, подвесных путей из полосовой стали и труб; лотков решеток, стеллажей из стали различного профиля 09-06-002 Монтаж подвесных путей 2. Конструкции сценических устройств 09-06-006 Монтаж стационарных конструкции сцен и каркасов сценических устройств 3. Конструкции канатных дорог 09-06-010 Монтаж опор, станций, мостов и эстакад 4. Конструкции для алюминиевой промышленности 09-06-014 Монтаж конструкций электролизеров 5. Конструкции для коксохимического производства 09-06-018 Монтаж конструкций коксохимического производства 09-06-019 Монтаж ограждающих сеток троллеев электровозного вагона и коксовыталкивателя 09-06-020 Монтаж конструкций путей 6. Каркасы, кожухи, панели и разные конструкции промышленных печей и сушил 09-06-024 Монтаж каркасов, кожухов, панелей и других конструкций промышленных печей и сушил 7. Конструкции башенных градирен 09-06-028 Монтаж конструкций башенных градирен 09-06-029 Монтаж обшивки башенных градирен алюминиевыми листами 8. Вытяжные, вентиляционные и дымовые трубы, опоры башенного и портального типов 09-06-033 Монтаж каркасов и стволов вытяжных, вентиляционных и дымовых труб, опор башенного и портального типов Содержание |
| Разработан: | Краснодарский краевой центр ценообразования в строительстве Кубаньстройцена ОАО проектно-изыскательский институт Кубаньводпроект |
| Утверждён: | 23.07.2003 Краснодарский краевой центр ценообразования в строительстве Кубаньстройцена |





















































































